估计多种治疗的效果#

[1]:
from dowhy import CausalModel
import dowhy.datasets

import warnings
warnings.filterwarnings('ignore')
[2]:
data = dowhy.datasets.linear_dataset(10, num_common_causes=4, num_samples=10000,
                                     num_instruments=0, num_effect_modifiers=2,
                                     num_treatments=2,
                                     treatment_is_binary=False,
                                     num_discrete_common_causes=2,
                                     num_discrete_effect_modifiers=0,
                                     one_hot_encode=False)
df=data['df']
df.head()
[2]:
X0 X1 W0 W1 W2 W3 v0 v1 y
0 0.439382 -0.205453 2.529354 1.113537 2 0 13.771004 13.000752 472.597362
1 0.149839 -2.079429 -1.324029 -0.382790 2 3 20.099593 12.052128 -1533.635739
2 -1.274413 -0.251587 -1.933019 0.624964 0 0 -2.515991 -0.752427 -52.169030
3 -0.143148 0.981800 0.062478 0.157607 3 2 22.405199 16.950783 1669.945671
4 -0.518465 -2.574587 -0.364611 -0.051063 3 1 13.886915 14.532450 -2206.748459
[3]:
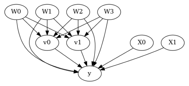
model = CausalModel(data=data["df"],
                    treatment=data["treatment_name"], outcome=data["outcome_name"],
                    graph=data["gml_graph"])
[4]:
model.view_model()
from IPython.display import Image, display
display(Image(filename="causal_model.png"))
../_images/example_notebooks_dowhy_multiple_treatments_4_0.png
../_images/example_notebooks_dowhy_multiple_treatments_4_1.png
[5]:
identified_estimand= model.identify_effect(proceed_when_unidentifiable=True)
print(identified_estimand)
Estimand type: EstimandType.NONPARAMETRIC_ATE

### Estimand : 1
Estimand name: backdoor
Estimand expression:
    d
─────────(E[y|W0,W1,W3,W2])
d[v₀  v₁]
Estimand assumption 1, Unconfoundedness: If U→{v0,v1} and U→y then P(y|v0,v1,W0,W1,W3,W2,U) = P(y|v0,v1,W0,W1,W3,W2)

### Estimand : 2
Estimand name: iv
No such variable(s) found!

### Estimand : 3
Estimand name: frontdoor
No such variable(s) found!

线性模型#

让我们首先看一个线性模型的例子。当处理是多维时,control_value 和 treatment_value 可以作为元组/列表提供。

解释是当v0和v1从(0,0)变为(1,1)时,y的变化。

[6]:
linear_estimate = model.estimate_effect(identified_estimand,
                                        method_name="backdoor.linear_regression",
                                        control_value=(0,0),
                                        treatment_value=(1,1),
                                        method_params={'need_conditional_estimates': False})
print(linear_estimate)
*** Causal Estimate ***

## Identified estimand
Estimand type: EstimandType.NONPARAMETRIC_ATE

### Estimand : 1
Estimand name: backdoor
Estimand expression:
    d
─────────(E[y|W0,W1,W3,W2])
d[v₀  v₁]
Estimand assumption 1, Unconfoundedness: If U→{v0,v1} and U→y then P(y|v0,v1,W0,W1,W3,W2,U) = P(y|v0,v1,W0,W1,W3,W2)

## Realized estimand
b: y~v0+v1+W0+W1+W3+W2+v0*X0+v0*X1+v1*X0+v1*X1
Target units: ate

## Estimate
Mean value: -100.73971170137605

您可以根据效果修饰符估计条件效应。

[7]:
linear_estimate = model.estimate_effect(identified_estimand,
                                        method_name="backdoor.linear_regression",
                                        control_value=(0,0),
                                        treatment_value=(1,1))
print(linear_estimate)
*** Causal Estimate ***

## Identified estimand
Estimand type: EstimandType.NONPARAMETRIC_ATE

### Estimand : 1
Estimand name: backdoor
Estimand expression:
    d
─────────(E[y|W0,W1,W3,W2])
d[v₀  v₁]
Estimand assumption 1, Unconfoundedness: If U→{v0,v1} and U→y then P(y|v0,v1,W0,W1,W3,W2,U) = P(y|v0,v1,W0,W1,W3,W2)

## Realized estimand
b: y~v0+v1+W0+W1+W3+W2+v0*X0+v0*X1+v1*X0+v1*X1
Target units:

## Estimate
Mean value: -100.73971170137605
### Conditional Estimates
__categorical__X0             __categorical__X1
(-4.284000000000001, -1.409]  (-5.128, -1.633]    -283.778661
                              (-1.633, -1.053]    -227.693425
                              (-1.053, -0.525]    -195.630781
                              (-0.525, 0.0461]    -159.069413
                              (0.0461, 2.616]     -104.503596
(-1.409, -0.819]              (-5.128, -1.633]    -226.424752
                              (-1.633, -1.053]    -170.983067
                              (-1.053, -0.525]    -135.112545
                              (-0.525, 0.0461]    -102.557610
                              (0.0461, 2.616]      -43.652254
(-0.819, -0.329]              (-5.128, -1.633]    -191.453361
                              (-1.633, -1.053]    -135.394258
                              (-1.053, -0.525]    -100.786258
                              (-0.525, 0.0461]     -65.979753
                              (0.0461, 2.616]       -9.941882
(-0.329, 0.276]               (-5.128, -1.633]    -156.472730
                              (-1.633, -1.053]    -100.336103
                              (-1.053, -0.525]     -63.620204
                              (-0.525, 0.0461]     -31.116636
                              (0.0461, 2.616]       25.088725
(0.276, 3.165]                (-5.128, -1.633]     -99.093020
                              (-1.633, -1.053]     -43.450080
                              (-1.053, -0.525]      -4.915625
                              (-0.525, 0.0461]      26.443889
                              (0.0461, 2.616]       82.101963
dtype: float64

更多方法#

你也可以使用支持多种处理的EconML或CausalML库中的方法。你可以查看条件效应笔记本中的示例:https://py-why.github.io/dowhy/example_notebooks/dowhy-conditional-treatment-effects.html

基于倾向性的方法目前不支持多种治疗。