注意
跳至末尾 下载完整示例代码。
向量加法¶
在本教程中,您将使用Triton编写一个简单的向量加法。
在此过程中,您将了解:
Triton的基本编程模型。
triton.jit装饰器,用于定义Triton内核。
验证自定义算子并与原生参考实现进行基准测试的最佳实践。
计算内核¶
import torch
import triton
import triton.language as tl
DEVICE = triton.runtime.driver.active.get_active_torch_device()
@triton.jit
def add_kernel(x_ptr, # *Pointer* to first input vector.
y_ptr, # *Pointer* to second input vector.
output_ptr, # *Pointer* to output vector.
n_elements, # Size of the vector.
BLOCK_SIZE: tl.constexpr, # Number of elements each program should process.
# NOTE: `constexpr` so it can be used as a shape value.
):
# There are multiple 'programs' processing different data. We identify which program
# we are here:
pid = tl.program_id(axis=0) # We use a 1D launch grid so axis is 0.
# This program will process inputs that are offset from the initial data.
# For instance, if you had a vector of length 256 and block_size of 64, the programs
# would each access the elements [0:64, 64:128, 128:192, 192:256].
# Note that offsets is a list of pointers:
block_start = pid * BLOCK_SIZE
offsets = block_start + tl.arange(0, BLOCK_SIZE)
# Create a mask to guard memory operations against out-of-bounds accesses.
mask = offsets < n_elements
# Load x and y from DRAM, masking out any extra elements in case the input is not a
# multiple of the block size.
x = tl.load(x_ptr + offsets, mask=mask)
y = tl.load(y_ptr + offsets, mask=mask)
output = x + y
# Write x + y back to DRAM.
tl.store(output_ptr + offsets, output, mask=mask)
我们还声明一个辅助函数来(1)分配z张量 以及(2)使用适当的网格/块大小将上述内核加入队列:
def add(x: torch.Tensor, y: torch.Tensor):
# We need to preallocate the output.
output = torch.empty_like(x)
assert x.device == DEVICE and y.device == DEVICE and output.device == DEVICE
n_elements = output.numel()
# The SPMD launch grid denotes the number of kernel instances that run in parallel.
# It is analogous to CUDA launch grids. It can be either Tuple[int], or Callable(metaparameters) -> Tuple[int].
# In this case, we use a 1D grid where the size is the number of blocks:
grid = lambda meta: (triton.cdiv(n_elements, meta['BLOCK_SIZE']), )
# NOTE:
# - Each torch.tensor object is implicitly converted into a pointer to its first element.
# - `triton.jit`'ed functions can be indexed with a launch grid to obtain a callable GPU kernel.
# - Don't forget to pass meta-parameters as keywords arguments.
add_kernel[grid](x, y, output, n_elements, BLOCK_SIZE=1024)
# We return a handle to z but, since `torch.cuda.synchronize()` hasn't been called, the kernel is still
# running asynchronously at this point.
return output
我们现在可以使用上述函数来计算两个torch.tensor对象的逐元素和并测试其正确性:
torch.manual_seed(0)
size = 98432
x = torch.rand(size, device=DEVICE)
y = torch.rand(size, device=DEVICE)
output_torch = x + y
output_triton = add(x, y)
print(output_torch)
print(output_triton)
print(f'The maximum difference between torch and triton is '
f'{torch.max(torch.abs(output_torch - output_triton))}')
tensor([1.3713, 1.3076, 0.4940, ..., 0.6724, 1.2141, 0.9733], device='cuda:0')
tensor([1.3713, 1.3076, 0.4940, ..., 0.6724, 1.2141, 0.9733], device='cuda:0')
The maximum difference between torch and triton is 0.0
看起来我们可以开始了!
基准测试¶
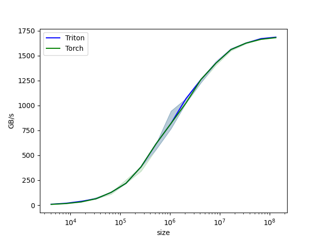
现在我们可以对自定义操作在不同大小向量上进行基准测试,以了解其相对于PyTorch的表现。 为了简化操作,Triton内置了一套实用工具,使我们能够简洁地绘制自定义操作在不同问题规模下的性能曲线。
@triton.testing.perf_report(
triton.testing.Benchmark(
x_names=['size'], # Argument names to use as an x-axis for the plot.
x_vals=[2**i for i in range(12, 28, 1)], # Different possible values for `x_name`.
x_log=True, # x axis is logarithmic.
line_arg='provider', # Argument name whose value corresponds to a different line in the plot.
line_vals=['triton', 'torch'], # Possible values for `line_arg`.
line_names=['Triton', 'Torch'], # Label name for the lines.
styles=[('blue', '-'), ('green', '-')], # Line styles.
ylabel='GB/s', # Label name for the y-axis.
plot_name='vector-add-performance', # Name for the plot. Used also as a file name for saving the plot.
args={}, # Values for function arguments not in `x_names` and `y_name`.
))
def benchmark(size, provider):
x = torch.rand(size, device=DEVICE, dtype=torch.float32)
y = torch.rand(size, device=DEVICE, dtype=torch.float32)
quantiles = [0.5, 0.2, 0.8]
if provider == 'torch':
ms, min_ms, max_ms = triton.testing.do_bench(lambda: x + y, quantiles=quantiles)
if provider == 'triton':
ms, min_ms, max_ms = triton.testing.do_bench(lambda: add(x, y), quantiles=quantiles)
gbps = lambda ms: 3 * x.numel() * x.element_size() * 1e-9 / (ms * 1e-3)
return gbps(ms), gbps(max_ms), gbps(min_ms)
我们现在可以运行上面装饰过的函数。传入print_data=True查看性能数据,show_plots=True绘制图表,和/或 `save_path=’/path/to/results/’ 将结果连同原始CSV数据保存到磁盘:
benchmark.run(print_data=True, show_plots=True)

vector-add-performance:
size Triton Torch
0 4096.0 9.600000 8.000000
1 8192.0 19.200000 15.999999
2 16384.0 38.400001 31.999999
3 32768.0 63.999998 63.999998
4 65536.0 127.999995 127.999995
5 131072.0 219.428568 219.428568
6 262144.0 384.000001 384.000001
7 524288.0 614.400016 614.400016
8 1048576.0 819.200021 819.200021
9 2097152.0 1068.521715 1023.999964
10 4194304.0 1260.307736 1260.307736
11 8388608.0 1424.695621 1424.695621
12 16777216.0 1560.380965 1560.380965
13 33554432.0 1624.859540 1624.859540
14 67108864.0 1669.706983 1662.646960
15 134217728.0 1684.910539 1680.410210
脚本总运行时间: (0 分钟 5.352 秒)