注意
点击 这里 下载完整的示例代码
聊天机器人教程¶
创建日期:2018年8月14日 | 最后更新:2024年12月2日 | 最后验证:2024年11月5日
在本教程中,我们将探索一个有趣且引人入胜的循环序列到序列模型的应用案例。我们将使用康奈尔电影对话语料库中的电影脚本来训练一个简单的聊天机器人。
对话模型是人工智能研究中的一个热门话题。聊天机器人可以在各种场景中找到,包括客户服务应用和在线帮助台。这些机器人通常由基于检索的模型驱动,这些模型对某些形式的问题输出预定义的响应。在公司IT帮助台这样高度受限的领域中,这些模型可能已经足够,但对于更一般的用例来说,它们还不够强大。教会机器在多个领域与人类进行有意义的对话是一个远未解决的研究问题。最近,深度学习的繁荣使得像谷歌的神经对话模型这样的强大生成模型成为可能,这标志着向多领域生成对话模型迈出了一大步。在本教程中,我们将在PyTorch中实现这种模型。
> hello?
Bot: hello .
> where am I?
Bot: you re in a hospital .
> who are you?
Bot: i m a lawyer .
> how are you doing?
Bot: i m fine .
> are you my friend?
Bot: no .
> you're under arrest
Bot: i m trying to help you !
> i'm just kidding
Bot: i m sorry .
> where are you from?
Bot: san francisco .
> it's time for me to leave
Bot: i know .
> goodbye
Bot: goodbye .
教程亮点
处理Cornell Movie-Dialogs Corpus数据集的加载和预处理
实现一个带有Luong注意力机制的序列到序列模型
使用小批量联合训练编码器和解码器模型
实现贪婪搜索解码模块
与训练过的聊天机器人互动
致谢
本教程借用了以下来源的代码:
Yuan-Kuei Wu 的 pytorch-chatbot 实现: https://github.com/ywk991112/pytorch-chatbot
Sean Robertson 的实用 PyTorch seq2seq 翻译示例: https://github.com/spro/practical-pytorch/tree/master/seq2seq-translation
FloydHub 康奈尔电影语料库预处理代码: https://github.com/floydhub/textutil-preprocess-cornell-movie-corpus
准备工作¶
要开始,下载 Movie-Dialogs Corpus 压缩文件。
# and put in a ``data/`` directory under the current directory.
#
# After that, let’s import some necessities.
#
import torch
from torch.jit import script, trace
import torch.nn as nn
from torch import optim
import torch.nn.functional as F
import csv
import random
import re
import os
import unicodedata
import codecs
from io import open
import itertools
import math
import json
USE_CUDA = torch.cuda.is_available()
device = torch.device("cuda" if USE_CUDA else "cpu")
加载和预处理数据¶
下一步是重新格式化我们的数据文件并将数据加载到我们可以使用的结构中。
Cornell Movie-Dialogs Corpus 是一个丰富的电影角色对话数据集:
10,292对电影角色之间的220,579次对话交流
来自617部电影的9,035个字符
304,713 条总话语
这个数据集庞大且多样化,语言形式、时间周期、情感等方面都有很大的变化。我们希望这种多样性使我们的模型能够适应多种形式的输入和查询。
首先,我们将查看数据文件中的一些行,以了解原始格式。
corpus_name = "movie-corpus"
corpus = os.path.join("data", corpus_name)
def printLines(file, n=10):
with open(file, 'rb') as datafile:
lines = datafile.readlines()
for line in lines[:n]:
print(line)
printLines(os.path.join(corpus, "utterances.jsonl"))
b'{"id": "L1045", "conversation_id": "L1044", "text": "They do not!", "speaker": "u0", "meta": {"movie_id": "m0", "parsed": [{"rt": 1, "toks": [{"tok": "They", "tag": "PRP", "dep": "nsubj", "up": 1, "dn": []}, {"tok": "do", "tag": "VBP", "dep": "ROOT", "dn": [0, 2, 3]}, {"tok": "not", "tag": "RB", "dep": "neg", "up": 1, "dn": []}, {"tok": "!", "tag": ".", "dep": "punct", "up": 1, "dn": []}]}]}, "reply-to": "L1044", "timestamp": null, "vectors": []}\n'
b'{"id": "L1044", "conversation_id": "L1044", "text": "They do to!", "speaker": "u2", "meta": {"movie_id": "m0", "parsed": [{"rt": 1, "toks": [{"tok": "They", "tag": "PRP", "dep": "nsubj", "up": 1, "dn": []}, {"tok": "do", "tag": "VBP", "dep": "ROOT", "dn": [0, 2, 3]}, {"tok": "to", "tag": "TO", "dep": "dobj", "up": 1, "dn": []}, {"tok": "!", "tag": ".", "dep": "punct", "up": 1, "dn": []}]}]}, "reply-to": null, "timestamp": null, "vectors": []}\n'
b'{"id": "L985", "conversation_id": "L984", "text": "I hope so.", "speaker": "u0", "meta": {"movie_id": "m0", "parsed": [{"rt": 1, "toks": [{"tok": "I", "tag": "PRP", "dep": "nsubj", "up": 1, "dn": []}, {"tok": "hope", "tag": "VBP", "dep": "ROOT", "dn": [0, 2, 3]}, {"tok": "so", "tag": "RB", "dep": "advmod", "up": 1, "dn": []}, {"tok": ".", "tag": ".", "dep": "punct", "up": 1, "dn": []}]}]}, "reply-to": "L984", "timestamp": null, "vectors": []}\n'
b'{"id": "L984", "conversation_id": "L984", "text": "She okay?", "speaker": "u2", "meta": {"movie_id": "m0", "parsed": [{"rt": 1, "toks": [{"tok": "She", "tag": "PRP", "dep": "nsubj", "up": 1, "dn": []}, {"tok": "okay", "tag": "RB", "dep": "ROOT", "dn": [0, 2]}, {"tok": "?", "tag": ".", "dep": "punct", "up": 1, "dn": []}]}]}, "reply-to": null, "timestamp": null, "vectors": []}\n'
b'{"id": "L925", "conversation_id": "L924", "text": "Let\'s go.", "speaker": "u0", "meta": {"movie_id": "m0", "parsed": [{"rt": 0, "toks": [{"tok": "Let", "tag": "VB", "dep": "ROOT", "dn": [2, 3]}, {"tok": "\'s", "tag": "PRP", "dep": "nsubj", "up": 2, "dn": []}, {"tok": "go", "tag": "VB", "dep": "ccomp", "up": 0, "dn": [1]}, {"tok": ".", "tag": ".", "dep": "punct", "up": 0, "dn": []}]}]}, "reply-to": "L924", "timestamp": null, "vectors": []}\n'
b'{"id": "L924", "conversation_id": "L924", "text": "Wow", "speaker": "u2", "meta": {"movie_id": "m0", "parsed": [{"rt": 0, "toks": [{"tok": "Wow", "tag": "UH", "dep": "ROOT", "dn": []}]}]}, "reply-to": null, "timestamp": null, "vectors": []}\n'
b'{"id": "L872", "conversation_id": "L870", "text": "Okay -- you\'re gonna need to learn how to lie.", "speaker": "u0", "meta": {"movie_id": "m0", "parsed": [{"rt": 4, "toks": [{"tok": "Okay", "tag": "UH", "dep": "intj", "up": 4, "dn": []}, {"tok": "--", "tag": ":", "dep": "punct", "up": 4, "dn": []}, {"tok": "you", "tag": "PRP", "dep": "nsubj", "up": 4, "dn": []}, {"tok": "\'re", "tag": "VBP", "dep": "aux", "up": 4, "dn": []}, {"tok": "gon", "tag": "VBG", "dep": "ROOT", "dn": [0, 1, 2, 3, 6, 12]}, {"tok": "na", "tag": "TO", "dep": "aux", "up": 6, "dn": []}, {"tok": "need", "tag": "VB", "dep": "xcomp", "up": 4, "dn": [5, 8]}, {"tok": "to", "tag": "TO", "dep": "aux", "up": 8, "dn": []}, {"tok": "learn", "tag": "VB", "dep": "xcomp", "up": 6, "dn": [7, 11]}, {"tok": "how", "tag": "WRB", "dep": "advmod", "up": 11, "dn": []}, {"tok": "to", "tag": "TO", "dep": "aux", "up": 11, "dn": []}, {"tok": "lie", "tag": "VB", "dep": "xcomp", "up": 8, "dn": [9, 10]}, {"tok": ".", "tag": ".", "dep": "punct", "up": 4, "dn": []}]}]}, "reply-to": "L871", "timestamp": null, "vectors": []}\n'
b'{"id": "L871", "conversation_id": "L870", "text": "No", "speaker": "u2", "meta": {"movie_id": "m0", "parsed": [{"rt": 0, "toks": [{"tok": "No", "tag": "UH", "dep": "ROOT", "dn": []}]}]}, "reply-to": "L870", "timestamp": null, "vectors": []}\n'
b'{"id": "L870", "conversation_id": "L870", "text": "I\'m kidding. You know how sometimes you just become this \\"persona\\"? And you don\'t know how to quit?", "speaker": "u0", "meta": {"movie_id": "m0", "parsed": [{"rt": 2, "toks": [{"tok": "I", "tag": "PRP", "dep": "nsubj", "up": 2, "dn": []}, {"tok": "\'m", "tag": "VBP", "dep": "aux", "up": 2, "dn": []}, {"tok": "kidding", "tag": "VBG", "dep": "ROOT", "dn": [0, 1, 3]}, {"tok": ".", "tag": ".", "dep": "punct", "up": 2, "dn": [4]}, {"tok": " ", "tag": "_SP", "dep": "", "up": 3, "dn": []}]}, {"rt": 1, "toks": [{"tok": "You", "tag": "PRP", "dep": "nsubj", "up": 1, "dn": []}, {"tok": "know", "tag": "VBP", "dep": "ROOT", "dn": [0, 6, 11]}, {"tok": "how", "tag": "WRB", "dep": "advmod", "up": 3, "dn": []}, {"tok": "sometimes", "tag": "RB", "dep": "advmod", "up": 6, "dn": [2]}, {"tok": "you", "tag": "PRP", "dep": "nsubj", "up": 6, "dn": []}, {"tok": "just", "tag": "RB", "dep": "advmod", "up": 6, "dn": []}, {"tok": "become", "tag": "VBP", "dep": "ccomp", "up": 1, "dn": [3, 4, 5, 9]}, {"tok": "this", "tag": "DT", "dep": "det", "up": 9, "dn": []}, {"tok": "\\"", "tag": "``", "dep": "punct", "up": 9, "dn": []}, {"tok": "persona", "tag": "NN", "dep": "attr", "up": 6, "dn": [7, 8, 10]}, {"tok": "\\"", "tag": "\'\'", "dep": "punct", "up": 9, "dn": []}, {"tok": "?", "tag": ".", "dep": "punct", "up": 1, "dn": [12]}, {"tok": " ", "tag": "_SP", "dep": "", "up": 11, "dn": []}]}, {"rt": 4, "toks": [{"tok": "And", "tag": "CC", "dep": "cc", "up": 4, "dn": []}, {"tok": "you", "tag": "PRP", "dep": "nsubj", "up": 4, "dn": []}, {"tok": "do", "tag": "VBP", "dep": "aux", "up": 4, "dn": []}, {"tok": "n\'t", "tag": "RB", "dep": "neg", "up": 4, "dn": []}, {"tok": "know", "tag": "VB", "dep": "ROOT", "dn": [0, 1, 2, 3, 7, 8]}, {"tok": "how", "tag": "WRB", "dep": "advmod", "up": 7, "dn": []}, {"tok": "to", "tag": "TO", "dep": "aux", "up": 7, "dn": []}, {"tok": "quit", "tag": "VB", "dep": "xcomp", "up": 4, "dn": [5, 6]}, {"tok": "?", "tag": ".", "dep": "punct", "up": 4, "dn": []}]}]}, "reply-to": null, "timestamp": null, "vectors": []}\n'
b'{"id": "L869", "conversation_id": "L866", "text": "Like my fear of wearing pastels?", "speaker": "u0", "meta": {"movie_id": "m0", "parsed": [{"rt": 0, "toks": [{"tok": "Like", "tag": "IN", "dep": "ROOT", "dn": [2, 6]}, {"tok": "my", "tag": "PRP$", "dep": "poss", "up": 2, "dn": []}, {"tok": "fear", "tag": "NN", "dep": "pobj", "up": 0, "dn": [1, 3]}, {"tok": "of", "tag": "IN", "dep": "prep", "up": 2, "dn": [4]}, {"tok": "wearing", "tag": "VBG", "dep": "pcomp", "up": 3, "dn": [5]}, {"tok": "pastels", "tag": "NNS", "dep": "dobj", "up": 4, "dn": []}, {"tok": "?", "tag": ".", "dep": "punct", "up": 0, "dn": []}]}]}, "reply-to": "L868", "timestamp": null, "vectors": []}\n'
创建格式化数据文件¶
为了方便起见,我们将创建一个格式良好的数据文件,其中每一行包含一个用制表符分隔的查询句子和一个响应句子对。
以下函数有助于解析原始的
utterances.jsonl 数据文件。
loadLinesAndConversations将文件的每一行拆分为一个包含字段的字典:lineID、characterID和文本,然后将它们分组为包含字段的对话:conversationID、movieID和行。extractSentencePairs从对话中提取句子对
# Splits each line of the file to create lines and conversations
def loadLinesAndConversations(fileName):
lines = {}
conversations = {}
with open(fileName, 'r', encoding='iso-8859-1') as f:
for line in f:
lineJson = json.loads(line)
# Extract fields for line object
lineObj = {}
lineObj["lineID"] = lineJson["id"]
lineObj["characterID"] = lineJson["speaker"]
lineObj["text"] = lineJson["text"]
lines[lineObj['lineID']] = lineObj
# Extract fields for conversation object
if lineJson["conversation_id"] not in conversations:
convObj = {}
convObj["conversationID"] = lineJson["conversation_id"]
convObj["movieID"] = lineJson["meta"]["movie_id"]
convObj["lines"] = [lineObj]
else:
convObj = conversations[lineJson["conversation_id"]]
convObj["lines"].insert(0, lineObj)
conversations[convObj["conversationID"]] = convObj
return lines, conversations
# Extracts pairs of sentences from conversations
def extractSentencePairs(conversations):
qa_pairs = []
for conversation in conversations.values():
# Iterate over all the lines of the conversation
for i in range(len(conversation["lines"]) - 1): # We ignore the last line (no answer for it)
inputLine = conversation["lines"][i]["text"].strip()
targetLine = conversation["lines"][i+1]["text"].strip()
# Filter wrong samples (if one of the lists is empty)
if inputLine and targetLine:
qa_pairs.append([inputLine, targetLine])
return qa_pairs
现在我们将调用这些函数并创建文件。我们将它命名为
formatted_movie_lines.txt。
# Define path to new file
datafile = os.path.join(corpus, "formatted_movie_lines.txt")
delimiter = '\t'
# Unescape the delimiter
delimiter = str(codecs.decode(delimiter, "unicode_escape"))
# Initialize lines dict and conversations dict
lines = {}
conversations = {}
# Load lines and conversations
print("\nProcessing corpus into lines and conversations...")
lines, conversations = loadLinesAndConversations(os.path.join(corpus, "utterances.jsonl"))
# Write new csv file
print("\nWriting newly formatted file...")
with open(datafile, 'w', encoding='utf-8') as outputfile:
writer = csv.writer(outputfile, delimiter=delimiter, lineterminator='\n')
for pair in extractSentencePairs(conversations):
writer.writerow(pair)
# Print a sample of lines
print("\nSample lines from file:")
printLines(datafile)
Processing corpus into lines and conversations...
Writing newly formatted file...
Sample lines from file:
b'They do to!\tThey do not!\n'
b'She okay?\tI hope so.\n'
b"Wow\tLet's go.\n"
b'"I\'m kidding. You know how sometimes you just become this ""persona""? And you don\'t know how to quit?"\tNo\n'
b"No\tOkay -- you're gonna need to learn how to lie.\n"
b"I figured you'd get to the good stuff eventually.\tWhat good stuff?\n"
b'What good stuff?\t"The ""real you""."\n'
b'"The ""real you""."\tLike my fear of wearing pastels?\n'
b'do you listen to this crap?\tWhat crap?\n'
b"What crap?\tMe. This endless ...blonde babble. I'm like, boring myself.\n"
加载并修剪数据¶
我们的下一个任务是创建一个词汇表并将查询/响应句子对加载到内存中。
请注意,我们正在处理的是单词序列,这些单词并没有隐式映射到一个离散的数值空间。因此,我们必须通过将数据集中遇到的每个唯一单词映射到一个索引值来创建一个映射。
为此,我们定义了一个Voc类,它保留了从单词到索引的映射、索引到单词的反向映射、每个单词的计数以及总单词计数。该类提供了将单词添加到词汇表的方法(addWord),将句子中的所有单词添加到词汇表的方法(addSentence)以及修剪不常见单词的方法(trim)。稍后将详细介绍修剪。
# Default word tokens
PAD_token = 0 # Used for padding short sentences
SOS_token = 1 # Start-of-sentence token
EOS_token = 2 # End-of-sentence token
class Voc:
def __init__(self, name):
self.name = name
self.trimmed = False
self.word2index = {}
self.word2count = {}
self.index2word = {PAD_token: "PAD", SOS_token: "SOS", EOS_token: "EOS"}
self.num_words = 3 # Count SOS, EOS, PAD
def addSentence(self, sentence):
for word in sentence.split(' '):
self.addWord(word)
def addWord(self, word):
if word not in self.word2index:
self.word2index[word] = self.num_words
self.word2count[word] = 1
self.index2word[self.num_words] = word
self.num_words += 1
else:
self.word2count[word] += 1
# Remove words below a certain count threshold
def trim(self, min_count):
if self.trimmed:
return
self.trimmed = True
keep_words = []
for k, v in self.word2count.items():
if v >= min_count:
keep_words.append(k)
print('keep_words {} / {} = {:.4f}'.format(
len(keep_words), len(self.word2index), len(keep_words) / len(self.word2index)
))
# Reinitialize dictionaries
self.word2index = {}
self.word2count = {}
self.index2word = {PAD_token: "PAD", SOS_token: "SOS", EOS_token: "EOS"}
self.num_words = 3 # Count default tokens
for word in keep_words:
self.addWord(word)
现在我们可以组装我们的词汇表和查询/响应句子对。 在我们准备好使用这些数据之前,我们必须进行一些预处理。
首先,我们必须使用unicodeToAscii将Unicode字符串转换为ASCII。接下来,我们应该将所有字母转换为小写,并修剪除基本标点符号外的所有非字母字符(normalizeString)。最后,为了帮助训练收敛,我们将过滤掉长度大于MAX_LENGTH阈值的句子(filterPairs)。
MAX_LENGTH = 10 # Maximum sentence length to consider
# Turn a Unicode string to plain ASCII, thanks to
# https://stackoverflow.com/a/518232/2809427
def unicodeToAscii(s):
return ''.join(
c for c in unicodedata.normalize('NFD', s)
if unicodedata.category(c) != 'Mn'
)
# Lowercase, trim, and remove non-letter characters
def normalizeString(s):
s = unicodeToAscii(s.lower().strip())
s = re.sub(r"([.!?])", r" \1", s)
s = re.sub(r"[^a-zA-Z.!?]+", r" ", s)
s = re.sub(r"\s+", r" ", s).strip()
return s
# Read query/response pairs and return a voc object
def readVocs(datafile, corpus_name):
print("Reading lines...")
# Read the file and split into lines
lines = open(datafile, encoding='utf-8').\
read().strip().split('\n')
# Split every line into pairs and normalize
pairs = [[normalizeString(s) for s in l.split('\t')] for l in lines]
voc = Voc(corpus_name)
return voc, pairs
# Returns True if both sentences in a pair 'p' are under the MAX_LENGTH threshold
def filterPair(p):
# Input sequences need to preserve the last word for EOS token
return len(p[0].split(' ')) < MAX_LENGTH and len(p[1].split(' ')) < MAX_LENGTH
# Filter pairs using the ``filterPair`` condition
def filterPairs(pairs):
return [pair for pair in pairs if filterPair(pair)]
# Using the functions defined above, return a populated voc object and pairs list
def loadPrepareData(corpus, corpus_name, datafile, save_dir):
print("Start preparing training data ...")
voc, pairs = readVocs(datafile, corpus_name)
print("Read {!s} sentence pairs".format(len(pairs)))
pairs = filterPairs(pairs)
print("Trimmed to {!s} sentence pairs".format(len(pairs)))
print("Counting words...")
for pair in pairs:
voc.addSentence(pair[0])
voc.addSentence(pair[1])
print("Counted words:", voc.num_words)
return voc, pairs
# Load/Assemble voc and pairs
save_dir = os.path.join("data", "save")
voc, pairs = loadPrepareData(corpus, corpus_name, datafile, save_dir)
# Print some pairs to validate
print("\npairs:")
for pair in pairs[:10]:
print(pair)
Start preparing training data ...
Reading lines...
Read 221282 sentence pairs
Trimmed to 64313 sentence pairs
Counting words...
Counted words: 18082
pairs:
['they do to !', 'they do not !']
['she okay ?', 'i hope so .']
['wow', 'let s go .']
['what good stuff ?', 'the real you .']
['the real you .', 'like my fear of wearing pastels ?']
['do you listen to this crap ?', 'what crap ?']
['well no . . .', 'then that s all you had to say .']
['then that s all you had to say .', 'but']
['but', 'you always been this selfish ?']
['have fun tonight ?', 'tons']
另一种在训练过程中有助于实现更快收敛的策略是从我们的词汇表中剔除不常用的单词。减少特征空间也将减轻模型必须学习近似的函数的难度。我们将通过以下两个步骤来实现这一点:
使用
voc.trim函数修剪低于MIN_COUNT阈值的单词。过滤掉修剪过的单词对。
MIN_COUNT = 3 # Minimum word count threshold for trimming
def trimRareWords(voc, pairs, MIN_COUNT):
# Trim words used under the MIN_COUNT from the voc
voc.trim(MIN_COUNT)
# Filter out pairs with trimmed words
keep_pairs = []
for pair in pairs:
input_sentence = pair[0]
output_sentence = pair[1]
keep_input = True
keep_output = True
# Check input sentence
for word in input_sentence.split(' '):
if word not in voc.word2index:
keep_input = False
break
# Check output sentence
for word in output_sentence.split(' '):
if word not in voc.word2index:
keep_output = False
break
# Only keep pairs that do not contain trimmed word(s) in their input or output sentence
if keep_input and keep_output:
keep_pairs.append(pair)
print("Trimmed from {} pairs to {}, {:.4f} of total".format(len(pairs), len(keep_pairs), len(keep_pairs) / len(pairs)))
return keep_pairs
# Trim voc and pairs
pairs = trimRareWords(voc, pairs, MIN_COUNT)
keep_words 7833 / 18079 = 0.4333
Trimmed from 64313 pairs to 53131, 0.8261 of total
为模型准备数据¶
尽管我们已经投入了大量精力来准备和处理我们的数据,使其成为一个良好的词汇对象和句子对列表,但我们的模型最终期望的是数值型的torch张量作为输入。一种为模型准备处理数据的方法可以在seq2seq翻译教程中找到。在那个教程中,我们使用了批量大小为1,这意味着我们所要做的就是将句子对中的单词转换为词汇表中对应的索引,并将其提供给模型。
然而,如果您对加速训练感兴趣和/或希望利用GPU并行化能力,您将需要使用小批量进行训练。
使用小批量也意味着我们必须注意批次中句子长度的变化。为了在同一批次中容纳不同大小的句子,我们将使我们的批量输入张量形状为(max_length, batch_size),其中短于max_length的句子在EOS_token之后进行零填充。
如果我们简单地将我们的英文句子通过将单词转换为它们的索引(indexesFromSentence)并零填充来转换为张量,我们的张量将具有形状(batch_size, max_length),并且索引第一个维度将返回所有时间步长的完整序列。然而,我们需要能够沿着时间索引我们的批次,并且跨批次中的所有序列。因此,我们将输入批次形状转置为(max_length, batch_size),以便跨第一个维度索引返回批次中所有句子的时间步长。我们在zeroPadding函数中隐式处理此转置。
inputVar 函数处理将句子转换为张量的过程,最终创建一个形状正确的零填充张量。它还返回批次中每个序列的lengths张量,稍后将传递给我们的解码器。
outputVar 函数执行与 inputVar 类似的功能,
但它不返回 lengths 张量,而是返回一个二进制掩码
张量和最大目标句子长度。二进制掩码张量具有
与输出目标张量相同的形状,但每个是
PAD_token 的元素为 0,其他所有元素为 1。
batch2TrainData 简单地接收一堆对,并使用上述函数返回输入和目标张量。
def indexesFromSentence(voc, sentence):
return [voc.word2index[word] for word in sentence.split(' ')] + [EOS_token]
def zeroPadding(l, fillvalue=PAD_token):
return list(itertools.zip_longest(*l, fillvalue=fillvalue))
def binaryMatrix(l, value=PAD_token):
m = []
for i, seq in enumerate(l):
m.append([])
for token in seq:
if token == PAD_token:
m[i].append(0)
else:
m[i].append(1)
return m
# Returns padded input sequence tensor and lengths
def inputVar(l, voc):
indexes_batch = [indexesFromSentence(voc, sentence) for sentence in l]
lengths = torch.tensor([len(indexes) for indexes in indexes_batch])
padList = zeroPadding(indexes_batch)
padVar = torch.LongTensor(padList)
return padVar, lengths
# Returns padded target sequence tensor, padding mask, and max target length
def outputVar(l, voc):
indexes_batch = [indexesFromSentence(voc, sentence) for sentence in l]
max_target_len = max([len(indexes) for indexes in indexes_batch])
padList = zeroPadding(indexes_batch)
mask = binaryMatrix(padList)
mask = torch.BoolTensor(mask)
padVar = torch.LongTensor(padList)
return padVar, mask, max_target_len
# Returns all items for a given batch of pairs
def batch2TrainData(voc, pair_batch):
pair_batch.sort(key=lambda x: len(x[0].split(" ")), reverse=True)
input_batch, output_batch = [], []
for pair in pair_batch:
input_batch.append(pair[0])
output_batch.append(pair[1])
inp, lengths = inputVar(input_batch, voc)
output, mask, max_target_len = outputVar(output_batch, voc)
return inp, lengths, output, mask, max_target_len
# Example for validation
small_batch_size = 5
batches = batch2TrainData(voc, [random.choice(pairs) for _ in range(small_batch_size)])
input_variable, lengths, target_variable, mask, max_target_len = batches
print("input_variable:", input_variable)
print("lengths:", lengths)
print("target_variable:", target_variable)
print("mask:", mask)
print("max_target_len:", max_target_len)
input_variable: tensor([[ 86, 24, 140, 829, 62],
[ 6, 355, 1362, 206, 566],
[ 36, 735, 14, 72, 1919],
[ 17, 140, 140, 2160, 85],
[ 62, 28, 158, 14, 14],
[1012, 461, 140, 2, 2],
[3223, 10, 14, 0, 0],
[1012, 2, 2, 0, 0],
[ 6, 0, 0, 0, 0],
[ 2, 0, 0, 0, 0]])
lengths: tensor([10, 8, 8, 6, 6])
target_variable: tensor([[ 18, 11, 101, 93, 277],
[ 483, 113, 19, 311, 72],
[ 5, 241, 10, 72, 10],
[ 22, 706, 2, 19, 2],
[2010, 14, 0, 24, 0],
[1556, 2, 0, 136, 0],
[ 14, 0, 0, 5, 0],
[ 2, 0, 0, 48, 0],
[ 0, 0, 0, 14, 0],
[ 0, 0, 0, 2, 0]])
mask: tensor([[ True, True, True, True, True],
[ True, True, True, True, True],
[ True, True, True, True, True],
[ True, True, True, True, True],
[ True, True, False, True, False],
[ True, True, False, True, False],
[ True, False, False, True, False],
[ True, False, False, True, False],
[False, False, False, True, False],
[False, False, False, True, False]])
max_target_len: 10
定义模型¶
Seq2Seq 模型¶
我们聊天机器人的核心是一个序列到序列(seq2seq)模型。seq2seq模型的目标是接受一个可变长度的序列作为输入,并使用一个固定大小的模型返回一个可变长度的序列作为输出。
Sutskever et al. 发现,通过同时使用两个独立的循环神经网络,我们可以完成这项任务。一个RNN作为编码器,它将可变长度的输入序列编码为固定长度的上下文向量。理论上,这个上下文向量(RNN的最终隐藏层)将包含输入到机器人的查询句子的语义信息。第二个RNN是解码器,它接收一个输入词和上下文向量,并返回序列中下一个词的猜测以及用于下一次迭代的隐藏状态。
图片来源: https://jeddy92.github.io/JEddy92.github.io/ts_seq2seq_intro/
编码器¶
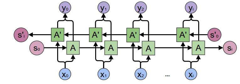
编码器RNN逐一遍历输入句子的每个标记(例如单词),在每个时间步输出一个“输出”向量和一个“隐藏状态”向量。隐藏状态向量随后传递给下一个时间步,而输出向量则被记录下来。编码器将序列中每个点所见的上下文转换为一组高维空间中的点,解码器将使用这些点来为给定任务生成有意义的输出。
我们编码器的核心是一个多层门控循环单元, 由Cho et al.在 2014年发明。我们将使用GRU的双向变体,这意味着 基本上有两个独立的RNN:一个以正常的顺序输入序列, 另一个以相反的顺序输入序列。每个网络的输出在每个时间步长上相加。 使用双向GRU将使我们能够编码过去和未来的上下文。
双向RNN:
图片来源:https://colah.github.io/posts/2015-09-NN-Types-FP/
请注意,embedding 层用于将我们的单词索引编码到任意大小的特征空间中。对于我们的模型,该层将每个单词映射到大小为 hidden_size 的特征空间。训练后,这些值应编码具有相似含义的单词之间的语义相似性。
最后,如果将填充后的序列批次传递给RNN模块,我们必须使用nn.utils.rnn.pack_padded_sequence和nn.utils.rnn.pad_packed_sequence分别在RNN传递前后进行填充的打包和解包。
计算图:
将单词索引转换为嵌入。
为RNN模块打包填充的序列批次。
通过GRU的前向传播。
解包填充。
求和双向GRU输出。
返回输出和最终的隐藏状态。
输入:
input_seq: 输入句子的批次;形状=(最大长度, 批次大小)input_lengths: 与批次中每个句子对应的句子长度列表;形状=(batch_size)hidden: 隐藏状态; 形状=(n_layers x num_directions, batch_size, hidden_size)
输出:
outputs: 从GRU的最后一个隐藏层输出的特征 (双向输出的总和);形状=(max_length, batch_size, hidden_size)hidden: 从GRU更新的隐藏状态;形状=(n_layers x num_directions, batch_size, hidden_size)
class EncoderRNN(nn.Module):
def __init__(self, hidden_size, embedding, n_layers=1, dropout=0):
super(EncoderRNN, self).__init__()
self.n_layers = n_layers
self.hidden_size = hidden_size
self.embedding = embedding
# Initialize GRU; the input_size and hidden_size parameters are both set to 'hidden_size'
# because our input size is a word embedding with number of features == hidden_size
self.gru = nn.GRU(hidden_size, hidden_size, n_layers,
dropout=(0 if n_layers == 1 else dropout), bidirectional=True)
def forward(self, input_seq, input_lengths, hidden=None):
# Convert word indexes to embeddings
embedded = self.embedding(input_seq)
# Pack padded batch of sequences for RNN module
packed = nn.utils.rnn.pack_padded_sequence(embedded, input_lengths)
# Forward pass through GRU
outputs, hidden = self.gru(packed, hidden)
# Unpack padding
outputs, _ = nn.utils.rnn.pad_packed_sequence(outputs)
# Sum bidirectional GRU outputs
outputs = outputs[:, :, :self.hidden_size] + outputs[:, : ,self.hidden_size:]
# Return output and final hidden state
return outputs, hidden
解码器¶
解码器RNN以逐个标记的方式生成响应句子。它使用编码器的上下文向量和内部隐藏状态来生成序列中的下一个单词。它继续生成单词,直到输出一个EOS_token,表示句子的结束。普通的seq2seq解码器的一个常见问题是,如果我们仅依赖上下文向量来编码整个输入序列的含义,很可能会出现信息丢失。这在处理长输入序列时尤其如此,极大地限制了我们解码器的能力。
为了解决这个问题,Bahdanau 等人创建了一个“注意力机制”,允许解码器关注输入序列的某些部分,而不是在每一步都使用整个固定的上下文。
在高层次上,注意力是通过使用解码器的当前隐藏状态和编码器的输出来计算的。输出的注意力权重与输入序列具有相同的形状,使我们能够将它们与编码器输出相乘,从而得到一个加权和,该加权和指示了编码器输出中需要注意的部分。Sean Robertson的图很好地描述了这一点:
Luong et al. 在Bahdanau等人的基础上进行了改进,创建了“全局注意力”。关键区别在于,使用“全局注意力”时,我们考虑编码器的所有隐藏状态,而Bahdanau等人的“局部注意力”仅考虑当前时间步的编码器隐藏状态。另一个区别是,使用“全局注意力”时,我们仅使用当前时间步的解码器隐藏状态来计算注意力权重或能量。Bahdanau等人的注意力计算需要了解前一时间步的解码器状态。此外,Luong等人提供了多种方法来计算编码器输出和解码器输出之间的注意力能量,这些方法被称为“评分函数”:
其中 \(h_t\) = 当前目标解码器状态,\(\bar{h}_s\) = 所有编码器状态。
总体而言,全局注意力机制可以通过下图进行总结。请注意,我们将“注意力层”实现为一个单独的nn.Module,称为Attn。该模块的输出是一个形状为(batch_size, 1, max_length)的softmax归一化权重张量。
# Luong attention layer
class Attn(nn.Module):
def __init__(self, method, hidden_size):
super(Attn, self).__init__()
self.method = method
if self.method not in ['dot', 'general', 'concat']:
raise ValueError(self.method, "is not an appropriate attention method.")
self.hidden_size = hidden_size
if self.method == 'general':
self.attn = nn.Linear(self.hidden_size, hidden_size)
elif self.method == 'concat':
self.attn = nn.Linear(self.hidden_size * 2, hidden_size)
self.v = nn.Parameter(torch.FloatTensor(hidden_size))
def dot_score(self, hidden, encoder_output):
return torch.sum(hidden * encoder_output, dim=2)
def general_score(self, hidden, encoder_output):
energy = self.attn(encoder_output)
return torch.sum(hidden * energy, dim=2)
def concat_score(self, hidden, encoder_output):
energy = self.attn(torch.cat((hidden.expand(encoder_output.size(0), -1, -1), encoder_output), 2)).tanh()
return torch.sum(self.v * energy, dim=2)
def forward(self, hidden, encoder_outputs):
# Calculate the attention weights (energies) based on the given method
if self.method == 'general':
attn_energies = self.general_score(hidden, encoder_outputs)
elif self.method == 'concat':
attn_energies = self.concat_score(hidden, encoder_outputs)
elif self.method == 'dot':
attn_energies = self.dot_score(hidden, encoder_outputs)
# Transpose max_length and batch_size dimensions
attn_energies = attn_energies.t()
# Return the softmax normalized probability scores (with added dimension)
return F.softmax(attn_energies, dim=1).unsqueeze(1)
既然我们已经定义了注意力子模块,我们就可以实现实际的解码器模型。对于解码器,我们将手动一次一个时间步地输入我们的批次。这意味着我们的嵌入词张量和GRU输出的形状都将为(1, batch_size, hidden_size)。
计算图:
获取当前输入词的嵌入。
通过单向GRU向前传播。
从(2)中的当前GRU输出计算注意力权重。
将注意力权重乘以编码器输出以获得新的“加权和”上下文向量。
使用Luong等式5将加权上下文向量和GRU输出连接起来。
使用Luong公式6预测下一个单词(不使用softmax)。
返回输出和最终的隐藏状态。
输入:
input_step: 输入序列批次的一个时间步(一个词);形状=(1, batch_size)last_hidden: GRU的最终隐藏层;形状=(n_layers x num_directions, batch_size, hidden_size)encoder_outputs: 编码器模型的输出;形状=(max_length, batch_size, hidden_size)
输出:
output: softmax归一化的张量,给出每个单词成为解码序列中下一个正确单词的概率; 形状=(batch_size, voc.num_words)hidden: GRU的最终隐藏状态;形状=(n_layers x num_directions, batch_size, hidden_size)
class LuongAttnDecoderRNN(nn.Module):
def __init__(self, attn_model, embedding, hidden_size, output_size, n_layers=1, dropout=0.1):
super(LuongAttnDecoderRNN, self).__init__()
# Keep for reference
self.attn_model = attn_model
self.hidden_size = hidden_size
self.output_size = output_size
self.n_layers = n_layers
self.dropout = dropout
# Define layers
self.embedding = embedding
self.embedding_dropout = nn.Dropout(dropout)
self.gru = nn.GRU(hidden_size, hidden_size, n_layers, dropout=(0 if n_layers == 1 else dropout))
self.concat = nn.Linear(hidden_size * 2, hidden_size)
self.out = nn.Linear(hidden_size, output_size)
self.attn = Attn(attn_model, hidden_size)
def forward(self, input_step, last_hidden, encoder_outputs):
# Note: we run this one step (word) at a time
# Get embedding of current input word
embedded = self.embedding(input_step)
embedded = self.embedding_dropout(embedded)
# Forward through unidirectional GRU
rnn_output, hidden = self.gru(embedded, last_hidden)
# Calculate attention weights from the current GRU output
attn_weights = self.attn(rnn_output, encoder_outputs)
# Multiply attention weights to encoder outputs to get new "weighted sum" context vector
context = attn_weights.bmm(encoder_outputs.transpose(0, 1))
# Concatenate weighted context vector and GRU output using Luong eq. 5
rnn_output = rnn_output.squeeze(0)
context = context.squeeze(1)
concat_input = torch.cat((rnn_output, context), 1)
concat_output = torch.tanh(self.concat(concat_input))
# Predict next word using Luong eq. 6
output = self.out(concat_output)
output = F.softmax(output, dim=1)
# Return output and final hidden state
return output, hidden
定义训练过程¶
掩码损失¶
由于我们处理的是填充序列的批次,因此在计算损失时不能简单地考虑张量的所有元素。我们定义了maskNLLLoss来根据解码器的输出张量、目标张量以及描述目标张量填充的二进制掩码张量来计算我们的损失。此损失函数计算与掩码张量中1对应的元素的平均负对数似然。
单次训练迭代¶
train 函数包含单次训练迭代(单批输入)的算法。
我们将使用一些巧妙的技巧来帮助收敛:
第一个技巧是使用教师强制。这意味着在某个概率下,由
teacher_forcing_ratio设置,我们使用当前目标词作为解码器的下一个输入,而不是使用解码器的当前猜测。这种技术充当了解码器的训练轮,有助于更高效的训练。然而,教师强制在推理过程中可能导致模型不稳定,因为解码器在训练期间可能没有足够的机会真正构建自己的输出序列。因此,我们必须注意如何设置teacher_forcing_ratio,并且不要被快速收敛所迷惑。我们实施的第二个技巧是梯度裁剪。这是一种常用的技术,用于应对“梯度爆炸”问题。本质上,通过将梯度裁剪或阈值化到一个最大值,我们防止梯度呈指数增长,从而避免溢出(NaN)或在成本函数中越过陡峭的悬崖。
图片来源:Goodfellow 等人。 深度学习。 2016年。 https://www.deeplearningbook.org/
操作顺序:
通过编码器前向传递整个输入批次。
将解码器输入初始化为SOS_token,并将隐藏状态初始化为编码器的最终隐藏状态。
通过解码器一次一个时间步长地前向输入批次序列。
如果使用教师强制:将下一个解码器输入设置为当前目标;否则:将下一个解码器输入设置为当前解码器输出。
计算并累积损失。
执行反向传播。
裁剪梯度。
更新编码器和解码器模型参数。
注意
PyTorch的RNN模块(RNN、LSTM、GRU)可以像任何其他非循环层一样使用,只需将整个输入序列(或序列批次)传递给它们。我们在encoder中这样使用GRU层。实际上,在底层,有一个迭代过程在每个时间步上循环计算隐藏状态。或者,你可以一次运行这些模块一个时间步。在这种情况下,我们在训练过程中手动循环遍历序列,就像我们必须为decoder模型所做的那样。只要你保持这些模块的正确概念模型,实现序列模型可以非常直接。
def train(input_variable, lengths, target_variable, mask, max_target_len, encoder, decoder, embedding,
encoder_optimizer, decoder_optimizer, batch_size, clip, max_length=MAX_LENGTH):
# Zero gradients
encoder_optimizer.zero_grad()
decoder_optimizer.zero_grad()
# Set device options
input_variable = input_variable.to(device)
target_variable = target_variable.to(device)
mask = mask.to(device)
# Lengths for RNN packing should always be on the CPU
lengths = lengths.to("cpu")
# Initialize variables
loss = 0
print_losses = []
n_totals = 0
# Forward pass through encoder
encoder_outputs, encoder_hidden = encoder(input_variable, lengths)
# Create initial decoder input (start with SOS tokens for each sentence)
decoder_input = torch.LongTensor([[SOS_token for _ in range(batch_size)]])
decoder_input = decoder_input.to(device)
# Set initial decoder hidden state to the encoder's final hidden state
decoder_hidden = encoder_hidden[:decoder.n_layers]
# Determine if we are using teacher forcing this iteration
use_teacher_forcing = True if random.random() < teacher_forcing_ratio else False
# Forward batch of sequences through decoder one time step at a time
if use_teacher_forcing:
for t in range(max_target_len):
decoder_output, decoder_hidden = decoder(
decoder_input, decoder_hidden, encoder_outputs
)
# Teacher forcing: next input is current target
decoder_input = target_variable[t].view(1, -1)
# Calculate and accumulate loss
mask_loss, nTotal = maskNLLLoss(decoder_output, target_variable[t], mask[t])
loss += mask_loss
print_losses.append(mask_loss.item() * nTotal)
n_totals += nTotal
else:
for t in range(max_target_len):
decoder_output, decoder_hidden = decoder(
decoder_input, decoder_hidden, encoder_outputs
)
# No teacher forcing: next input is decoder's own current output
_, topi = decoder_output.topk(1)
decoder_input = torch.LongTensor([[topi[i][0] for i in range(batch_size)]])
decoder_input = decoder_input.to(device)
# Calculate and accumulate loss
mask_loss, nTotal = maskNLLLoss(decoder_output, target_variable[t], mask[t])
loss += mask_loss
print_losses.append(mask_loss.item() * nTotal)
n_totals += nTotal
# Perform backpropagation
loss.backward()
# Clip gradients: gradients are modified in place
_ = nn.utils.clip_grad_norm_(encoder.parameters(), clip)
_ = nn.utils.clip_grad_norm_(decoder.parameters(), clip)
# Adjust model weights
encoder_optimizer.step()
decoder_optimizer.step()
return sum(print_losses) / n_totals
训练迭代次数¶
终于到了将完整的训练过程与数据结合起来的时候了。trainIters 函数负责根据传递的模型、优化器、数据等运行 n_iterations 次训练。这个函数相当直观,因为我们已经通过 train 函数完成了大部分繁重的工作。
需要注意的是,当我们保存模型时,我们保存了一个包含编码器和解码器state_dicts(参数)、优化器的state_dicts、损失、迭代等的压缩包。以这种方式保存模型将为我们提供检查点的最大灵活性。加载检查点后,我们将能够使用模型参数进行推理,或者我们可以从上次停止的地方继续训练。
def trainIters(model_name, voc, pairs, encoder, decoder, encoder_optimizer, decoder_optimizer, embedding, encoder_n_layers, decoder_n_layers, save_dir, n_iteration, batch_size, print_every, save_every, clip, corpus_name, loadFilename):
# Load batches for each iteration
training_batches = [batch2TrainData(voc, [random.choice(pairs) for _ in range(batch_size)])
for _ in range(n_iteration)]
# Initializations
print('Initializing ...')
start_iteration = 1
print_loss = 0
if loadFilename:
start_iteration = checkpoint['iteration'] + 1
# Training loop
print("Training...")
for iteration in range(start_iteration, n_iteration + 1):
training_batch = training_batches[iteration - 1]
# Extract fields from batch
input_variable, lengths, target_variable, mask, max_target_len = training_batch
# Run a training iteration with batch
loss = train(input_variable, lengths, target_variable, mask, max_target_len, encoder,
decoder, embedding, encoder_optimizer, decoder_optimizer, batch_size, clip)
print_loss += loss
# Print progress
if iteration % print_every == 0:
print_loss_avg = print_loss / print_every
print("Iteration: {}; Percent complete: {:.1f}%; Average loss: {:.4f}".format(iteration, iteration / n_iteration * 100, print_loss_avg))
print_loss = 0
# Save checkpoint
if (iteration % save_every == 0):
directory = os.path.join(save_dir, model_name, corpus_name, '{}-{}_{}'.format(encoder_n_layers, decoder_n_layers, hidden_size))
if not os.path.exists(directory):
os.makedirs(directory)
torch.save({
'iteration': iteration,
'en': encoder.state_dict(),
'de': decoder.state_dict(),
'en_opt': encoder_optimizer.state_dict(),
'de_opt': decoder_optimizer.state_dict(),
'loss': loss,
'voc_dict': voc.__dict__,
'embedding': embedding.state_dict()
}, os.path.join(directory, '{}_{}.tar'.format(iteration, 'checkpoint')))
定义评估¶
在训练模型之后,我们希望自己能够与机器人对话。 首先,我们必须定义我们希望模型如何解码编码的输入。
贪婪解码¶
贪婪解码是我们在训练期间不使用教师强制时使用的解码方法。换句话说,对于每个时间步,我们只需从decoder_output中选择具有最高softmax值的单词。这种解码方法在单个时间步级别上是最优的。
为了促进贪婪解码操作,我们定义了一个
GreedySearchDecoder 类。运行时,该类的对象接收
形状为 (input_seq length, 1) 的输入序列 (input_seq),一个
标量输入长度 (input_length) 张量,以及一个 max_length 来
限制响应句子的长度。输入句子使用以下计算图进行评估:
计算图:
通过编码器模型转发输入。
准备编码器的最终隐藏层作为解码器的第一个隐藏输入。
将解码器的第一个输入初始化为SOS_token。
初始化张量以附加解码后的单词。
- Iteratively decode one word token at a time:
通过解码器的前向传递。
获取最可能的单词标记及其softmax分数。
记录令牌和分数。
准备当前令牌作为下一个解码器输入。
返回单词标记和分数的集合。
class GreedySearchDecoder(nn.Module):
def __init__(self, encoder, decoder):
super(GreedySearchDecoder, self).__init__()
self.encoder = encoder
self.decoder = decoder
def forward(self, input_seq, input_length, max_length):
# Forward input through encoder model
encoder_outputs, encoder_hidden = self.encoder(input_seq, input_length)
# Prepare encoder's final hidden layer to be first hidden input to the decoder
decoder_hidden = encoder_hidden[:self.decoder.n_layers]
# Initialize decoder input with SOS_token
decoder_input = torch.ones(1, 1, device=device, dtype=torch.long) * SOS_token
# Initialize tensors to append decoded words to
all_tokens = torch.zeros([0], device=device, dtype=torch.long)
all_scores = torch.zeros([0], device=device)
# Iteratively decode one word token at a time
for _ in range(max_length):
# Forward pass through decoder
decoder_output, decoder_hidden = self.decoder(decoder_input, decoder_hidden, encoder_outputs)
# Obtain most likely word token and its softmax score
decoder_scores, decoder_input = torch.max(decoder_output, dim=1)
# Record token and score
all_tokens = torch.cat((all_tokens, decoder_input), dim=0)
all_scores = torch.cat((all_scores, decoder_scores), dim=0)
# Prepare current token to be next decoder input (add a dimension)
decoder_input = torch.unsqueeze(decoder_input, 0)
# Return collections of word tokens and scores
return all_tokens, all_scores
评估我的文本¶
现在我们已经定义了我们的解码方法,我们可以编写函数来评估字符串输入句子。evaluate 函数负责处理输入句子的底层过程。我们首先将句子格式化为单词索引的输入批次,其中 batch_size==1。我们通过将句子的单词转换为相应的索引,并转置维度以准备张量供我们的模型使用。我们还创建了一个 lengths 张量,其中包含我们输入句子的长度。在这种情况下,lengths 是标量,因为我们一次只评估一个句子(batch_size==1)。接下来,我们使用我们的 GreedySearchDecoder 对象(searcher)获取解码后的响应句子张量。最后,我们将响应的索引转换为单词,并返回解码后的单词列表。
evaluateInput 作为我们聊天机器人的用户界面。当调用时,会生成一个输入文本框,我们可以在其中输入查询句子。输入句子并按下Enter后,我们的文本会以与训练数据相同的方式进行标准化,并最终传递给evaluate函数以获取解码后的输出句子。我们循环这个过程,因此我们可以继续与机器人聊天,直到输入“q”或“quit”。
最后,如果输入的句子包含词汇表中没有的单词,我们会通过打印错误信息并提示用户输入另一个句子来优雅地处理这种情况。
def evaluate(encoder, decoder, searcher, voc, sentence, max_length=MAX_LENGTH):
### Format input sentence as a batch
# words -> indexes
indexes_batch = [indexesFromSentence(voc, sentence)]
# Create lengths tensor
lengths = torch.tensor([len(indexes) for indexes in indexes_batch])
# Transpose dimensions of batch to match models' expectations
input_batch = torch.LongTensor(indexes_batch).transpose(0, 1)
# Use appropriate device
input_batch = input_batch.to(device)
lengths = lengths.to("cpu")
# Decode sentence with searcher
tokens, scores = searcher(input_batch, lengths, max_length)
# indexes -> words
decoded_words = [voc.index2word[token.item()] for token in tokens]
return decoded_words
def evaluateInput(encoder, decoder, searcher, voc):
input_sentence = ''
while(1):
try:
# Get input sentence
input_sentence = input('> ')
# Check if it is quit case
if input_sentence == 'q' or input_sentence == 'quit': break
# Normalize sentence
input_sentence = normalizeString(input_sentence)
# Evaluate sentence
output_words = evaluate(encoder, decoder, searcher, voc, input_sentence)
# Format and print response sentence
output_words[:] = [x for x in output_words if not (x == 'EOS' or x == 'PAD')]
print('Bot:', ' '.join(output_words))
except KeyError:
print("Error: Encountered unknown word.")
运行模型¶
最后,是时候运行我们的模型了!
无论我们是想训练还是测试聊天机器人模型,我们都必须初始化单独的编码器和解码器模型。在下面的代码块中,我们设置了所需的配置,选择从头开始或设置一个检查点来加载,并构建和初始化模型。请随意尝试不同的模型配置以优化性能。
# Configure models
model_name = 'cb_model'
attn_model = 'dot'
#``attn_model = 'general'``
#``attn_model = 'concat'``
hidden_size = 500
encoder_n_layers = 2
decoder_n_layers = 2
dropout = 0.1
batch_size = 64
# Set checkpoint to load from; set to None if starting from scratch
loadFilename = None
checkpoint_iter = 4000
从检查点加载的示例代码:
loadFilename = os.path.join(save_dir, model_name, corpus_name,
'{}-{}_{}'.format(encoder_n_layers, decoder_n_layers, hidden_size),
'{}_checkpoint.tar'.format(checkpoint_iter))
# Load model if a ``loadFilename`` is provided
if loadFilename:
# If loading on same machine the model was trained on
checkpoint = torch.load(loadFilename)
# If loading a model trained on GPU to CPU
#checkpoint = torch.load(loadFilename, map_location=torch.device('cpu'))
encoder_sd = checkpoint['en']
decoder_sd = checkpoint['de']
encoder_optimizer_sd = checkpoint['en_opt']
decoder_optimizer_sd = checkpoint['de_opt']
embedding_sd = checkpoint['embedding']
voc.__dict__ = checkpoint['voc_dict']
print('Building encoder and decoder ...')
# Initialize word embeddings
embedding = nn.Embedding(voc.num_words, hidden_size)
if loadFilename:
embedding.load_state_dict(embedding_sd)
# Initialize encoder & decoder models
encoder = EncoderRNN(hidden_size, embedding, encoder_n_layers, dropout)
decoder = LuongAttnDecoderRNN(attn_model, embedding, hidden_size, voc.num_words, decoder_n_layers, dropout)
if loadFilename:
encoder.load_state_dict(encoder_sd)
decoder.load_state_dict(decoder_sd)
# Use appropriate device
encoder = encoder.to(device)
decoder = decoder.to(device)
print('Models built and ready to go!')
Building encoder and decoder ...
Models built and ready to go!
运行训练¶
如果你想训练模型,请运行以下代码块。
首先我们设置训练参数,然后初始化我们的优化器,最后我们调用trainIters函数来运行我们的训练迭代。
# Configure training/optimization
clip = 50.0
teacher_forcing_ratio = 1.0
learning_rate = 0.0001
decoder_learning_ratio = 5.0
n_iteration = 4000
print_every = 1
save_every = 500
# Ensure dropout layers are in train mode
encoder.train()
decoder.train()
# Initialize optimizers
print('Building optimizers ...')
encoder_optimizer = optim.Adam(encoder.parameters(), lr=learning_rate)
decoder_optimizer = optim.Adam(decoder.parameters(), lr=learning_rate * decoder_learning_ratio)
if loadFilename:
encoder_optimizer.load_state_dict(encoder_optimizer_sd)
decoder_optimizer.load_state_dict(decoder_optimizer_sd)
# If you have CUDA, configure CUDA to call
for state in encoder_optimizer.state.values():
for k, v in state.items():
if isinstance(v, torch.Tensor):
state[k] = v.cuda()
for state in decoder_optimizer.state.values():
for k, v in state.items():
if isinstance(v, torch.Tensor):
state[k] = v.cuda()
# Run training iterations
print("Starting Training!")
trainIters(model_name, voc, pairs, encoder, decoder, encoder_optimizer, decoder_optimizer,
embedding, encoder_n_layers, decoder_n_layers, save_dir, n_iteration, batch_size,
print_every, save_every, clip, corpus_name, loadFilename)
Building optimizers ...
Starting Training!
Initializing ...
Training...
Iteration: 1; Percent complete: 0.0%; Average loss: 8.9557
Iteration: 2; Percent complete: 0.1%; Average loss: 8.8304
Iteration: 3; Percent complete: 0.1%; Average loss: 8.5958
Iteration: 4; Percent complete: 0.1%; Average loss: 8.2952
Iteration: 5; Percent complete: 0.1%; Average loss: 7.9417
Iteration: 6; Percent complete: 0.1%; Average loss: 7.3314
Iteration: 7; Percent complete: 0.2%; Average loss: 6.8537
Iteration: 8; Percent complete: 0.2%; Average loss: 6.8359
Iteration: 9; Percent complete: 0.2%; Average loss: 6.9067
Iteration: 10; Percent complete: 0.2%; Average loss: 6.5912
Iteration: 11; Percent complete: 0.3%; Average loss: 6.1867
Iteration: 12; Percent complete: 0.3%; Average loss: 5.9758
Iteration: 13; Percent complete: 0.3%; Average loss: 5.7458
Iteration: 14; Percent complete: 0.4%; Average loss: 5.6528
Iteration: 15; Percent complete: 0.4%; Average loss: 5.6514
Iteration: 16; Percent complete: 0.4%; Average loss: 5.5781
Iteration: 17; Percent complete: 0.4%; Average loss: 5.2218
Iteration: 18; Percent complete: 0.4%; Average loss: 5.1461
Iteration: 19; Percent complete: 0.5%; Average loss: 5.1937
Iteration: 20; Percent complete: 0.5%; Average loss: 4.7800
Iteration: 21; Percent complete: 0.5%; Average loss: 5.1136
Iteration: 22; Percent complete: 0.5%; Average loss: 4.8743
Iteration: 23; Percent complete: 0.6%; Average loss: 5.1095
Iteration: 24; Percent complete: 0.6%; Average loss: 4.9185
Iteration: 25; Percent complete: 0.6%; Average loss: 5.0219
Iteration: 26; Percent complete: 0.7%; Average loss: 4.7137
Iteration: 27; Percent complete: 0.7%; Average loss: 4.8904
Iteration: 28; Percent complete: 0.7%; Average loss: 4.8820
Iteration: 29; Percent complete: 0.7%; Average loss: 4.7673
Iteration: 30; Percent complete: 0.8%; Average loss: 4.9658
Iteration: 31; Percent complete: 0.8%; Average loss: 4.6614
Iteration: 32; Percent complete: 0.8%; Average loss: 4.8095
Iteration: 33; Percent complete: 0.8%; Average loss: 4.7338
Iteration: 34; Percent complete: 0.9%; Average loss: 4.7562
Iteration: 35; Percent complete: 0.9%; Average loss: 4.7819
Iteration: 36; Percent complete: 0.9%; Average loss: 4.8076
Iteration: 37; Percent complete: 0.9%; Average loss: 4.8190
Iteration: 38; Percent complete: 0.9%; Average loss: 4.7370
Iteration: 39; Percent complete: 1.0%; Average loss: 5.0267
Iteration: 40; Percent complete: 1.0%; Average loss: 4.7106
Iteration: 41; Percent complete: 1.0%; Average loss: 4.6497
Iteration: 42; Percent complete: 1.1%; Average loss: 4.8935
Iteration: 43; Percent complete: 1.1%; Average loss: 4.7271
Iteration: 44; Percent complete: 1.1%; Average loss: 4.7653
Iteration: 45; Percent complete: 1.1%; Average loss: 4.7483
Iteration: 46; Percent complete: 1.1%; Average loss: 4.7889
Iteration: 47; Percent complete: 1.2%; Average loss: 4.7812
Iteration: 48; Percent complete: 1.2%; Average loss: 4.5309
Iteration: 49; Percent complete: 1.2%; Average loss: 4.4495
Iteration: 50; Percent complete: 1.2%; Average loss: 4.6171
Iteration: 51; Percent complete: 1.3%; Average loss: 4.6777
Iteration: 52; Percent complete: 1.3%; Average loss: 4.7583
Iteration: 53; Percent complete: 1.3%; Average loss: 4.6302
Iteration: 54; Percent complete: 1.4%; Average loss: 4.8279
Iteration: 55; Percent complete: 1.4%; Average loss: 4.7301
Iteration: 56; Percent complete: 1.4%; Average loss: 4.5886
Iteration: 57; Percent complete: 1.4%; Average loss: 4.6465
Iteration: 58; Percent complete: 1.5%; Average loss: 4.5468
Iteration: 59; Percent complete: 1.5%; Average loss: 4.8872
Iteration: 60; Percent complete: 1.5%; Average loss: 4.5926
Iteration: 61; Percent complete: 1.5%; Average loss: 4.5934
Iteration: 62; Percent complete: 1.6%; Average loss: 4.5745
Iteration: 63; Percent complete: 1.6%; Average loss: 4.6842
Iteration: 64; Percent complete: 1.6%; Average loss: 4.5969
Iteration: 65; Percent complete: 1.6%; Average loss: 4.4704
Iteration: 66; Percent complete: 1.7%; Average loss: 4.7207
Iteration: 67; Percent complete: 1.7%; Average loss: 4.4352
Iteration: 68; Percent complete: 1.7%; Average loss: 4.3765
Iteration: 69; Percent complete: 1.7%; Average loss: 4.6770
Iteration: 70; Percent complete: 1.8%; Average loss: 4.5426
Iteration: 71; Percent complete: 1.8%; Average loss: 4.4794
Iteration: 72; Percent complete: 1.8%; Average loss: 4.5821
Iteration: 73; Percent complete: 1.8%; Average loss: 4.5298
Iteration: 74; Percent complete: 1.8%; Average loss: 4.3629
Iteration: 75; Percent complete: 1.9%; Average loss: 4.5660
Iteration: 76; Percent complete: 1.9%; Average loss: 4.3732
Iteration: 77; Percent complete: 1.9%; Average loss: 4.6122
Iteration: 78; Percent complete: 1.9%; Average loss: 4.3864
Iteration: 79; Percent complete: 2.0%; Average loss: 4.6285
Iteration: 80; Percent complete: 2.0%; Average loss: 4.6040
Iteration: 81; Percent complete: 2.0%; Average loss: 4.3618
Iteration: 82; Percent complete: 2.1%; Average loss: 4.3494
Iteration: 83; Percent complete: 2.1%; Average loss: 4.5388
Iteration: 84; Percent complete: 2.1%; Average loss: 4.6473
Iteration: 85; Percent complete: 2.1%; Average loss: 4.4755
Iteration: 86; Percent complete: 2.1%; Average loss: 4.7000
Iteration: 87; Percent complete: 2.2%; Average loss: 4.0924
Iteration: 88; Percent complete: 2.2%; Average loss: 4.2748
Iteration: 89; Percent complete: 2.2%; Average loss: 4.4305
Iteration: 90; Percent complete: 2.2%; Average loss: 4.5600
Iteration: 91; Percent complete: 2.3%; Average loss: 4.3567
Iteration: 92; Percent complete: 2.3%; Average loss: 4.4309
Iteration: 93; Percent complete: 2.3%; Average loss: 4.1718
Iteration: 94; Percent complete: 2.4%; Average loss: 4.4969
Iteration: 95; Percent complete: 2.4%; Average loss: 4.3200
Iteration: 96; Percent complete: 2.4%; Average loss: 4.5377
Iteration: 97; Percent complete: 2.4%; Average loss: 4.3732
Iteration: 98; Percent complete: 2.5%; Average loss: 4.4786
Iteration: 99; Percent complete: 2.5%; Average loss: 4.4567
Iteration: 100; Percent complete: 2.5%; Average loss: 4.3800
Iteration: 101; Percent complete: 2.5%; Average loss: 4.1224
Iteration: 102; Percent complete: 2.5%; Average loss: 4.1655
Iteration: 103; Percent complete: 2.6%; Average loss: 4.4471
Iteration: 104; Percent complete: 2.6%; Average loss: 4.6099
Iteration: 105; Percent complete: 2.6%; Average loss: 4.4651
Iteration: 106; Percent complete: 2.6%; Average loss: 4.4795
Iteration: 107; Percent complete: 2.7%; Average loss: 4.3684
Iteration: 108; Percent complete: 2.7%; Average loss: 4.5205
Iteration: 109; Percent complete: 2.7%; Average loss: 4.3959
Iteration: 110; Percent complete: 2.8%; Average loss: 4.1490
Iteration: 111; Percent complete: 2.8%; Average loss: 4.3062
Iteration: 112; Percent complete: 2.8%; Average loss: 4.4504
Iteration: 113; Percent complete: 2.8%; Average loss: 4.2488
Iteration: 114; Percent complete: 2.9%; Average loss: 4.4712
Iteration: 115; Percent complete: 2.9%; Average loss: 4.2890
Iteration: 116; Percent complete: 2.9%; Average loss: 4.3356
Iteration: 117; Percent complete: 2.9%; Average loss: 4.4046
Iteration: 118; Percent complete: 2.9%; Average loss: 4.5151
Iteration: 119; Percent complete: 3.0%; Average loss: 4.0587
Iteration: 120; Percent complete: 3.0%; Average loss: 4.0377
Iteration: 121; Percent complete: 3.0%; Average loss: 4.2357
Iteration: 122; Percent complete: 3.0%; Average loss: 4.2774
Iteration: 123; Percent complete: 3.1%; Average loss: 4.3476
Iteration: 124; Percent complete: 3.1%; Average loss: 4.5789
Iteration: 125; Percent complete: 3.1%; Average loss: 4.3132
Iteration: 126; Percent complete: 3.1%; Average loss: 4.3819
Iteration: 127; Percent complete: 3.2%; Average loss: 4.4732
Iteration: 128; Percent complete: 3.2%; Average loss: 4.4561
Iteration: 129; Percent complete: 3.2%; Average loss: 4.2981
Iteration: 130; Percent complete: 3.2%; Average loss: 4.1577
Iteration: 131; Percent complete: 3.3%; Average loss: 4.1074
Iteration: 132; Percent complete: 3.3%; Average loss: 4.4823
Iteration: 133; Percent complete: 3.3%; Average loss: 4.2938
Iteration: 134; Percent complete: 3.4%; Average loss: 4.5122
Iteration: 135; Percent complete: 3.4%; Average loss: 4.1861
Iteration: 136; Percent complete: 3.4%; Average loss: 4.2619
Iteration: 137; Percent complete: 3.4%; Average loss: 4.4110
Iteration: 138; Percent complete: 3.5%; Average loss: 4.3453
Iteration: 139; Percent complete: 3.5%; Average loss: 4.1148
Iteration: 140; Percent complete: 3.5%; Average loss: 3.8308
Iteration: 141; Percent complete: 3.5%; Average loss: 4.1965
Iteration: 142; Percent complete: 3.5%; Average loss: 4.0734
Iteration: 143; Percent complete: 3.6%; Average loss: 4.3896
Iteration: 144; Percent complete: 3.6%; Average loss: 4.2934
Iteration: 145; Percent complete: 3.6%; Average loss: 4.1011
Iteration: 146; Percent complete: 3.6%; Average loss: 4.1354
Iteration: 147; Percent complete: 3.7%; Average loss: 4.1618
Iteration: 148; Percent complete: 3.7%; Average loss: 4.2613
Iteration: 149; Percent complete: 3.7%; Average loss: 4.1702
Iteration: 150; Percent complete: 3.8%; Average loss: 4.1707
Iteration: 151; Percent complete: 3.8%; Average loss: 4.1963
Iteration: 152; Percent complete: 3.8%; Average loss: 4.1360
Iteration: 153; Percent complete: 3.8%; Average loss: 4.1265
Iteration: 154; Percent complete: 3.9%; Average loss: 4.2633
Iteration: 155; Percent complete: 3.9%; Average loss: 4.2019
Iteration: 156; Percent complete: 3.9%; Average loss: 4.3971
Iteration: 157; Percent complete: 3.9%; Average loss: 3.9864
Iteration: 158; Percent complete: 4.0%; Average loss: 4.1912
Iteration: 159; Percent complete: 4.0%; Average loss: 4.1852
Iteration: 160; Percent complete: 4.0%; Average loss: 4.0614
Iteration: 161; Percent complete: 4.0%; Average loss: 4.4057
Iteration: 162; Percent complete: 4.0%; Average loss: 4.4000
Iteration: 163; Percent complete: 4.1%; Average loss: 4.3491
Iteration: 164; Percent complete: 4.1%; Average loss: 4.3602
Iteration: 165; Percent complete: 4.1%; Average loss: 4.0284
Iteration: 166; Percent complete: 4.2%; Average loss: 4.2524
Iteration: 167; Percent complete: 4.2%; Average loss: 4.4335
Iteration: 168; Percent complete: 4.2%; Average loss: 4.1811
Iteration: 169; Percent complete: 4.2%; Average loss: 4.2602
Iteration: 170; Percent complete: 4.2%; Average loss: 4.0634
Iteration: 171; Percent complete: 4.3%; Average loss: 4.2412
Iteration: 172; Percent complete: 4.3%; Average loss: 4.1816
Iteration: 173; Percent complete: 4.3%; Average loss: 4.1352
Iteration: 174; Percent complete: 4.3%; Average loss: 4.4477
Iteration: 175; Percent complete: 4.4%; Average loss: 4.0970
Iteration: 176; Percent complete: 4.4%; Average loss: 4.1783
Iteration: 177; Percent complete: 4.4%; Average loss: 4.6364
Iteration: 178; Percent complete: 4.5%; Average loss: 4.0900
Iteration: 179; Percent complete: 4.5%; Average loss: 4.1845
Iteration: 180; Percent complete: 4.5%; Average loss: 4.1421
Iteration: 181; Percent complete: 4.5%; Average loss: 4.1250
Iteration: 182; Percent complete: 4.5%; Average loss: 4.1396
Iteration: 183; Percent complete: 4.6%; Average loss: 4.1693
Iteration: 184; Percent complete: 4.6%; Average loss: 4.2947
Iteration: 185; Percent complete: 4.6%; Average loss: 4.1672
Iteration: 186; Percent complete: 4.7%; Average loss: 3.9402
Iteration: 187; Percent complete: 4.7%; Average loss: 4.2056
Iteration: 188; Percent complete: 4.7%; Average loss: 4.2603
Iteration: 189; Percent complete: 4.7%; Average loss: 4.2197
Iteration: 190; Percent complete: 4.8%; Average loss: 3.9493
Iteration: 191; Percent complete: 4.8%; Average loss: 4.1120
Iteration: 192; Percent complete: 4.8%; Average loss: 4.1341
Iteration: 193; Percent complete: 4.8%; Average loss: 4.0617
Iteration: 194; Percent complete: 4.9%; Average loss: 4.2031
Iteration: 195; Percent complete: 4.9%; Average loss: 4.1417
Iteration: 196; Percent complete: 4.9%; Average loss: 4.1197
Iteration: 197; Percent complete: 4.9%; Average loss: 4.2798
Iteration: 198; Percent complete: 5.0%; Average loss: 3.9038
Iteration: 199; Percent complete: 5.0%; Average loss: 4.1124
Iteration: 200; Percent complete: 5.0%; Average loss: 4.1921
Iteration: 201; Percent complete: 5.0%; Average loss: 4.2837
Iteration: 202; Percent complete: 5.1%; Average loss: 4.2297
Iteration: 203; Percent complete: 5.1%; Average loss: 4.1538
Iteration: 204; Percent complete: 5.1%; Average loss: 3.9861
Iteration: 205; Percent complete: 5.1%; Average loss: 4.2736
Iteration: 206; Percent complete: 5.1%; Average loss: 4.0087
Iteration: 207; Percent complete: 5.2%; Average loss: 4.2551
Iteration: 208; Percent complete: 5.2%; Average loss: 3.8234
Iteration: 209; Percent complete: 5.2%; Average loss: 3.8634
Iteration: 210; Percent complete: 5.2%; Average loss: 4.2612
Iteration: 211; Percent complete: 5.3%; Average loss: 4.1593
Iteration: 212; Percent complete: 5.3%; Average loss: 4.0809
Iteration: 213; Percent complete: 5.3%; Average loss: 4.1152
Iteration: 214; Percent complete: 5.3%; Average loss: 4.3244
Iteration: 215; Percent complete: 5.4%; Average loss: 4.1900
Iteration: 216; Percent complete: 5.4%; Average loss: 4.2428
Iteration: 217; Percent complete: 5.4%; Average loss: 4.1906
Iteration: 218; Percent complete: 5.5%; Average loss: 4.0191
Iteration: 219; Percent complete: 5.5%; Average loss: 4.0704
Iteration: 220; Percent complete: 5.5%; Average loss: 4.0850
Iteration: 221; Percent complete: 5.5%; Average loss: 3.9427
Iteration: 222; Percent complete: 5.5%; Average loss: 4.2819
Iteration: 223; Percent complete: 5.6%; Average loss: 4.1350
Iteration: 224; Percent complete: 5.6%; Average loss: 4.0405
Iteration: 225; Percent complete: 5.6%; Average loss: 3.9965
Iteration: 226; Percent complete: 5.7%; Average loss: 4.2214
Iteration: 227; Percent complete: 5.7%; Average loss: 3.7308
Iteration: 228; Percent complete: 5.7%; Average loss: 4.2468
Iteration: 229; Percent complete: 5.7%; Average loss: 3.9600
Iteration: 230; Percent complete: 5.8%; Average loss: 4.3513
Iteration: 231; Percent complete: 5.8%; Average loss: 3.8366
Iteration: 232; Percent complete: 5.8%; Average loss: 4.0102
Iteration: 233; Percent complete: 5.8%; Average loss: 3.6890
Iteration: 234; Percent complete: 5.9%; Average loss: 3.7447
Iteration: 235; Percent complete: 5.9%; Average loss: 3.8693
Iteration: 236; Percent complete: 5.9%; Average loss: 4.1596
Iteration: 237; Percent complete: 5.9%; Average loss: 4.1045
Iteration: 238; Percent complete: 5.9%; Average loss: 3.6545
Iteration: 239; Percent complete: 6.0%; Average loss: 3.4385
Iteration: 240; Percent complete: 6.0%; Average loss: 3.8029
Iteration: 241; Percent complete: 6.0%; Average loss: 4.1640
Iteration: 242; Percent complete: 6.0%; Average loss: 4.0948
Iteration: 243; Percent complete: 6.1%; Average loss: 4.2464
Iteration: 244; Percent complete: 6.1%; Average loss: 4.0425
Iteration: 245; Percent complete: 6.1%; Average loss: 4.1248
Iteration: 246; Percent complete: 6.2%; Average loss: 4.0091
Iteration: 247; Percent complete: 6.2%; Average loss: 3.8676
Iteration: 248; Percent complete: 6.2%; Average loss: 4.0999
Iteration: 249; Percent complete: 6.2%; Average loss: 4.1014
Iteration: 250; Percent complete: 6.2%; Average loss: 4.1297
Iteration: 251; Percent complete: 6.3%; Average loss: 3.8064
Iteration: 252; Percent complete: 6.3%; Average loss: 3.8612
Iteration: 253; Percent complete: 6.3%; Average loss: 4.0694
Iteration: 254; Percent complete: 6.3%; Average loss: 3.8334
Iteration: 255; Percent complete: 6.4%; Average loss: 3.9075
Iteration: 256; Percent complete: 6.4%; Average loss: 3.9700
Iteration: 257; Percent complete: 6.4%; Average loss: 4.0905
Iteration: 258; Percent complete: 6.5%; Average loss: 4.0548
Iteration: 259; Percent complete: 6.5%; Average loss: 3.8327
Iteration: 260; Percent complete: 6.5%; Average loss: 4.0801
Iteration: 261; Percent complete: 6.5%; Average loss: 3.6914
Iteration: 262; Percent complete: 6.6%; Average loss: 4.2920
Iteration: 263; Percent complete: 6.6%; Average loss: 4.0263
Iteration: 264; Percent complete: 6.6%; Average loss: 4.1648
Iteration: 265; Percent complete: 6.6%; Average loss: 3.9928
Iteration: 266; Percent complete: 6.7%; Average loss: 4.1046
Iteration: 267; Percent complete: 6.7%; Average loss: 4.0060
Iteration: 268; Percent complete: 6.7%; Average loss: 3.9698
Iteration: 269; Percent complete: 6.7%; Average loss: 4.1146
Iteration: 270; Percent complete: 6.8%; Average loss: 3.8411
Iteration: 271; Percent complete: 6.8%; Average loss: 3.9759
Iteration: 272; Percent complete: 6.8%; Average loss: 4.0462
Iteration: 273; Percent complete: 6.8%; Average loss: 4.2315
Iteration: 274; Percent complete: 6.9%; Average loss: 4.0944
Iteration: 275; Percent complete: 6.9%; Average loss: 3.9915
Iteration: 276; Percent complete: 6.9%; Average loss: 4.0003
Iteration: 277; Percent complete: 6.9%; Average loss: 3.9924
Iteration: 278; Percent complete: 7.0%; Average loss: 3.8137
Iteration: 279; Percent complete: 7.0%; Average loss: 3.8659
Iteration: 280; Percent complete: 7.0%; Average loss: 3.8462
Iteration: 281; Percent complete: 7.0%; Average loss: 3.8519
Iteration: 282; Percent complete: 7.0%; Average loss: 3.8636
Iteration: 283; Percent complete: 7.1%; Average loss: 3.9709
Iteration: 284; Percent complete: 7.1%; Average loss: 3.8300
Iteration: 285; Percent complete: 7.1%; Average loss: 4.1671
Iteration: 286; Percent complete: 7.1%; Average loss: 3.8655
Iteration: 287; Percent complete: 7.2%; Average loss: 4.2360
Iteration: 288; Percent complete: 7.2%; Average loss: 3.9095
Iteration: 289; Percent complete: 7.2%; Average loss: 3.6915
Iteration: 290; Percent complete: 7.2%; Average loss: 3.6435
Iteration: 291; Percent complete: 7.3%; Average loss: 3.6857
Iteration: 292; Percent complete: 7.3%; Average loss: 3.9565
Iteration: 293; Percent complete: 7.3%; Average loss: 3.8073
Iteration: 294; Percent complete: 7.3%; Average loss: 3.7091
Iteration: 295; Percent complete: 7.4%; Average loss: 3.8150
Iteration: 296; Percent complete: 7.4%; Average loss: 3.7950
Iteration: 297; Percent complete: 7.4%; Average loss: 3.6556
Iteration: 298; Percent complete: 7.4%; Average loss: 3.7574
Iteration: 299; Percent complete: 7.5%; Average loss: 3.7627
Iteration: 300; Percent complete: 7.5%; Average loss: 3.9036
Iteration: 301; Percent complete: 7.5%; Average loss: 3.9507
Iteration: 302; Percent complete: 7.5%; Average loss: 4.0018
Iteration: 303; Percent complete: 7.6%; Average loss: 3.7507
Iteration: 304; Percent complete: 7.6%; Average loss: 3.7732
Iteration: 305; Percent complete: 7.6%; Average loss: 3.9009
Iteration: 306; Percent complete: 7.6%; Average loss: 3.9925
Iteration: 307; Percent complete: 7.7%; Average loss: 4.1201
Iteration: 308; Percent complete: 7.7%; Average loss: 4.1131
Iteration: 309; Percent complete: 7.7%; Average loss: 4.0191
Iteration: 310; Percent complete: 7.8%; Average loss: 3.7155
Iteration: 311; Percent complete: 7.8%; Average loss: 3.8306
Iteration: 312; Percent complete: 7.8%; Average loss: 3.7166
Iteration: 313; Percent complete: 7.8%; Average loss: 3.7655
Iteration: 314; Percent complete: 7.8%; Average loss: 3.7560
Iteration: 315; Percent complete: 7.9%; Average loss: 3.8174
Iteration: 316; Percent complete: 7.9%; Average loss: 3.9111
Iteration: 317; Percent complete: 7.9%; Average loss: 3.7545
Iteration: 318; Percent complete: 8.0%; Average loss: 3.8927
Iteration: 319; Percent complete: 8.0%; Average loss: 4.0532
Iteration: 320; Percent complete: 8.0%; Average loss: 3.7196
Iteration: 321; Percent complete: 8.0%; Average loss: 3.7191
Iteration: 322; Percent complete: 8.1%; Average loss: 3.4824
Iteration: 323; Percent complete: 8.1%; Average loss: 3.7107
Iteration: 324; Percent complete: 8.1%; Average loss: 3.7468
Iteration: 325; Percent complete: 8.1%; Average loss: 3.8494
Iteration: 326; Percent complete: 8.2%; Average loss: 3.8272
Iteration: 327; Percent complete: 8.2%; Average loss: 3.7456
Iteration: 328; Percent complete: 8.2%; Average loss: 4.0679
Iteration: 329; Percent complete: 8.2%; Average loss: 3.6996
Iteration: 330; Percent complete: 8.2%; Average loss: 4.0551
Iteration: 331; Percent complete: 8.3%; Average loss: 3.7817
Iteration: 332; Percent complete: 8.3%; Average loss: 3.8824
Iteration: 333; Percent complete: 8.3%; Average loss: 3.9251
Iteration: 334; Percent complete: 8.3%; Average loss: 3.6500
Iteration: 335; Percent complete: 8.4%; Average loss: 3.9309
Iteration: 336; Percent complete: 8.4%; Average loss: 4.0535
Iteration: 337; Percent complete: 8.4%; Average loss: 3.8812
Iteration: 338; Percent complete: 8.5%; Average loss: 3.7701
Iteration: 339; Percent complete: 8.5%; Average loss: 3.8961
Iteration: 340; Percent complete: 8.5%; Average loss: 3.8008
Iteration: 341; Percent complete: 8.5%; Average loss: 3.9095
Iteration: 342; Percent complete: 8.6%; Average loss: 3.9627
Iteration: 343; Percent complete: 8.6%; Average loss: 4.0916
Iteration: 344; Percent complete: 8.6%; Average loss: 3.8142
Iteration: 345; Percent complete: 8.6%; Average loss: 3.9250
Iteration: 346; Percent complete: 8.6%; Average loss: 3.9279
Iteration: 347; Percent complete: 8.7%; Average loss: 3.7233
Iteration: 348; Percent complete: 8.7%; Average loss: 3.9777
Iteration: 349; Percent complete: 8.7%; Average loss: 3.9779
Iteration: 350; Percent complete: 8.8%; Average loss: 3.9137
Iteration: 351; Percent complete: 8.8%; Average loss: 3.8017
Iteration: 352; Percent complete: 8.8%; Average loss: 3.7534
Iteration: 353; Percent complete: 8.8%; Average loss: 3.7465
Iteration: 354; Percent complete: 8.8%; Average loss: 3.8754
Iteration: 355; Percent complete: 8.9%; Average loss: 3.5498
Iteration: 356; Percent complete: 8.9%; Average loss: 3.9720
Iteration: 357; Percent complete: 8.9%; Average loss: 3.8061
Iteration: 358; Percent complete: 8.9%; Average loss: 3.8177
Iteration: 359; Percent complete: 9.0%; Average loss: 3.8438
Iteration: 360; Percent complete: 9.0%; Average loss: 3.7713
Iteration: 361; Percent complete: 9.0%; Average loss: 3.8028
Iteration: 362; Percent complete: 9.0%; Average loss: 3.8076
Iteration: 363; Percent complete: 9.1%; Average loss: 3.8510
Iteration: 364; Percent complete: 9.1%; Average loss: 3.7455
Iteration: 365; Percent complete: 9.1%; Average loss: 3.7448
Iteration: 366; Percent complete: 9.2%; Average loss: 3.8132
Iteration: 367; Percent complete: 9.2%; Average loss: 3.6785
Iteration: 368; Percent complete: 9.2%; Average loss: 4.0512
Iteration: 369; Percent complete: 9.2%; Average loss: 3.8084
Iteration: 370; Percent complete: 9.2%; Average loss: 3.9023
Iteration: 371; Percent complete: 9.3%; Average loss: 4.0550
Iteration: 372; Percent complete: 9.3%; Average loss: 4.0492
Iteration: 373; Percent complete: 9.3%; Average loss: 3.8316
Iteration: 374; Percent complete: 9.3%; Average loss: 3.7411
Iteration: 375; Percent complete: 9.4%; Average loss: 3.6319
Iteration: 376; Percent complete: 9.4%; Average loss: 3.6601
Iteration: 377; Percent complete: 9.4%; Average loss: 3.8228
Iteration: 378; Percent complete: 9.4%; Average loss: 3.4224
Iteration: 379; Percent complete: 9.5%; Average loss: 3.5975
Iteration: 380; Percent complete: 9.5%; Average loss: 3.9780
Iteration: 381; Percent complete: 9.5%; Average loss: 3.9404
Iteration: 382; Percent complete: 9.6%; Average loss: 3.9309
Iteration: 383; Percent complete: 9.6%; Average loss: 3.9026
Iteration: 384; Percent complete: 9.6%; Average loss: 3.8002
Iteration: 385; Percent complete: 9.6%; Average loss: 3.8597
Iteration: 386; Percent complete: 9.7%; Average loss: 3.8592
Iteration: 387; Percent complete: 9.7%; Average loss: 3.6353
Iteration: 388; Percent complete: 9.7%; Average loss: 3.8366
Iteration: 389; Percent complete: 9.7%; Average loss: 3.8165
Iteration: 390; Percent complete: 9.8%; Average loss: 3.8929
Iteration: 391; Percent complete: 9.8%; Average loss: 3.8056
Iteration: 392; Percent complete: 9.8%; Average loss: 3.9427
Iteration: 393; Percent complete: 9.8%; Average loss: 3.9294
Iteration: 394; Percent complete: 9.8%; Average loss: 4.2339
Iteration: 395; Percent complete: 9.9%; Average loss: 3.9474
Iteration: 396; Percent complete: 9.9%; Average loss: 3.8435
Iteration: 397; Percent complete: 9.9%; Average loss: 3.8679
Iteration: 398; Percent complete: 10.0%; Average loss: 3.6727
Iteration: 399; Percent complete: 10.0%; Average loss: 3.6288
Iteration: 400; Percent complete: 10.0%; Average loss: 3.9081
Iteration: 401; Percent complete: 10.0%; Average loss: 3.7042
Iteration: 402; Percent complete: 10.1%; Average loss: 3.7773
Iteration: 403; Percent complete: 10.1%; Average loss: 3.8793
Iteration: 404; Percent complete: 10.1%; Average loss: 3.7632
Iteration: 405; Percent complete: 10.1%; Average loss: 3.7971
Iteration: 406; Percent complete: 10.2%; Average loss: 3.7193
Iteration: 407; Percent complete: 10.2%; Average loss: 3.8072
Iteration: 408; Percent complete: 10.2%; Average loss: 3.8938
Iteration: 409; Percent complete: 10.2%; Average loss: 3.6261
Iteration: 410; Percent complete: 10.2%; Average loss: 3.6241
Iteration: 411; Percent complete: 10.3%; Average loss: 3.6935
Iteration: 412; Percent complete: 10.3%; Average loss: 3.8565
Iteration: 413; Percent complete: 10.3%; Average loss: 3.9095
Iteration: 414; Percent complete: 10.3%; Average loss: 3.9550
Iteration: 415; Percent complete: 10.4%; Average loss: 3.8327
Iteration: 416; Percent complete: 10.4%; Average loss: 3.3836
Iteration: 417; Percent complete: 10.4%; Average loss: 3.8154
Iteration: 418; Percent complete: 10.4%; Average loss: 3.7253
Iteration: 419; Percent complete: 10.5%; Average loss: 3.5075
Iteration: 420; Percent complete: 10.5%; Average loss: 3.8428
Iteration: 421; Percent complete: 10.5%; Average loss: 3.6987
Iteration: 422; Percent complete: 10.5%; Average loss: 3.5521
Iteration: 423; Percent complete: 10.6%; Average loss: 3.7404
Iteration: 424; Percent complete: 10.6%; Average loss: 3.9242
Iteration: 425; Percent complete: 10.6%; Average loss: 4.0025
Iteration: 426; Percent complete: 10.7%; Average loss: 3.9576
Iteration: 427; Percent complete: 10.7%; Average loss: 3.7443
Iteration: 428; Percent complete: 10.7%; Average loss: 3.8950
Iteration: 429; Percent complete: 10.7%; Average loss: 3.7163
Iteration: 430; Percent complete: 10.8%; Average loss: 3.9239
Iteration: 431; Percent complete: 10.8%; Average loss: 3.9527
Iteration: 432; Percent complete: 10.8%; Average loss: 4.1206
Iteration: 433; Percent complete: 10.8%; Average loss: 3.8477
Iteration: 434; Percent complete: 10.8%; Average loss: 3.8866
Iteration: 435; Percent complete: 10.9%; Average loss: 3.8527
Iteration: 436; Percent complete: 10.9%; Average loss: 3.7894
Iteration: 437; Percent complete: 10.9%; Average loss: 3.5837
Iteration: 438; Percent complete: 10.9%; Average loss: 3.5807
Iteration: 439; Percent complete: 11.0%; Average loss: 3.7861
Iteration: 440; Percent complete: 11.0%; Average loss: 3.8505
Iteration: 441; Percent complete: 11.0%; Average loss: 3.8594
Iteration: 442; Percent complete: 11.1%; Average loss: 3.8003
Iteration: 443; Percent complete: 11.1%; Average loss: 3.4828
Iteration: 444; Percent complete: 11.1%; Average loss: 3.8481
Iteration: 445; Percent complete: 11.1%; Average loss: 4.0084
Iteration: 446; Percent complete: 11.2%; Average loss: 3.8748
Iteration: 447; Percent complete: 11.2%; Average loss: 3.8686
Iteration: 448; Percent complete: 11.2%; Average loss: 3.9927
Iteration: 449; Percent complete: 11.2%; Average loss: 3.9107
Iteration: 450; Percent complete: 11.2%; Average loss: 3.6857
Iteration: 451; Percent complete: 11.3%; Average loss: 3.9593
Iteration: 452; Percent complete: 11.3%; Average loss: 3.6712
Iteration: 453; Percent complete: 11.3%; Average loss: 3.6025
Iteration: 454; Percent complete: 11.3%; Average loss: 3.7510
Iteration: 455; Percent complete: 11.4%; Average loss: 3.6291
Iteration: 456; Percent complete: 11.4%; Average loss: 3.8140
Iteration: 457; Percent complete: 11.4%; Average loss: 3.6494
Iteration: 458; Percent complete: 11.5%; Average loss: 3.9969
Iteration: 459; Percent complete: 11.5%; Average loss: 3.8820
Iteration: 460; Percent complete: 11.5%; Average loss: 3.7201
Iteration: 461; Percent complete: 11.5%; Average loss: 3.8230
Iteration: 462; Percent complete: 11.6%; Average loss: 3.7271
Iteration: 463; Percent complete: 11.6%; Average loss: 3.5187
Iteration: 464; Percent complete: 11.6%; Average loss: 3.7841
Iteration: 465; Percent complete: 11.6%; Average loss: 3.8101
Iteration: 466; Percent complete: 11.7%; Average loss: 3.5998
Iteration: 467; Percent complete: 11.7%; Average loss: 3.5943
Iteration: 468; Percent complete: 11.7%; Average loss: 3.9885
Iteration: 469; Percent complete: 11.7%; Average loss: 3.8838
Iteration: 470; Percent complete: 11.8%; Average loss: 3.6917
Iteration: 471; Percent complete: 11.8%; Average loss: 3.7192
Iteration: 472; Percent complete: 11.8%; Average loss: 3.7273
Iteration: 473; Percent complete: 11.8%; Average loss: 3.3664
Iteration: 474; Percent complete: 11.8%; Average loss: 3.8036
Iteration: 475; Percent complete: 11.9%; Average loss: 3.8372
Iteration: 476; Percent complete: 11.9%; Average loss: 3.7508
Iteration: 477; Percent complete: 11.9%; Average loss: 3.8314
Iteration: 478; Percent complete: 11.9%; Average loss: 3.8710
Iteration: 479; Percent complete: 12.0%; Average loss: 3.7287
Iteration: 480; Percent complete: 12.0%; Average loss: 3.6232
Iteration: 481; Percent complete: 12.0%; Average loss: 3.7178
Iteration: 482; Percent complete: 12.0%; Average loss: 3.7356
Iteration: 483; Percent complete: 12.1%; Average loss: 3.8027
Iteration: 484; Percent complete: 12.1%; Average loss: 3.8389
Iteration: 485; Percent complete: 12.1%; Average loss: 3.7286
Iteration: 486; Percent complete: 12.2%; Average loss: 4.0224
Iteration: 487; Percent complete: 12.2%; Average loss: 4.0893
Iteration: 488; Percent complete: 12.2%; Average loss: 3.7484
Iteration: 489; Percent complete: 12.2%; Average loss: 3.9514
Iteration: 490; Percent complete: 12.2%; Average loss: 3.4567
Iteration: 491; Percent complete: 12.3%; Average loss: 4.0413
Iteration: 492; Percent complete: 12.3%; Average loss: 3.6821
Iteration: 493; Percent complete: 12.3%; Average loss: 3.6413
Iteration: 494; Percent complete: 12.3%; Average loss: 3.7043
Iteration: 495; Percent complete: 12.4%; Average loss: 3.7368
Iteration: 496; Percent complete: 12.4%; Average loss: 3.8689
Iteration: 497; Percent complete: 12.4%; Average loss: 3.7088
Iteration: 498; Percent complete: 12.4%; Average loss: 3.4818
Iteration: 499; Percent complete: 12.5%; Average loss: 3.9516
Iteration: 500; Percent complete: 12.5%; Average loss: 3.6470
Iteration: 501; Percent complete: 12.5%; Average loss: 3.9153
Iteration: 502; Percent complete: 12.6%; Average loss: 3.6209
Iteration: 503; Percent complete: 12.6%; Average loss: 3.9969
Iteration: 504; Percent complete: 12.6%; Average loss: 3.8912
Iteration: 505; Percent complete: 12.6%; Average loss: 3.8090
Iteration: 506; Percent complete: 12.7%; Average loss: 3.8018
Iteration: 507; Percent complete: 12.7%; Average loss: 3.6806
Iteration: 508; Percent complete: 12.7%; Average loss: 3.8046
Iteration: 509; Percent complete: 12.7%; Average loss: 3.7192
Iteration: 510; Percent complete: 12.8%; Average loss: 3.9465
Iteration: 511; Percent complete: 12.8%; Average loss: 3.6906
Iteration: 512; Percent complete: 12.8%; Average loss: 3.5230
Iteration: 513; Percent complete: 12.8%; Average loss: 4.0707
Iteration: 514; Percent complete: 12.8%; Average loss: 3.7556
Iteration: 515; Percent complete: 12.9%; Average loss: 3.8851
Iteration: 516; Percent complete: 12.9%; Average loss: 3.7617
Iteration: 517; Percent complete: 12.9%; Average loss: 3.8592
Iteration: 518; Percent complete: 13.0%; Average loss: 3.6004
Iteration: 519; Percent complete: 13.0%; Average loss: 3.9007
Iteration: 520; Percent complete: 13.0%; Average loss: 3.8681
Iteration: 521; Percent complete: 13.0%; Average loss: 3.7332
Iteration: 522; Percent complete: 13.1%; Average loss: 3.5271
Iteration: 523; Percent complete: 13.1%; Average loss: 3.6740
Iteration: 524; Percent complete: 13.1%; Average loss: 3.6004
Iteration: 525; Percent complete: 13.1%; Average loss: 3.7263
Iteration: 526; Percent complete: 13.2%; Average loss: 3.5752
Iteration: 527; Percent complete: 13.2%; Average loss: 3.7578
Iteration: 528; Percent complete: 13.2%; Average loss: 3.7496
Iteration: 529; Percent complete: 13.2%; Average loss: 3.7574
Iteration: 530; Percent complete: 13.2%; Average loss: 3.7292
Iteration: 531; Percent complete: 13.3%; Average loss: 3.7477
Iteration: 532; Percent complete: 13.3%; Average loss: 3.6906
Iteration: 533; Percent complete: 13.3%; Average loss: 3.6988
Iteration: 534; Percent complete: 13.4%; Average loss: 3.6819
Iteration: 535; Percent complete: 13.4%; Average loss: 3.7461
Iteration: 536; Percent complete: 13.4%; Average loss: 3.9997
Iteration: 537; Percent complete: 13.4%; Average loss: 3.6555
Iteration: 538; Percent complete: 13.5%; Average loss: 3.6683
Iteration: 539; Percent complete: 13.5%; Average loss: 3.8954
Iteration: 540; Percent complete: 13.5%; Average loss: 3.6998
Iteration: 541; Percent complete: 13.5%; Average loss: 3.6487
Iteration: 542; Percent complete: 13.6%; Average loss: 3.4779
Iteration: 543; Percent complete: 13.6%; Average loss: 3.6847
Iteration: 544; Percent complete: 13.6%; Average loss: 3.6203
Iteration: 545; Percent complete: 13.6%; Average loss: 3.7174
Iteration: 546; Percent complete: 13.7%; Average loss: 3.7436
Iteration: 547; Percent complete: 13.7%; Average loss: 3.6741
Iteration: 548; Percent complete: 13.7%; Average loss: 3.7911
Iteration: 549; Percent complete: 13.7%; Average loss: 3.8136
Iteration: 550; Percent complete: 13.8%; Average loss: 3.8701
Iteration: 551; Percent complete: 13.8%; Average loss: 3.6070
Iteration: 552; Percent complete: 13.8%; Average loss: 3.5623
Iteration: 553; Percent complete: 13.8%; Average loss: 4.0170
Iteration: 554; Percent complete: 13.9%; Average loss: 3.8983
Iteration: 555; Percent complete: 13.9%; Average loss: 3.5815
Iteration: 556; Percent complete: 13.9%; Average loss: 3.7807
Iteration: 557; Percent complete: 13.9%; Average loss: 3.9540
Iteration: 558; Percent complete: 14.0%; Average loss: 3.8766
Iteration: 559; Percent complete: 14.0%; Average loss: 3.8281
Iteration: 560; Percent complete: 14.0%; Average loss: 3.4621
Iteration: 561; Percent complete: 14.0%; Average loss: 3.6174
Iteration: 562; Percent complete: 14.1%; Average loss: 3.5133
Iteration: 563; Percent complete: 14.1%; Average loss: 3.8499
Iteration: 564; Percent complete: 14.1%; Average loss: 3.7274
Iteration: 565; Percent complete: 14.1%; Average loss: 3.7720
Iteration: 566; Percent complete: 14.1%; Average loss: 3.5688
Iteration: 567; Percent complete: 14.2%; Average loss: 3.8597
Iteration: 568; Percent complete: 14.2%; Average loss: 3.8157
Iteration: 569; Percent complete: 14.2%; Average loss: 3.5921
Iteration: 570; Percent complete: 14.2%; Average loss: 3.7700
Iteration: 571; Percent complete: 14.3%; Average loss: 3.6887
Iteration: 572; Percent complete: 14.3%; Average loss: 3.5184
Iteration: 573; Percent complete: 14.3%; Average loss: 3.5353
Iteration: 574; Percent complete: 14.3%; Average loss: 3.7143
Iteration: 575; Percent complete: 14.4%; Average loss: 3.5691
Iteration: 576; Percent complete: 14.4%; Average loss: 3.5160
Iteration: 577; Percent complete: 14.4%; Average loss: 3.5151
Iteration: 578; Percent complete: 14.4%; Average loss: 3.9455
Iteration: 579; Percent complete: 14.5%; Average loss: 3.7260
Iteration: 580; Percent complete: 14.5%; Average loss: 3.7215
Iteration: 581; Percent complete: 14.5%; Average loss: 3.8786
Iteration: 582; Percent complete: 14.5%; Average loss: 3.5330
Iteration: 583; Percent complete: 14.6%; Average loss: 3.6010
Iteration: 584; Percent complete: 14.6%; Average loss: 3.6526
Iteration: 585; Percent complete: 14.6%; Average loss: 3.6515
Iteration: 586; Percent complete: 14.6%; Average loss: 3.6799
Iteration: 587; Percent complete: 14.7%; Average loss: 3.6551
Iteration: 588; Percent complete: 14.7%; Average loss: 3.7059
Iteration: 589; Percent complete: 14.7%; Average loss: 3.7857
Iteration: 590; Percent complete: 14.8%; Average loss: 3.5937
Iteration: 591; Percent complete: 14.8%; Average loss: 3.8005
Iteration: 592; Percent complete: 14.8%; Average loss: 3.6003
Iteration: 593; Percent complete: 14.8%; Average loss: 3.8282
Iteration: 594; Percent complete: 14.8%; Average loss: 3.3750
Iteration: 595; Percent complete: 14.9%; Average loss: 3.7658
Iteration: 596; Percent complete: 14.9%; Average loss: 3.7484
Iteration: 597; Percent complete: 14.9%; Average loss: 3.4516
Iteration: 598; Percent complete: 14.9%; Average loss: 3.6850
Iteration: 599; Percent complete: 15.0%; Average loss: 3.7149
Iteration: 600; Percent complete: 15.0%; Average loss: 3.4685
Iteration: 601; Percent complete: 15.0%; Average loss: 3.6599
Iteration: 602; Percent complete: 15.0%; Average loss: 3.7527
Iteration: 603; Percent complete: 15.1%; Average loss: 3.7058
Iteration: 604; Percent complete: 15.1%; Average loss: 3.1984
Iteration: 605; Percent complete: 15.1%; Average loss: 3.5895
Iteration: 606; Percent complete: 15.2%; Average loss: 3.3432
Iteration: 607; Percent complete: 15.2%; Average loss: 3.6722
Iteration: 608; Percent complete: 15.2%; Average loss: 3.5191
Iteration: 609; Percent complete: 15.2%; Average loss: 3.8092
Iteration: 610; Percent complete: 15.2%; Average loss: 3.6082
Iteration: 611; Percent complete: 15.3%; Average loss: 3.7707
Iteration: 612; Percent complete: 15.3%; Average loss: 3.7372
Iteration: 613; Percent complete: 15.3%; Average loss: 3.8681
Iteration: 614; Percent complete: 15.3%; Average loss: 3.7136
Iteration: 615; Percent complete: 15.4%; Average loss: 3.5733
Iteration: 616; Percent complete: 15.4%; Average loss: 3.7191
Iteration: 617; Percent complete: 15.4%; Average loss: 3.7469
Iteration: 618; Percent complete: 15.4%; Average loss: 3.7261
Iteration: 619; Percent complete: 15.5%; Average loss: 3.4907
Iteration: 620; Percent complete: 15.5%; Average loss: 3.6768
Iteration: 621; Percent complete: 15.5%; Average loss: 3.5726
Iteration: 622; Percent complete: 15.6%; Average loss: 3.5314
Iteration: 623; Percent complete: 15.6%; Average loss: 3.6059
Iteration: 624; Percent complete: 15.6%; Average loss: 3.6337
Iteration: 625; Percent complete: 15.6%; Average loss: 3.4967
Iteration: 626; Percent complete: 15.7%; Average loss: 3.5998
Iteration: 627; Percent complete: 15.7%; Average loss: 3.4570
Iteration: 628; Percent complete: 15.7%; Average loss: 3.8935
Iteration: 629; Percent complete: 15.7%; Average loss: 3.6594
Iteration: 630; Percent complete: 15.8%; Average loss: 3.5935
Iteration: 631; Percent complete: 15.8%; Average loss: 3.6315
Iteration: 632; Percent complete: 15.8%; Average loss: 3.4915
Iteration: 633; Percent complete: 15.8%; Average loss: 3.4418
Iteration: 634; Percent complete: 15.8%; Average loss: 3.7821
Iteration: 635; Percent complete: 15.9%; Average loss: 3.5534
Iteration: 636; Percent complete: 15.9%; Average loss: 3.4453
Iteration: 637; Percent complete: 15.9%; Average loss: 3.4487
Iteration: 638; Percent complete: 16.0%; Average loss: 3.6840
Iteration: 639; Percent complete: 16.0%; Average loss: 3.6504
Iteration: 640; Percent complete: 16.0%; Average loss: 3.4813
Iteration: 641; Percent complete: 16.0%; Average loss: 3.7073
Iteration: 642; Percent complete: 16.1%; Average loss: 3.7016
Iteration: 643; Percent complete: 16.1%; Average loss: 3.6015
Iteration: 644; Percent complete: 16.1%; Average loss: 3.7156
Iteration: 645; Percent complete: 16.1%; Average loss: 3.7477
Iteration: 646; Percent complete: 16.2%; Average loss: 3.6313
Iteration: 647; Percent complete: 16.2%; Average loss: 3.8542
Iteration: 648; Percent complete: 16.2%; Average loss: 3.4878
Iteration: 649; Percent complete: 16.2%; Average loss: 4.0385
Iteration: 650; Percent complete: 16.2%; Average loss: 3.7557
Iteration: 651; Percent complete: 16.3%; Average loss: 3.7261
Iteration: 652; Percent complete: 16.3%; Average loss: 3.6507
Iteration: 653; Percent complete: 16.3%; Average loss: 3.4405
Iteration: 654; Percent complete: 16.4%; Average loss: 3.5008
Iteration: 655; Percent complete: 16.4%; Average loss: 3.5489
Iteration: 656; Percent complete: 16.4%; Average loss: 3.4189
Iteration: 657; Percent complete: 16.4%; Average loss: 3.5156
Iteration: 658; Percent complete: 16.4%; Average loss: 3.6563
Iteration: 659; Percent complete: 16.5%; Average loss: 4.0370
Iteration: 660; Percent complete: 16.5%; Average loss: 3.7016
Iteration: 661; Percent complete: 16.5%; Average loss: 3.5844
Iteration: 662; Percent complete: 16.6%; Average loss: 3.6428
Iteration: 663; Percent complete: 16.6%; Average loss: 3.5730
Iteration: 664; Percent complete: 16.6%; Average loss: 3.5267
Iteration: 665; Percent complete: 16.6%; Average loss: 3.6493
Iteration: 666; Percent complete: 16.7%; Average loss: 3.7561
Iteration: 667; Percent complete: 16.7%; Average loss: 3.7125
Iteration: 668; Percent complete: 16.7%; Average loss: 3.4439
Iteration: 669; Percent complete: 16.7%; Average loss: 3.6188
Iteration: 670; Percent complete: 16.8%; Average loss: 3.7673
Iteration: 671; Percent complete: 16.8%; Average loss: 3.4836
Iteration: 672; Percent complete: 16.8%; Average loss: 3.5672
Iteration: 673; Percent complete: 16.8%; Average loss: 3.7431
Iteration: 674; Percent complete: 16.9%; Average loss: 3.5608
Iteration: 675; Percent complete: 16.9%; Average loss: 3.8996
Iteration: 676; Percent complete: 16.9%; Average loss: 3.5033
Iteration: 677; Percent complete: 16.9%; Average loss: 3.5692
Iteration: 678; Percent complete: 17.0%; Average loss: 3.8314
Iteration: 679; Percent complete: 17.0%; Average loss: 3.7165
Iteration: 680; Percent complete: 17.0%; Average loss: 3.5357
Iteration: 681; Percent complete: 17.0%; Average loss: 3.6061
Iteration: 682; Percent complete: 17.1%; Average loss: 3.7090
Iteration: 683; Percent complete: 17.1%; Average loss: 3.6332
Iteration: 684; Percent complete: 17.1%; Average loss: 3.3741
Iteration: 685; Percent complete: 17.1%; Average loss: 3.5073
Iteration: 686; Percent complete: 17.2%; Average loss: 3.6758
Iteration: 687; Percent complete: 17.2%; Average loss: 3.8965
Iteration: 688; Percent complete: 17.2%; Average loss: 3.3459
Iteration: 689; Percent complete: 17.2%; Average loss: 3.5908
Iteration: 690; Percent complete: 17.2%; Average loss: 3.5826
Iteration: 691; Percent complete: 17.3%; Average loss: 3.5814
Iteration: 692; Percent complete: 17.3%; Average loss: 3.6665
Iteration: 693; Percent complete: 17.3%; Average loss: 3.6890
Iteration: 694; Percent complete: 17.3%; Average loss: 3.6478
Iteration: 695; Percent complete: 17.4%; Average loss: 3.7721
Iteration: 696; Percent complete: 17.4%; Average loss: 3.4056
Iteration: 697; Percent complete: 17.4%; Average loss: 3.5578
Iteration: 698; Percent complete: 17.4%; Average loss: 3.8118
Iteration: 699; Percent complete: 17.5%; Average loss: 3.3846
Iteration: 700; Percent complete: 17.5%; Average loss: 4.0520
Iteration: 701; Percent complete: 17.5%; Average loss: 3.4448
Iteration: 702; Percent complete: 17.5%; Average loss: 3.9289
Iteration: 703; Percent complete: 17.6%; Average loss: 3.7117
Iteration: 704; Percent complete: 17.6%; Average loss: 3.5362
Iteration: 705; Percent complete: 17.6%; Average loss: 3.7996
Iteration: 706; Percent complete: 17.6%; Average loss: 3.6776
Iteration: 707; Percent complete: 17.7%; Average loss: 3.6799
Iteration: 708; Percent complete: 17.7%; Average loss: 3.4562
Iteration: 709; Percent complete: 17.7%; Average loss: 3.5523
Iteration: 710; Percent complete: 17.8%; Average loss: 3.5387
Iteration: 711; Percent complete: 17.8%; Average loss: 3.6889
Iteration: 712; Percent complete: 17.8%; Average loss: 3.8441
Iteration: 713; Percent complete: 17.8%; Average loss: 3.5246
Iteration: 714; Percent complete: 17.8%; Average loss: 3.7455
Iteration: 715; Percent complete: 17.9%; Average loss: 3.5578
Iteration: 716; Percent complete: 17.9%; Average loss: 3.5911
Iteration: 717; Percent complete: 17.9%; Average loss: 3.6594
Iteration: 718; Percent complete: 17.9%; Average loss: 3.8774
Iteration: 719; Percent complete: 18.0%; Average loss: 3.6058
Iteration: 720; Percent complete: 18.0%; Average loss: 3.7654
Iteration: 721; Percent complete: 18.0%; Average loss: 3.6534
Iteration: 722; Percent complete: 18.1%; Average loss: 3.2368
Iteration: 723; Percent complete: 18.1%; Average loss: 3.8266
Iteration: 724; Percent complete: 18.1%; Average loss: 3.4675
Iteration: 725; Percent complete: 18.1%; Average loss: 4.0525
Iteration: 726; Percent complete: 18.1%; Average loss: 3.7224
Iteration: 727; Percent complete: 18.2%; Average loss: 3.7673
Iteration: 728; Percent complete: 18.2%; Average loss: 3.3932
Iteration: 729; Percent complete: 18.2%; Average loss: 3.7214
Iteration: 730; Percent complete: 18.2%; Average loss: 3.4446
Iteration: 731; Percent complete: 18.3%; Average loss: 3.5718
Iteration: 732; Percent complete: 18.3%; Average loss: 3.6207
Iteration: 733; Percent complete: 18.3%; Average loss: 3.8119
Iteration: 734; Percent complete: 18.4%; Average loss: 3.6985
Iteration: 735; Percent complete: 18.4%; Average loss: 3.5975
Iteration: 736; Percent complete: 18.4%; Average loss: 3.4293
Iteration: 737; Percent complete: 18.4%; Average loss: 3.4937
Iteration: 738; Percent complete: 18.4%; Average loss: 3.7105
Iteration: 739; Percent complete: 18.5%; Average loss: 3.7081
Iteration: 740; Percent complete: 18.5%; Average loss: 3.8091
Iteration: 741; Percent complete: 18.5%; Average loss: 3.4697
Iteration: 742; Percent complete: 18.6%; Average loss: 3.5972
Iteration: 743; Percent complete: 18.6%; Average loss: 3.6851
Iteration: 744; Percent complete: 18.6%; Average loss: 3.6114
Iteration: 745; Percent complete: 18.6%; Average loss: 3.4880
Iteration: 746; Percent complete: 18.6%; Average loss: 3.4562
Iteration: 747; Percent complete: 18.7%; Average loss: 3.5447
Iteration: 748; Percent complete: 18.7%; Average loss: 3.5454
Iteration: 749; Percent complete: 18.7%; Average loss: 3.6571
Iteration: 750; Percent complete: 18.8%; Average loss: 3.5490
Iteration: 751; Percent complete: 18.8%; Average loss: 3.5118
Iteration: 752; Percent complete: 18.8%; Average loss: 3.6236
Iteration: 753; Percent complete: 18.8%; Average loss: 3.7382
Iteration: 754; Percent complete: 18.9%; Average loss: 3.6669
Iteration: 755; Percent complete: 18.9%; Average loss: 3.6659
Iteration: 756; Percent complete: 18.9%; Average loss: 3.4291
Iteration: 757; Percent complete: 18.9%; Average loss: 3.6128
Iteration: 758; Percent complete: 18.9%; Average loss: 3.4035
Iteration: 759; Percent complete: 19.0%; Average loss: 3.2837
Iteration: 760; Percent complete: 19.0%; Average loss: 3.6334
Iteration: 761; Percent complete: 19.0%; Average loss: 3.7348
Iteration: 762; Percent complete: 19.1%; Average loss: 3.6774
Iteration: 763; Percent complete: 19.1%; Average loss: 3.3843
Iteration: 764; Percent complete: 19.1%; Average loss: 3.6028
Iteration: 765; Percent complete: 19.1%; Average loss: 3.4222
Iteration: 766; Percent complete: 19.1%; Average loss: 3.7403
Iteration: 767; Percent complete: 19.2%; Average loss: 3.5224
Iteration: 768; Percent complete: 19.2%; Average loss: 3.4046
Iteration: 769; Percent complete: 19.2%; Average loss: 3.7144
Iteration: 770; Percent complete: 19.2%; Average loss: 3.7592
Iteration: 771; Percent complete: 19.3%; Average loss: 3.7118
Iteration: 772; Percent complete: 19.3%; Average loss: 3.6816
Iteration: 773; Percent complete: 19.3%; Average loss: 3.6052
Iteration: 774; Percent complete: 19.4%; Average loss: 3.8208
Iteration: 775; Percent complete: 19.4%; Average loss: 3.4671
Iteration: 776; Percent complete: 19.4%; Average loss: 3.7463
Iteration: 777; Percent complete: 19.4%; Average loss: 3.4858
Iteration: 778; Percent complete: 19.4%; Average loss: 3.5422
Iteration: 779; Percent complete: 19.5%; Average loss: 3.7156
Iteration: 780; Percent complete: 19.5%; Average loss: 3.4161
Iteration: 781; Percent complete: 19.5%; Average loss: 3.5611
Iteration: 782; Percent complete: 19.6%; Average loss: 3.3921
Iteration: 783; Percent complete: 19.6%; Average loss: 3.6300
Iteration: 784; Percent complete: 19.6%; Average loss: 3.6712
Iteration: 785; Percent complete: 19.6%; Average loss: 3.4953
Iteration: 786; Percent complete: 19.7%; Average loss: 3.5081
Iteration: 787; Percent complete: 19.7%; Average loss: 3.5243
Iteration: 788; Percent complete: 19.7%; Average loss: 3.6599
Iteration: 789; Percent complete: 19.7%; Average loss: 3.5092
Iteration: 790; Percent complete: 19.8%; Average loss: 3.5908
Iteration: 791; Percent complete: 19.8%; Average loss: 3.6754
Iteration: 792; Percent complete: 19.8%; Average loss: 3.7150
Iteration: 793; Percent complete: 19.8%; Average loss: 3.3608
Iteration: 794; Percent complete: 19.9%; Average loss: 3.1796
Iteration: 795; Percent complete: 19.9%; Average loss: 3.2464
Iteration: 796; Percent complete: 19.9%; Average loss: 3.3716
Iteration: 797; Percent complete: 19.9%; Average loss: 3.7397
Iteration: 798; Percent complete: 20.0%; Average loss: 3.7447
Iteration: 799; Percent complete: 20.0%; Average loss: 3.6320
Iteration: 800; Percent complete: 20.0%; Average loss: 3.4687
Iteration: 801; Percent complete: 20.0%; Average loss: 3.7443
Iteration: 802; Percent complete: 20.1%; Average loss: 3.7399
Iteration: 803; Percent complete: 20.1%; Average loss: 3.2849
Iteration: 804; Percent complete: 20.1%; Average loss: 3.6882
Iteration: 805; Percent complete: 20.1%; Average loss: 3.6370
Iteration: 806; Percent complete: 20.2%; Average loss: 3.7620
Iteration: 807; Percent complete: 20.2%; Average loss: 3.8108
Iteration: 808; Percent complete: 20.2%; Average loss: 3.5188
Iteration: 809; Percent complete: 20.2%; Average loss: 3.7460
Iteration: 810; Percent complete: 20.2%; Average loss: 3.3959
Iteration: 811; Percent complete: 20.3%; Average loss: 3.4298
Iteration: 812; Percent complete: 20.3%; Average loss: 3.6723
Iteration: 813; Percent complete: 20.3%; Average loss: 3.7608
Iteration: 814; Percent complete: 20.3%; Average loss: 3.2601
Iteration: 815; Percent complete: 20.4%; Average loss: 3.3090
Iteration: 816; Percent complete: 20.4%; Average loss: 3.5632
Iteration: 817; Percent complete: 20.4%; Average loss: 3.3030
Iteration: 818; Percent complete: 20.4%; Average loss: 3.6460
Iteration: 819; Percent complete: 20.5%; Average loss: 3.3056
Iteration: 820; Percent complete: 20.5%; Average loss: 3.6629
Iteration: 821; Percent complete: 20.5%; Average loss: 3.3608
Iteration: 822; Percent complete: 20.5%; Average loss: 3.5805
Iteration: 823; Percent complete: 20.6%; Average loss: 3.7360
Iteration: 824; Percent complete: 20.6%; Average loss: 3.6183
Iteration: 825; Percent complete: 20.6%; Average loss: 3.3984
Iteration: 826; Percent complete: 20.6%; Average loss: 3.6732
Iteration: 827; Percent complete: 20.7%; Average loss: 3.5438
Iteration: 828; Percent complete: 20.7%; Average loss: 3.3202
Iteration: 829; Percent complete: 20.7%; Average loss: 3.7450
Iteration: 830; Percent complete: 20.8%; Average loss: 3.5258
Iteration: 831; Percent complete: 20.8%; Average loss: 3.3894
Iteration: 832; Percent complete: 20.8%; Average loss: 3.0460
Iteration: 833; Percent complete: 20.8%; Average loss: 3.4983
Iteration: 834; Percent complete: 20.8%; Average loss: 3.7185
Iteration: 835; Percent complete: 20.9%; Average loss: 3.7307
Iteration: 836; Percent complete: 20.9%; Average loss: 3.7385
Iteration: 837; Percent complete: 20.9%; Average loss: 3.6786
Iteration: 838; Percent complete: 20.9%; Average loss: 3.8283
Iteration: 839; Percent complete: 21.0%; Average loss: 3.6366
Iteration: 840; Percent complete: 21.0%; Average loss: 3.4444
Iteration: 841; Percent complete: 21.0%; Average loss: 3.8667
Iteration: 842; Percent complete: 21.1%; Average loss: 3.6406
Iteration: 843; Percent complete: 21.1%; Average loss: 3.4216
Iteration: 844; Percent complete: 21.1%; Average loss: 3.4804
Iteration: 845; Percent complete: 21.1%; Average loss: 3.5601
Iteration: 846; Percent complete: 21.1%; Average loss: 3.5576
Iteration: 847; Percent complete: 21.2%; Average loss: 3.5662
Iteration: 848; Percent complete: 21.2%; Average loss: 3.4342
Iteration: 849; Percent complete: 21.2%; Average loss: 3.3811
Iteration: 850; Percent complete: 21.2%; Average loss: 3.3993
Iteration: 851; Percent complete: 21.3%; Average loss: 3.3885
Iteration: 852; Percent complete: 21.3%; Average loss: 3.6232
Iteration: 853; Percent complete: 21.3%; Average loss: 3.6749
Iteration: 854; Percent complete: 21.3%; Average loss: 3.5241
Iteration: 855; Percent complete: 21.4%; Average loss: 3.5703
Iteration: 856; Percent complete: 21.4%; Average loss: 3.3214
Iteration: 857; Percent complete: 21.4%; Average loss: 3.3904
Iteration: 858; Percent complete: 21.4%; Average loss: 3.8100
Iteration: 859; Percent complete: 21.5%; Average loss: 3.6097
Iteration: 860; Percent complete: 21.5%; Average loss: 3.5528
Iteration: 861; Percent complete: 21.5%; Average loss: 3.4902
Iteration: 862; Percent complete: 21.6%; Average loss: 3.6265
Iteration: 863; Percent complete: 21.6%; Average loss: 3.6513
Iteration: 864; Percent complete: 21.6%; Average loss: 3.5244
Iteration: 865; Percent complete: 21.6%; Average loss: 3.7327
Iteration: 866; Percent complete: 21.6%; Average loss: 3.2809
Iteration: 867; Percent complete: 21.7%; Average loss: 3.5432
Iteration: 868; Percent complete: 21.7%; Average loss: 3.1830
Iteration: 869; Percent complete: 21.7%; Average loss: 3.6119
Iteration: 870; Percent complete: 21.8%; Average loss: 3.2567
Iteration: 871; Percent complete: 21.8%; Average loss: 3.6304
Iteration: 872; Percent complete: 21.8%; Average loss: 3.4385
Iteration: 873; Percent complete: 21.8%; Average loss: 3.6700
Iteration: 874; Percent complete: 21.9%; Average loss: 3.5735
Iteration: 875; Percent complete: 21.9%; Average loss: 3.5950
Iteration: 876; Percent complete: 21.9%; Average loss: 3.4763
Iteration: 877; Percent complete: 21.9%; Average loss: 3.4240
Iteration: 878; Percent complete: 21.9%; Average loss: 3.7661
Iteration: 879; Percent complete: 22.0%; Average loss: 3.5867
Iteration: 880; Percent complete: 22.0%; Average loss: 3.4448
Iteration: 881; Percent complete: 22.0%; Average loss: 3.6918
Iteration: 882; Percent complete: 22.1%; Average loss: 3.4779
Iteration: 883; Percent complete: 22.1%; Average loss: 3.2779
Iteration: 884; Percent complete: 22.1%; Average loss: 3.5692
Iteration: 885; Percent complete: 22.1%; Average loss: 3.6909
Iteration: 886; Percent complete: 22.1%; Average loss: 3.4924
Iteration: 887; Percent complete: 22.2%; Average loss: 3.3362
Iteration: 888; Percent complete: 22.2%; Average loss: 3.4533
Iteration: 889; Percent complete: 22.2%; Average loss: 3.7358
Iteration: 890; Percent complete: 22.2%; Average loss: 3.2665
Iteration: 891; Percent complete: 22.3%; Average loss: 3.4244
Iteration: 892; Percent complete: 22.3%; Average loss: 3.8178
Iteration: 893; Percent complete: 22.3%; Average loss: 3.5222
Iteration: 894; Percent complete: 22.4%; Average loss: 3.5952
Iteration: 895; Percent complete: 22.4%; Average loss: 3.7336
Iteration: 896; Percent complete: 22.4%; Average loss: 3.6580
Iteration: 897; Percent complete: 22.4%; Average loss: 3.4321
Iteration: 898; Percent complete: 22.4%; Average loss: 3.7432
Iteration: 899; Percent complete: 22.5%; Average loss: 3.6493
Iteration: 900; Percent complete: 22.5%; Average loss: 3.3886
Iteration: 901; Percent complete: 22.5%; Average loss: 3.3035
Iteration: 902; Percent complete: 22.6%; Average loss: 3.3717
Iteration: 903; Percent complete: 22.6%; Average loss: 3.5130
Iteration: 904; Percent complete: 22.6%; Average loss: 3.3913
Iteration: 905; Percent complete: 22.6%; Average loss: 3.5097
Iteration: 906; Percent complete: 22.7%; Average loss: 3.6125
Iteration: 907; Percent complete: 22.7%; Average loss: 3.3939
Iteration: 908; Percent complete: 22.7%; Average loss: 3.3423
Iteration: 909; Percent complete: 22.7%; Average loss: 3.4525
Iteration: 910; Percent complete: 22.8%; Average loss: 3.6168
Iteration: 911; Percent complete: 22.8%; Average loss: 3.5603
Iteration: 912; Percent complete: 22.8%; Average loss: 3.5371
Iteration: 913; Percent complete: 22.8%; Average loss: 3.4009
Iteration: 914; Percent complete: 22.9%; Average loss: 3.5117
Iteration: 915; Percent complete: 22.9%; Average loss: 3.4155
Iteration: 916; Percent complete: 22.9%; Average loss: 3.4903
Iteration: 917; Percent complete: 22.9%; Average loss: 3.5250
Iteration: 918; Percent complete: 22.9%; Average loss: 3.4837
Iteration: 919; Percent complete: 23.0%; Average loss: 3.4807
Iteration: 920; Percent complete: 23.0%; Average loss: 3.3363
Iteration: 921; Percent complete: 23.0%; Average loss: 3.4055
Iteration: 922; Percent complete: 23.1%; Average loss: 3.3161
Iteration: 923; Percent complete: 23.1%; Average loss: 3.5036
Iteration: 924; Percent complete: 23.1%; Average loss: 3.4275
Iteration: 925; Percent complete: 23.1%; Average loss: 3.7256
Iteration: 926; Percent complete: 23.2%; Average loss: 3.4880
Iteration: 927; Percent complete: 23.2%; Average loss: 3.4730
Iteration: 928; Percent complete: 23.2%; Average loss: 3.5419
Iteration: 929; Percent complete: 23.2%; Average loss: 3.2667
Iteration: 930; Percent complete: 23.2%; Average loss: 3.6258
Iteration: 931; Percent complete: 23.3%; Average loss: 3.2657
Iteration: 932; Percent complete: 23.3%; Average loss: 3.5123
Iteration: 933; Percent complete: 23.3%; Average loss: 3.6694
Iteration: 934; Percent complete: 23.4%; Average loss: 3.4097
Iteration: 935; Percent complete: 23.4%; Average loss: 3.6090
Iteration: 936; Percent complete: 23.4%; Average loss: 3.3593
Iteration: 937; Percent complete: 23.4%; Average loss: 3.2025
Iteration: 938; Percent complete: 23.4%; Average loss: 3.4959
Iteration: 939; Percent complete: 23.5%; Average loss: 3.5551
Iteration: 940; Percent complete: 23.5%; Average loss: 3.3711
Iteration: 941; Percent complete: 23.5%; Average loss: 3.7637
Iteration: 942; Percent complete: 23.5%; Average loss: 3.5345
Iteration: 943; Percent complete: 23.6%; Average loss: 3.4433
Iteration: 944; Percent complete: 23.6%; Average loss: 3.4898
Iteration: 945; Percent complete: 23.6%; Average loss: 3.2295
Iteration: 946; Percent complete: 23.6%; Average loss: 3.6261
Iteration: 947; Percent complete: 23.7%; Average loss: 3.3562
Iteration: 948; Percent complete: 23.7%; Average loss: 3.5022
Iteration: 949; Percent complete: 23.7%; Average loss: 3.7165
Iteration: 950; Percent complete: 23.8%; Average loss: 3.2590
Iteration: 951; Percent complete: 23.8%; Average loss: 3.4720
Iteration: 952; Percent complete: 23.8%; Average loss: 3.2688
Iteration: 953; Percent complete: 23.8%; Average loss: 3.4812
Iteration: 954; Percent complete: 23.8%; Average loss: 3.4111
Iteration: 955; Percent complete: 23.9%; Average loss: 3.4251
Iteration: 956; Percent complete: 23.9%; Average loss: 3.4675
Iteration: 957; Percent complete: 23.9%; Average loss: 3.5558
Iteration: 958; Percent complete: 23.9%; Average loss: 3.4170
Iteration: 959; Percent complete: 24.0%; Average loss: 3.5365
Iteration: 960; Percent complete: 24.0%; Average loss: 3.4099
Iteration: 961; Percent complete: 24.0%; Average loss: 3.2552
Iteration: 962; Percent complete: 24.1%; Average loss: 3.4107
Iteration: 963; Percent complete: 24.1%; Average loss: 3.6318
Iteration: 964; Percent complete: 24.1%; Average loss: 3.4062
Iteration: 965; Percent complete: 24.1%; Average loss: 3.2689
Iteration: 966; Percent complete: 24.1%; Average loss: 3.4614
Iteration: 967; Percent complete: 24.2%; Average loss: 3.4890
Iteration: 968; Percent complete: 24.2%; Average loss: 3.3007
Iteration: 969; Percent complete: 24.2%; Average loss: 3.6152
Iteration: 970; Percent complete: 24.2%; Average loss: 3.7038
Iteration: 971; Percent complete: 24.3%; Average loss: 3.3603
Iteration: 972; Percent complete: 24.3%; Average loss: 3.3782
Iteration: 973; Percent complete: 24.3%; Average loss: 3.2838
Iteration: 974; Percent complete: 24.3%; Average loss: 3.4717
Iteration: 975; Percent complete: 24.4%; Average loss: 3.6164
Iteration: 976; Percent complete: 24.4%; Average loss: 3.3739
Iteration: 977; Percent complete: 24.4%; Average loss: 3.3889
Iteration: 978; Percent complete: 24.4%; Average loss: 3.2766
Iteration: 979; Percent complete: 24.5%; Average loss: 3.6500
Iteration: 980; Percent complete: 24.5%; Average loss: 3.5955
Iteration: 981; Percent complete: 24.5%; Average loss: 3.4959
Iteration: 982; Percent complete: 24.6%; Average loss: 3.4898
Iteration: 983; Percent complete: 24.6%; Average loss: 3.5568
Iteration: 984; Percent complete: 24.6%; Average loss: 3.2623
Iteration: 985; Percent complete: 24.6%; Average loss: 3.4067
Iteration: 986; Percent complete: 24.6%; Average loss: 3.7135
Iteration: 987; Percent complete: 24.7%; Average loss: 3.3408
Iteration: 988; Percent complete: 24.7%; Average loss: 3.5486
Iteration: 989; Percent complete: 24.7%; Average loss: 3.6886
Iteration: 990; Percent complete: 24.8%; Average loss: 3.2429
Iteration: 991; Percent complete: 24.8%; Average loss: 3.3270
Iteration: 992; Percent complete: 24.8%; Average loss: 3.5015
Iteration: 993; Percent complete: 24.8%; Average loss: 3.5221
Iteration: 994; Percent complete: 24.9%; Average loss: 3.5215
Iteration: 995; Percent complete: 24.9%; Average loss: 3.1455
Iteration: 996; Percent complete: 24.9%; Average loss: 3.3032
Iteration: 997; Percent complete: 24.9%; Average loss: 3.4094
Iteration: 998; Percent complete: 24.9%; Average loss: 3.2368
Iteration: 999; Percent complete: 25.0%; Average loss: 3.4853
Iteration: 1000; Percent complete: 25.0%; Average loss: 3.6387
Iteration: 1001; Percent complete: 25.0%; Average loss: 3.1799
Iteration: 1002; Percent complete: 25.1%; Average loss: 3.3654
Iteration: 1003; Percent complete: 25.1%; Average loss: 3.7013
Iteration: 1004; Percent complete: 25.1%; Average loss: 3.2320
Iteration: 1005; Percent complete: 25.1%; Average loss: 3.6045
Iteration: 1006; Percent complete: 25.1%; Average loss: 3.5789
Iteration: 1007; Percent complete: 25.2%; Average loss: 3.4088
Iteration: 1008; Percent complete: 25.2%; Average loss: 3.2306
Iteration: 1009; Percent complete: 25.2%; Average loss: 3.2894
Iteration: 1010; Percent complete: 25.2%; Average loss: 3.3968
Iteration: 1011; Percent complete: 25.3%; Average loss: 3.5215
Iteration: 1012; Percent complete: 25.3%; Average loss: 3.6322
Iteration: 1013; Percent complete: 25.3%; Average loss: 3.4365
Iteration: 1014; Percent complete: 25.4%; Average loss: 3.4301
Iteration: 1015; Percent complete: 25.4%; Average loss: 3.5252
Iteration: 1016; Percent complete: 25.4%; Average loss: 3.2845
Iteration: 1017; Percent complete: 25.4%; Average loss: 3.4664
Iteration: 1018; Percent complete: 25.4%; Average loss: 3.5269
Iteration: 1019; Percent complete: 25.5%; Average loss: 3.4605
Iteration: 1020; Percent complete: 25.5%; Average loss: 3.3830
Iteration: 1021; Percent complete: 25.5%; Average loss: 3.5243
Iteration: 1022; Percent complete: 25.6%; Average loss: 3.7222
Iteration: 1023; Percent complete: 25.6%; Average loss: 3.5410
Iteration: 1024; Percent complete: 25.6%; Average loss: 3.1664
Iteration: 1025; Percent complete: 25.6%; Average loss: 3.5337
Iteration: 1026; Percent complete: 25.7%; Average loss: 3.5739
Iteration: 1027; Percent complete: 25.7%; Average loss: 3.4589
Iteration: 1028; Percent complete: 25.7%; Average loss: 3.5499
Iteration: 1029; Percent complete: 25.7%; Average loss: 3.5137
Iteration: 1030; Percent complete: 25.8%; Average loss: 3.5192
Iteration: 1031; Percent complete: 25.8%; Average loss: 3.4068
Iteration: 1032; Percent complete: 25.8%; Average loss: 3.5282
Iteration: 1033; Percent complete: 25.8%; Average loss: 3.2364
Iteration: 1034; Percent complete: 25.9%; Average loss: 3.6291
Iteration: 1035; Percent complete: 25.9%; Average loss: 3.5991
Iteration: 1036; Percent complete: 25.9%; Average loss: 3.4060
Iteration: 1037; Percent complete: 25.9%; Average loss: 3.3155
Iteration: 1038; Percent complete: 25.9%; Average loss: 3.5386
Iteration: 1039; Percent complete: 26.0%; Average loss: 3.6264
Iteration: 1040; Percent complete: 26.0%; Average loss: 3.2626
Iteration: 1041; Percent complete: 26.0%; Average loss: 3.1700
Iteration: 1042; Percent complete: 26.1%; Average loss: 3.6343
Iteration: 1043; Percent complete: 26.1%; Average loss: 3.5854
Iteration: 1044; Percent complete: 26.1%; Average loss: 3.4515
Iteration: 1045; Percent complete: 26.1%; Average loss: 3.5514
Iteration: 1046; Percent complete: 26.2%; Average loss: 3.3004
Iteration: 1047; Percent complete: 26.2%; Average loss: 3.5477
Iteration: 1048; Percent complete: 26.2%; Average loss: 3.7692
Iteration: 1049; Percent complete: 26.2%; Average loss: 3.3148
Iteration: 1050; Percent complete: 26.2%; Average loss: 3.5691
Iteration: 1051; Percent complete: 26.3%; Average loss: 3.2611
Iteration: 1052; Percent complete: 26.3%; Average loss: 3.3404
Iteration: 1053; Percent complete: 26.3%; Average loss: 3.4685
Iteration: 1054; Percent complete: 26.4%; Average loss: 3.3160
Iteration: 1055; Percent complete: 26.4%; Average loss: 3.6627
Iteration: 1056; Percent complete: 26.4%; Average loss: 3.3628
Iteration: 1057; Percent complete: 26.4%; Average loss: 3.4207
Iteration: 1058; Percent complete: 26.5%; Average loss: 3.5071
Iteration: 1059; Percent complete: 26.5%; Average loss: 3.3606
Iteration: 1060; Percent complete: 26.5%; Average loss: 3.4411
Iteration: 1061; Percent complete: 26.5%; Average loss: 3.6184
Iteration: 1062; Percent complete: 26.6%; Average loss: 3.3748
Iteration: 1063; Percent complete: 26.6%; Average loss: 3.7179
Iteration: 1064; Percent complete: 26.6%; Average loss: 3.4049
Iteration: 1065; Percent complete: 26.6%; Average loss: 3.4995
Iteration: 1066; Percent complete: 26.7%; Average loss: 3.5174
Iteration: 1067; Percent complete: 26.7%; Average loss: 3.2321
Iteration: 1068; Percent complete: 26.7%; Average loss: 3.3292
Iteration: 1069; Percent complete: 26.7%; Average loss: 3.2131
Iteration: 1070; Percent complete: 26.8%; Average loss: 3.4156
Iteration: 1071; Percent complete: 26.8%; Average loss: 3.3313
Iteration: 1072; Percent complete: 26.8%; Average loss: 3.2724
Iteration: 1073; Percent complete: 26.8%; Average loss: 3.3806
Iteration: 1074; Percent complete: 26.9%; Average loss: 3.3265
Iteration: 1075; Percent complete: 26.9%; Average loss: 3.4778
Iteration: 1076; Percent complete: 26.9%; Average loss: 3.3974
Iteration: 1077; Percent complete: 26.9%; Average loss: 3.4357
Iteration: 1078; Percent complete: 27.0%; Average loss: 3.3614
Iteration: 1079; Percent complete: 27.0%; Average loss: 3.2825
Iteration: 1080; Percent complete: 27.0%; Average loss: 3.5026
Iteration: 1081; Percent complete: 27.0%; Average loss: 3.2983
Iteration: 1082; Percent complete: 27.1%; Average loss: 3.3870
Iteration: 1083; Percent complete: 27.1%; Average loss: 3.4983
Iteration: 1084; Percent complete: 27.1%; Average loss: 3.1776
Iteration: 1085; Percent complete: 27.1%; Average loss: 3.4054
Iteration: 1086; Percent complete: 27.2%; Average loss: 3.3911
Iteration: 1087; Percent complete: 27.2%; Average loss: 3.2613
Iteration: 1088; Percent complete: 27.2%; Average loss: 3.2442
Iteration: 1089; Percent complete: 27.2%; Average loss: 3.5522
Iteration: 1090; Percent complete: 27.3%; Average loss: 3.5022
Iteration: 1091; Percent complete: 27.3%; Average loss: 3.2627
Iteration: 1092; Percent complete: 27.3%; Average loss: 3.3494
Iteration: 1093; Percent complete: 27.3%; Average loss: 3.3381
Iteration: 1094; Percent complete: 27.4%; Average loss: 3.3148
Iteration: 1095; Percent complete: 27.4%; Average loss: 3.6340
Iteration: 1096; Percent complete: 27.4%; Average loss: 3.5403
Iteration: 1097; Percent complete: 27.4%; Average loss: 3.5126
Iteration: 1098; Percent complete: 27.5%; Average loss: 3.6352
Iteration: 1099; Percent complete: 27.5%; Average loss: 3.2481
Iteration: 1100; Percent complete: 27.5%; Average loss: 3.4894
Iteration: 1101; Percent complete: 27.5%; Average loss: 3.3251
Iteration: 1102; Percent complete: 27.6%; Average loss: 3.3307
Iteration: 1103; Percent complete: 27.6%; Average loss: 3.3582
Iteration: 1104; Percent complete: 27.6%; Average loss: 3.4499
Iteration: 1105; Percent complete: 27.6%; Average loss: 3.3924
Iteration: 1106; Percent complete: 27.7%; Average loss: 3.6275
Iteration: 1107; Percent complete: 27.7%; Average loss: 3.2847
Iteration: 1108; Percent complete: 27.7%; Average loss: 3.2879
Iteration: 1109; Percent complete: 27.7%; Average loss: 3.4425
Iteration: 1110; Percent complete: 27.8%; Average loss: 3.3730
Iteration: 1111; Percent complete: 27.8%; Average loss: 3.4637
Iteration: 1112; Percent complete: 27.8%; Average loss: 3.4901
Iteration: 1113; Percent complete: 27.8%; Average loss: 3.3641
Iteration: 1114; Percent complete: 27.9%; Average loss: 3.3670
Iteration: 1115; Percent complete: 27.9%; Average loss: 3.5691
Iteration: 1116; Percent complete: 27.9%; Average loss: 3.4522
Iteration: 1117; Percent complete: 27.9%; Average loss: 3.5973
Iteration: 1118; Percent complete: 28.0%; Average loss: 3.5499
Iteration: 1119; Percent complete: 28.0%; Average loss: 3.6892
Iteration: 1120; Percent complete: 28.0%; Average loss: 3.5392
Iteration: 1121; Percent complete: 28.0%; Average loss: 3.6866
Iteration: 1122; Percent complete: 28.1%; Average loss: 3.1902
Iteration: 1123; Percent complete: 28.1%; Average loss: 3.5915
Iteration: 1124; Percent complete: 28.1%; Average loss: 3.4193
Iteration: 1125; Percent complete: 28.1%; Average loss: 3.6829
Iteration: 1126; Percent complete: 28.1%; Average loss: 3.3979
Iteration: 1127; Percent complete: 28.2%; Average loss: 3.5639
Iteration: 1128; Percent complete: 28.2%; Average loss: 3.2413
Iteration: 1129; Percent complete: 28.2%; Average loss: 3.1433
Iteration: 1130; Percent complete: 28.2%; Average loss: 3.4279
Iteration: 1131; Percent complete: 28.3%; Average loss: 3.4763
Iteration: 1132; Percent complete: 28.3%; Average loss: 3.7061
Iteration: 1133; Percent complete: 28.3%; Average loss: 3.3526
Iteration: 1134; Percent complete: 28.3%; Average loss: 3.2123
Iteration: 1135; Percent complete: 28.4%; Average loss: 3.2675
Iteration: 1136; Percent complete: 28.4%; Average loss: 3.2359
Iteration: 1137; Percent complete: 28.4%; Average loss: 3.3222
Iteration: 1138; Percent complete: 28.4%; Average loss: 3.6043
Iteration: 1139; Percent complete: 28.5%; Average loss: 3.3969
Iteration: 1140; Percent complete: 28.5%; Average loss: 3.5752
Iteration: 1141; Percent complete: 28.5%; Average loss: 3.2551
Iteration: 1142; Percent complete: 28.5%; Average loss: 3.3621
Iteration: 1143; Percent complete: 28.6%; Average loss: 3.3431
Iteration: 1144; Percent complete: 28.6%; Average loss: 3.3003
Iteration: 1145; Percent complete: 28.6%; Average loss: 3.4761
Iteration: 1146; Percent complete: 28.6%; Average loss: 3.4432
Iteration: 1147; Percent complete: 28.7%; Average loss: 3.4653
Iteration: 1148; Percent complete: 28.7%; Average loss: 3.4910
Iteration: 1149; Percent complete: 28.7%; Average loss: 3.4969
Iteration: 1150; Percent complete: 28.7%; Average loss: 3.3582
Iteration: 1151; Percent complete: 28.8%; Average loss: 3.4645
Iteration: 1152; Percent complete: 28.8%; Average loss: 3.3287
Iteration: 1153; Percent complete: 28.8%; Average loss: 3.3418
Iteration: 1154; Percent complete: 28.8%; Average loss: 3.2659
Iteration: 1155; Percent complete: 28.9%; Average loss: 3.7823
Iteration: 1156; Percent complete: 28.9%; Average loss: 3.6233
Iteration: 1157; Percent complete: 28.9%; Average loss: 3.2889
Iteration: 1158; Percent complete: 28.9%; Average loss: 3.2973
Iteration: 1159; Percent complete: 29.0%; Average loss: 3.3547
Iteration: 1160; Percent complete: 29.0%; Average loss: 3.2288
Iteration: 1161; Percent complete: 29.0%; Average loss: 3.4449
Iteration: 1162; Percent complete: 29.0%; Average loss: 3.5786
Iteration: 1163; Percent complete: 29.1%; Average loss: 3.1266
Iteration: 1164; Percent complete: 29.1%; Average loss: 3.5209
Iteration: 1165; Percent complete: 29.1%; Average loss: 3.2312
Iteration: 1166; Percent complete: 29.1%; Average loss: 3.1394
Iteration: 1167; Percent complete: 29.2%; Average loss: 3.4761
Iteration: 1168; Percent complete: 29.2%; Average loss: 3.2106
Iteration: 1169; Percent complete: 29.2%; Average loss: 3.3562
Iteration: 1170; Percent complete: 29.2%; Average loss: 3.4060
Iteration: 1171; Percent complete: 29.3%; Average loss: 3.4253
Iteration: 1172; Percent complete: 29.3%; Average loss: 3.2827
Iteration: 1173; Percent complete: 29.3%; Average loss: 3.3663
Iteration: 1174; Percent complete: 29.3%; Average loss: 3.5493
Iteration: 1175; Percent complete: 29.4%; Average loss: 3.4971
Iteration: 1176; Percent complete: 29.4%; Average loss: 3.5026
Iteration: 1177; Percent complete: 29.4%; Average loss: 3.3594
Iteration: 1178; Percent complete: 29.4%; Average loss: 3.5396
Iteration: 1179; Percent complete: 29.5%; Average loss: 3.2664
Iteration: 1180; Percent complete: 29.5%; Average loss: 3.4483
Iteration: 1181; Percent complete: 29.5%; Average loss: 3.3139
Iteration: 1182; Percent complete: 29.5%; Average loss: 3.6331
Iteration: 1183; Percent complete: 29.6%; Average loss: 3.4610
Iteration: 1184; Percent complete: 29.6%; Average loss: 3.4615
Iteration: 1185; Percent complete: 29.6%; Average loss: 3.3712
Iteration: 1186; Percent complete: 29.6%; Average loss: 3.4840
Iteration: 1187; Percent complete: 29.7%; Average loss: 3.5363
Iteration: 1188; Percent complete: 29.7%; Average loss: 3.5660
Iteration: 1189; Percent complete: 29.7%; Average loss: 3.3316
Iteration: 1190; Percent complete: 29.8%; Average loss: 3.3292
Iteration: 1191; Percent complete: 29.8%; Average loss: 3.4748
Iteration: 1192; Percent complete: 29.8%; Average loss: 3.3144
Iteration: 1193; Percent complete: 29.8%; Average loss: 3.2561
Iteration: 1194; Percent complete: 29.8%; Average loss: 3.4997
Iteration: 1195; Percent complete: 29.9%; Average loss: 3.4474
Iteration: 1196; Percent complete: 29.9%; Average loss: 3.2443
Iteration: 1197; Percent complete: 29.9%; Average loss: 3.3637
Iteration: 1198; Percent complete: 29.9%; Average loss: 3.2812
Iteration: 1199; Percent complete: 30.0%; Average loss: 3.5447
Iteration: 1200; Percent complete: 30.0%; Average loss: 3.4042
Iteration: 1201; Percent complete: 30.0%; Average loss: 3.3102
Iteration: 1202; Percent complete: 30.0%; Average loss: 3.4458
Iteration: 1203; Percent complete: 30.1%; Average loss: 3.1730
Iteration: 1204; Percent complete: 30.1%; Average loss: 3.3631
Iteration: 1205; Percent complete: 30.1%; Average loss: 3.4297
Iteration: 1206; Percent complete: 30.1%; Average loss: 3.4587
Iteration: 1207; Percent complete: 30.2%; Average loss: 3.3789
Iteration: 1208; Percent complete: 30.2%; Average loss: 3.2951
Iteration: 1209; Percent complete: 30.2%; Average loss: 3.3078
Iteration: 1210; Percent complete: 30.2%; Average loss: 3.4231
Iteration: 1211; Percent complete: 30.3%; Average loss: 3.2510
Iteration: 1212; Percent complete: 30.3%; Average loss: 3.3919
Iteration: 1213; Percent complete: 30.3%; Average loss: 3.5494
Iteration: 1214; Percent complete: 30.3%; Average loss: 3.4083
Iteration: 1215; Percent complete: 30.4%; Average loss: 3.3651
Iteration: 1216; Percent complete: 30.4%; Average loss: 3.4136
Iteration: 1217; Percent complete: 30.4%; Average loss: 3.3352
Iteration: 1218; Percent complete: 30.4%; Average loss: 3.4782
Iteration: 1219; Percent complete: 30.5%; Average loss: 3.6377
Iteration: 1220; Percent complete: 30.5%; Average loss: 3.5103
Iteration: 1221; Percent complete: 30.5%; Average loss: 3.5621
Iteration: 1222; Percent complete: 30.6%; Average loss: 3.5374
Iteration: 1223; Percent complete: 30.6%; Average loss: 3.4201
Iteration: 1224; Percent complete: 30.6%; Average loss: 3.4029
Iteration: 1225; Percent complete: 30.6%; Average loss: 3.5233
Iteration: 1226; Percent complete: 30.6%; Average loss: 3.1010
Iteration: 1227; Percent complete: 30.7%; Average loss: 3.4136
Iteration: 1228; Percent complete: 30.7%; Average loss: 3.6588
Iteration: 1229; Percent complete: 30.7%; Average loss: 3.4487
Iteration: 1230; Percent complete: 30.8%; Average loss: 3.5347
Iteration: 1231; Percent complete: 30.8%; Average loss: 3.4424
Iteration: 1232; Percent complete: 30.8%; Average loss: 3.6242
Iteration: 1233; Percent complete: 30.8%; Average loss: 3.2236
Iteration: 1234; Percent complete: 30.9%; Average loss: 3.4202
Iteration: 1235; Percent complete: 30.9%; Average loss: 3.1340
Iteration: 1236; Percent complete: 30.9%; Average loss: 3.2954
Iteration: 1237; Percent complete: 30.9%; Average loss: 3.3178
Iteration: 1238; Percent complete: 30.9%; Average loss: 3.4235
Iteration: 1239; Percent complete: 31.0%; Average loss: 3.2522
Iteration: 1240; Percent complete: 31.0%; Average loss: 3.2883
Iteration: 1241; Percent complete: 31.0%; Average loss: 3.2926
Iteration: 1242; Percent complete: 31.1%; Average loss: 3.1341
Iteration: 1243; Percent complete: 31.1%; Average loss: 3.2365
Iteration: 1244; Percent complete: 31.1%; Average loss: 3.5111
Iteration: 1245; Percent complete: 31.1%; Average loss: 3.5200
Iteration: 1246; Percent complete: 31.1%; Average loss: 3.4438
Iteration: 1247; Percent complete: 31.2%; Average loss: 3.3490
Iteration: 1248; Percent complete: 31.2%; Average loss: 3.0881
Iteration: 1249; Percent complete: 31.2%; Average loss: 3.3902
Iteration: 1250; Percent complete: 31.2%; Average loss: 3.4623
Iteration: 1251; Percent complete: 31.3%; Average loss: 3.4443
Iteration: 1252; Percent complete: 31.3%; Average loss: 3.2702
Iteration: 1253; Percent complete: 31.3%; Average loss: 3.5749
Iteration: 1254; Percent complete: 31.4%; Average loss: 3.3436
Iteration: 1255; Percent complete: 31.4%; Average loss: 3.2672
Iteration: 1256; Percent complete: 31.4%; Average loss: 3.1903
Iteration: 1257; Percent complete: 31.4%; Average loss: 3.3649
Iteration: 1258; Percent complete: 31.4%; Average loss: 3.3916
Iteration: 1259; Percent complete: 31.5%; Average loss: 3.4329
Iteration: 1260; Percent complete: 31.5%; Average loss: 3.3816
Iteration: 1261; Percent complete: 31.5%; Average loss: 3.3220
Iteration: 1262; Percent complete: 31.6%; Average loss: 3.3508
Iteration: 1263; Percent complete: 31.6%; Average loss: 3.6235
Iteration: 1264; Percent complete: 31.6%; Average loss: 3.5646
Iteration: 1265; Percent complete: 31.6%; Average loss: 3.4448
Iteration: 1266; Percent complete: 31.6%; Average loss: 3.3405
Iteration: 1267; Percent complete: 31.7%; Average loss: 3.6180
Iteration: 1268; Percent complete: 31.7%; Average loss: 3.4141
Iteration: 1269; Percent complete: 31.7%; Average loss: 3.0536
Iteration: 1270; Percent complete: 31.8%; Average loss: 3.4371
Iteration: 1271; Percent complete: 31.8%; Average loss: 3.2867
Iteration: 1272; Percent complete: 31.8%; Average loss: 3.2643
Iteration: 1273; Percent complete: 31.8%; Average loss: 3.2794
Iteration: 1274; Percent complete: 31.9%; Average loss: 3.3471
Iteration: 1275; Percent complete: 31.9%; Average loss: 3.2870
Iteration: 1276; Percent complete: 31.9%; Average loss: 3.6311
Iteration: 1277; Percent complete: 31.9%; Average loss: 3.4298
Iteration: 1278; Percent complete: 31.9%; Average loss: 3.1137
Iteration: 1279; Percent complete: 32.0%; Average loss: 3.2463
Iteration: 1280; Percent complete: 32.0%; Average loss: 3.3473
Iteration: 1281; Percent complete: 32.0%; Average loss: 3.5757
Iteration: 1282; Percent complete: 32.0%; Average loss: 3.3009
Iteration: 1283; Percent complete: 32.1%; Average loss: 3.4609
Iteration: 1284; Percent complete: 32.1%; Average loss: 3.2269
Iteration: 1285; Percent complete: 32.1%; Average loss: 3.4537
Iteration: 1286; Percent complete: 32.1%; Average loss: 3.1920
Iteration: 1287; Percent complete: 32.2%; Average loss: 3.2475
Iteration: 1288; Percent complete: 32.2%; Average loss: 3.3861
Iteration: 1289; Percent complete: 32.2%; Average loss: 3.5728
Iteration: 1290; Percent complete: 32.2%; Average loss: 3.5133
Iteration: 1291; Percent complete: 32.3%; Average loss: 3.1954
Iteration: 1292; Percent complete: 32.3%; Average loss: 3.2839
Iteration: 1293; Percent complete: 32.3%; Average loss: 3.5966
Iteration: 1294; Percent complete: 32.4%; Average loss: 3.4077
Iteration: 1295; Percent complete: 32.4%; Average loss: 3.4444
Iteration: 1296; Percent complete: 32.4%; Average loss: 3.2153
Iteration: 1297; Percent complete: 32.4%; Average loss: 3.2669
Iteration: 1298; Percent complete: 32.5%; Average loss: 3.1450
Iteration: 1299; Percent complete: 32.5%; Average loss: 3.4984
Iteration: 1300; Percent complete: 32.5%; Average loss: 3.5174
Iteration: 1301; Percent complete: 32.5%; Average loss: 3.1916
Iteration: 1302; Percent complete: 32.6%; Average loss: 3.5584
Iteration: 1303; Percent complete: 32.6%; Average loss: 3.3016
Iteration: 1304; Percent complete: 32.6%; Average loss: 3.2076
Iteration: 1305; Percent complete: 32.6%; Average loss: 3.2261
Iteration: 1306; Percent complete: 32.6%; Average loss: 3.3868
Iteration: 1307; Percent complete: 32.7%; Average loss: 3.3665
Iteration: 1308; Percent complete: 32.7%; Average loss: 3.5000
Iteration: 1309; Percent complete: 32.7%; Average loss: 3.3527
Iteration: 1310; Percent complete: 32.8%; Average loss: 3.3917
Iteration: 1311; Percent complete: 32.8%; Average loss: 3.3621
Iteration: 1312; Percent complete: 32.8%; Average loss: 3.4438
Iteration: 1313; Percent complete: 32.8%; Average loss: 3.4126
Iteration: 1314; Percent complete: 32.9%; Average loss: 3.3383
Iteration: 1315; Percent complete: 32.9%; Average loss: 3.3206
Iteration: 1316; Percent complete: 32.9%; Average loss: 3.3978
Iteration: 1317; Percent complete: 32.9%; Average loss: 3.3050
Iteration: 1318; Percent complete: 33.0%; Average loss: 3.5145
Iteration: 1319; Percent complete: 33.0%; Average loss: 3.2244
Iteration: 1320; Percent complete: 33.0%; Average loss: 3.1658
Iteration: 1321; Percent complete: 33.0%; Average loss: 3.5277
Iteration: 1322; Percent complete: 33.1%; Average loss: 3.2262
Iteration: 1323; Percent complete: 33.1%; Average loss: 3.4768
Iteration: 1324; Percent complete: 33.1%; Average loss: 3.2130
Iteration: 1325; Percent complete: 33.1%; Average loss: 3.3505
Iteration: 1326; Percent complete: 33.1%; Average loss: 3.2013
Iteration: 1327; Percent complete: 33.2%; Average loss: 3.5147
Iteration: 1328; Percent complete: 33.2%; Average loss: 3.3285
Iteration: 1329; Percent complete: 33.2%; Average loss: 3.1924
Iteration: 1330; Percent complete: 33.2%; Average loss: 3.5070
Iteration: 1331; Percent complete: 33.3%; Average loss: 3.1397
Iteration: 1332; Percent complete: 33.3%; Average loss: 3.4465
Iteration: 1333; Percent complete: 33.3%; Average loss: 3.1930
Iteration: 1334; Percent complete: 33.4%; Average loss: 3.2026
Iteration: 1335; Percent complete: 33.4%; Average loss: 3.1656
Iteration: 1336; Percent complete: 33.4%; Average loss: 3.5340
Iteration: 1337; Percent complete: 33.4%; Average loss: 3.5150
Iteration: 1338; Percent complete: 33.5%; Average loss: 3.1321
Iteration: 1339; Percent complete: 33.5%; Average loss: 3.4514
Iteration: 1340; Percent complete: 33.5%; Average loss: 3.5808
Iteration: 1341; Percent complete: 33.5%; Average loss: 3.1724
Iteration: 1342; Percent complete: 33.6%; Average loss: 3.2119
Iteration: 1343; Percent complete: 33.6%; Average loss: 3.4755
Iteration: 1344; Percent complete: 33.6%; Average loss: 3.3134
Iteration: 1345; Percent complete: 33.6%; Average loss: 3.3579
Iteration: 1346; Percent complete: 33.7%; Average loss: 3.2985
Iteration: 1347; Percent complete: 33.7%; Average loss: 3.5627
Iteration: 1348; Percent complete: 33.7%; Average loss: 3.1521
Iteration: 1349; Percent complete: 33.7%; Average loss: 3.2956
Iteration: 1350; Percent complete: 33.8%; Average loss: 3.3594
Iteration: 1351; Percent complete: 33.8%; Average loss: 3.3412
Iteration: 1352; Percent complete: 33.8%; Average loss: 3.4526
Iteration: 1353; Percent complete: 33.8%; Average loss: 3.2795
Iteration: 1354; Percent complete: 33.9%; Average loss: 3.5470
Iteration: 1355; Percent complete: 33.9%; Average loss: 3.2817
Iteration: 1356; Percent complete: 33.9%; Average loss: 3.4137
Iteration: 1357; Percent complete: 33.9%; Average loss: 3.3804
Iteration: 1358; Percent complete: 34.0%; Average loss: 3.2684
Iteration: 1359; Percent complete: 34.0%; Average loss: 3.5646
Iteration: 1360; Percent complete: 34.0%; Average loss: 3.5671
Iteration: 1361; Percent complete: 34.0%; Average loss: 3.6543
Iteration: 1362; Percent complete: 34.1%; Average loss: 3.5197
Iteration: 1363; Percent complete: 34.1%; Average loss: 3.2279
Iteration: 1364; Percent complete: 34.1%; Average loss: 3.2625
Iteration: 1365; Percent complete: 34.1%; Average loss: 3.2475
Iteration: 1366; Percent complete: 34.2%; Average loss: 3.2388
Iteration: 1367; Percent complete: 34.2%; Average loss: 3.3916
Iteration: 1368; Percent complete: 34.2%; Average loss: 3.3039
Iteration: 1369; Percent complete: 34.2%; Average loss: 3.4373
Iteration: 1370; Percent complete: 34.2%; Average loss: 3.2543
Iteration: 1371; Percent complete: 34.3%; Average loss: 3.5341
Iteration: 1372; Percent complete: 34.3%; Average loss: 3.2499
Iteration: 1373; Percent complete: 34.3%; Average loss: 3.4374
Iteration: 1374; Percent complete: 34.4%; Average loss: 3.4662
Iteration: 1375; Percent complete: 34.4%; Average loss: 3.3502
Iteration: 1376; Percent complete: 34.4%; Average loss: 3.3677
Iteration: 1377; Percent complete: 34.4%; Average loss: 3.5250
Iteration: 1378; Percent complete: 34.4%; Average loss: 3.1610
Iteration: 1379; Percent complete: 34.5%; Average loss: 3.2717
Iteration: 1380; Percent complete: 34.5%; Average loss: 3.0106
Iteration: 1381; Percent complete: 34.5%; Average loss: 3.2559
Iteration: 1382; Percent complete: 34.5%; Average loss: 3.5549
Iteration: 1383; Percent complete: 34.6%; Average loss: 3.1996
Iteration: 1384; Percent complete: 34.6%; Average loss: 3.4043
Iteration: 1385; Percent complete: 34.6%; Average loss: 3.2919
Iteration: 1386; Percent complete: 34.6%; Average loss: 3.3758
Iteration: 1387; Percent complete: 34.7%; Average loss: 3.2356
Iteration: 1388; Percent complete: 34.7%; Average loss: 3.1808
Iteration: 1389; Percent complete: 34.7%; Average loss: 3.3296
Iteration: 1390; Percent complete: 34.8%; Average loss: 3.2483
Iteration: 1391; Percent complete: 34.8%; Average loss: 3.2337
Iteration: 1392; Percent complete: 34.8%; Average loss: 3.4270
Iteration: 1393; Percent complete: 34.8%; Average loss: 3.1773
Iteration: 1394; Percent complete: 34.8%; Average loss: 3.3656
Iteration: 1395; Percent complete: 34.9%; Average loss: 3.3311
Iteration: 1396; Percent complete: 34.9%; Average loss: 3.5190
Iteration: 1397; Percent complete: 34.9%; Average loss: 3.1861
Iteration: 1398; Percent complete: 34.9%; Average loss: 3.4230
Iteration: 1399; Percent complete: 35.0%; Average loss: 3.3506
Iteration: 1400; Percent complete: 35.0%; Average loss: 3.4680
Iteration: 1401; Percent complete: 35.0%; Average loss: 3.4227
Iteration: 1402; Percent complete: 35.0%; Average loss: 3.3100
Iteration: 1403; Percent complete: 35.1%; Average loss: 3.3837
Iteration: 1404; Percent complete: 35.1%; Average loss: 3.2748
Iteration: 1405; Percent complete: 35.1%; Average loss: 3.3342
Iteration: 1406; Percent complete: 35.1%; Average loss: 3.4972
Iteration: 1407; Percent complete: 35.2%; Average loss: 3.0193
Iteration: 1408; Percent complete: 35.2%; Average loss: 3.2473
Iteration: 1409; Percent complete: 35.2%; Average loss: 3.3860
Iteration: 1410; Percent complete: 35.2%; Average loss: 3.4241
Iteration: 1411; Percent complete: 35.3%; Average loss: 3.3477
Iteration: 1412; Percent complete: 35.3%; Average loss: 3.5675
Iteration: 1413; Percent complete: 35.3%; Average loss: 3.2382
Iteration: 1414; Percent complete: 35.4%; Average loss: 3.2168
Iteration: 1415; Percent complete: 35.4%; Average loss: 3.2503
Iteration: 1416; Percent complete: 35.4%; Average loss: 3.2203
Iteration: 1417; Percent complete: 35.4%; Average loss: 3.3932
Iteration: 1418; Percent complete: 35.4%; Average loss: 3.3903
Iteration: 1419; Percent complete: 35.5%; Average loss: 3.3233
Iteration: 1420; Percent complete: 35.5%; Average loss: 3.7191
Iteration: 1421; Percent complete: 35.5%; Average loss: 3.3589
Iteration: 1422; Percent complete: 35.5%; Average loss: 3.6193
Iteration: 1423; Percent complete: 35.6%; Average loss: 3.1557
Iteration: 1424; Percent complete: 35.6%; Average loss: 3.0208
Iteration: 1425; Percent complete: 35.6%; Average loss: 3.0874
Iteration: 1426; Percent complete: 35.6%; Average loss: 3.3073
Iteration: 1427; Percent complete: 35.7%; Average loss: 3.3924
Iteration: 1428; Percent complete: 35.7%; Average loss: 3.2679
Iteration: 1429; Percent complete: 35.7%; Average loss: 3.3578
Iteration: 1430; Percent complete: 35.8%; Average loss: 3.5474
Iteration: 1431; Percent complete: 35.8%; Average loss: 3.3161
Iteration: 1432; Percent complete: 35.8%; Average loss: 3.2579
Iteration: 1433; Percent complete: 35.8%; Average loss: 2.9627
Iteration: 1434; Percent complete: 35.9%; Average loss: 3.3317
Iteration: 1435; Percent complete: 35.9%; Average loss: 3.0246
Iteration: 1436; Percent complete: 35.9%; Average loss: 3.4372
Iteration: 1437; Percent complete: 35.9%; Average loss: 3.3031
Iteration: 1438; Percent complete: 35.9%; Average loss: 3.2479
Iteration: 1439; Percent complete: 36.0%; Average loss: 3.1432
Iteration: 1440; Percent complete: 36.0%; Average loss: 3.5376
Iteration: 1441; Percent complete: 36.0%; Average loss: 3.3626
Iteration: 1442; Percent complete: 36.0%; Average loss: 3.2520
Iteration: 1443; Percent complete: 36.1%; Average loss: 3.3346
Iteration: 1444; Percent complete: 36.1%; Average loss: 3.2789
Iteration: 1445; Percent complete: 36.1%; Average loss: 3.2596
Iteration: 1446; Percent complete: 36.1%; Average loss: 3.3726
Iteration: 1447; Percent complete: 36.2%; Average loss: 3.3688
Iteration: 1448; Percent complete: 36.2%; Average loss: 3.4153
Iteration: 1449; Percent complete: 36.2%; Average loss: 3.4420
Iteration: 1450; Percent complete: 36.2%; Average loss: 3.2615
Iteration: 1451; Percent complete: 36.3%; Average loss: 3.0255
Iteration: 1452; Percent complete: 36.3%; Average loss: 3.2559
Iteration: 1453; Percent complete: 36.3%; Average loss: 3.4752
Iteration: 1454; Percent complete: 36.4%; Average loss: 3.4487
Iteration: 1455; Percent complete: 36.4%; Average loss: 3.3870
Iteration: 1456; Percent complete: 36.4%; Average loss: 3.3290
Iteration: 1457; Percent complete: 36.4%; Average loss: 3.2929
Iteration: 1458; Percent complete: 36.4%; Average loss: 3.5319
Iteration: 1459; Percent complete: 36.5%; Average loss: 3.3286
Iteration: 1460; Percent complete: 36.5%; Average loss: 3.2623
Iteration: 1461; Percent complete: 36.5%; Average loss: 3.4886
Iteration: 1462; Percent complete: 36.5%; Average loss: 3.2865
Iteration: 1463; Percent complete: 36.6%; Average loss: 3.2563
Iteration: 1464; Percent complete: 36.6%; Average loss: 3.4365
Iteration: 1465; Percent complete: 36.6%; Average loss: 3.5981
Iteration: 1466; Percent complete: 36.6%; Average loss: 3.3803
Iteration: 1467; Percent complete: 36.7%; Average loss: 3.2829
Iteration: 1468; Percent complete: 36.7%; Average loss: 3.6109
Iteration: 1469; Percent complete: 36.7%; Average loss: 3.2142
Iteration: 1470; Percent complete: 36.8%; Average loss: 3.0166
Iteration: 1471; Percent complete: 36.8%; Average loss: 3.2491
Iteration: 1472; Percent complete: 36.8%; Average loss: 3.2046
Iteration: 1473; Percent complete: 36.8%; Average loss: 3.2518
Iteration: 1474; Percent complete: 36.9%; Average loss: 3.5197
Iteration: 1475; Percent complete: 36.9%; Average loss: 3.1387
Iteration: 1476; Percent complete: 36.9%; Average loss: 3.1606
Iteration: 1477; Percent complete: 36.9%; Average loss: 3.2031
Iteration: 1478; Percent complete: 37.0%; Average loss: 3.3662
Iteration: 1479; Percent complete: 37.0%; Average loss: 3.3108
Iteration: 1480; Percent complete: 37.0%; Average loss: 3.4438
Iteration: 1481; Percent complete: 37.0%; Average loss: 3.2334
Iteration: 1482; Percent complete: 37.0%; Average loss: 3.2619
Iteration: 1483; Percent complete: 37.1%; Average loss: 3.3708
Iteration: 1484; Percent complete: 37.1%; Average loss: 3.4062
Iteration: 1485; Percent complete: 37.1%; Average loss: 3.1818
Iteration: 1486; Percent complete: 37.1%; Average loss: 3.3299
Iteration: 1487; Percent complete: 37.2%; Average loss: 3.3121
Iteration: 1488; Percent complete: 37.2%; Average loss: 3.1021
Iteration: 1489; Percent complete: 37.2%; Average loss: 3.2727
Iteration: 1490; Percent complete: 37.2%; Average loss: 3.1428
Iteration: 1491; Percent complete: 37.3%; Average loss: 3.3239
Iteration: 1492; Percent complete: 37.3%; Average loss: 3.4476
Iteration: 1493; Percent complete: 37.3%; Average loss: 3.3748
Iteration: 1494; Percent complete: 37.4%; Average loss: 3.2017
Iteration: 1495; Percent complete: 37.4%; Average loss: 3.3354
Iteration: 1496; Percent complete: 37.4%; Average loss: 3.5016
Iteration: 1497; Percent complete: 37.4%; Average loss: 3.4051
Iteration: 1498; Percent complete: 37.5%; Average loss: 3.3328
Iteration: 1499; Percent complete: 37.5%; Average loss: 3.0798
Iteration: 1500; Percent complete: 37.5%; Average loss: 3.3165
Iteration: 1501; Percent complete: 37.5%; Average loss: 3.0743
Iteration: 1502; Percent complete: 37.5%; Average loss: 3.1832
Iteration: 1503; Percent complete: 37.6%; Average loss: 3.4914
Iteration: 1504; Percent complete: 37.6%; Average loss: 3.0577
Iteration: 1505; Percent complete: 37.6%; Average loss: 3.1649
Iteration: 1506; Percent complete: 37.6%; Average loss: 3.3535
Iteration: 1507; Percent complete: 37.7%; Average loss: 3.3401
Iteration: 1508; Percent complete: 37.7%; Average loss: 3.2419
Iteration: 1509; Percent complete: 37.7%; Average loss: 3.2654
Iteration: 1510; Percent complete: 37.8%; Average loss: 3.3568
Iteration: 1511; Percent complete: 37.8%; Average loss: 3.2831
Iteration: 1512; Percent complete: 37.8%; Average loss: 3.3009
Iteration: 1513; Percent complete: 37.8%; Average loss: 3.1880
Iteration: 1514; Percent complete: 37.9%; Average loss: 3.2036
Iteration: 1515; Percent complete: 37.9%; Average loss: 3.2987
Iteration: 1516; Percent complete: 37.9%; Average loss: 3.2067
Iteration: 1517; Percent complete: 37.9%; Average loss: 3.3165
Iteration: 1518; Percent complete: 38.0%; Average loss: 3.4533
Iteration: 1519; Percent complete: 38.0%; Average loss: 3.2960
Iteration: 1520; Percent complete: 38.0%; Average loss: 3.2680
Iteration: 1521; Percent complete: 38.0%; Average loss: 3.3016
Iteration: 1522; Percent complete: 38.0%; Average loss: 3.2757
Iteration: 1523; Percent complete: 38.1%; Average loss: 3.2940
Iteration: 1524; Percent complete: 38.1%; Average loss: 3.5282
Iteration: 1525; Percent complete: 38.1%; Average loss: 3.3201
Iteration: 1526; Percent complete: 38.1%; Average loss: 3.3952
Iteration: 1527; Percent complete: 38.2%; Average loss: 3.3678
Iteration: 1528; Percent complete: 38.2%; Average loss: 3.5196
Iteration: 1529; Percent complete: 38.2%; Average loss: 3.2851
Iteration: 1530; Percent complete: 38.2%; Average loss: 3.3168
Iteration: 1531; Percent complete: 38.3%; Average loss: 3.3660
Iteration: 1532; Percent complete: 38.3%; Average loss: 3.3564
Iteration: 1533; Percent complete: 38.3%; Average loss: 3.3545
Iteration: 1534; Percent complete: 38.4%; Average loss: 3.1944
Iteration: 1535; Percent complete: 38.4%; Average loss: 3.0027
Iteration: 1536; Percent complete: 38.4%; Average loss: 3.4076
Iteration: 1537; Percent complete: 38.4%; Average loss: 3.4281
Iteration: 1538; Percent complete: 38.5%; Average loss: 3.1651
Iteration: 1539; Percent complete: 38.5%; Average loss: 3.4340
Iteration: 1540; Percent complete: 38.5%; Average loss: 3.3500
Iteration: 1541; Percent complete: 38.5%; Average loss: 3.3524
Iteration: 1542; Percent complete: 38.6%; Average loss: 3.2490
Iteration: 1543; Percent complete: 38.6%; Average loss: 3.1161
Iteration: 1544; Percent complete: 38.6%; Average loss: 3.3727
Iteration: 1545; Percent complete: 38.6%; Average loss: 3.2890
Iteration: 1546; Percent complete: 38.6%; Average loss: 3.1435
Iteration: 1547; Percent complete: 38.7%; Average loss: 3.3042
Iteration: 1548; Percent complete: 38.7%; Average loss: 3.4189
Iteration: 1549; Percent complete: 38.7%; Average loss: 3.0039
Iteration: 1550; Percent complete: 38.8%; Average loss: 3.2139
Iteration: 1551; Percent complete: 38.8%; Average loss: 3.0648
Iteration: 1552; Percent complete: 38.8%; Average loss: 3.3684
Iteration: 1553; Percent complete: 38.8%; Average loss: 3.0706
Iteration: 1554; Percent complete: 38.9%; Average loss: 3.4334
Iteration: 1555; Percent complete: 38.9%; Average loss: 3.2318
Iteration: 1556; Percent complete: 38.9%; Average loss: 3.1030
Iteration: 1557; Percent complete: 38.9%; Average loss: 3.2304
Iteration: 1558; Percent complete: 39.0%; Average loss: 3.3557
Iteration: 1559; Percent complete: 39.0%; Average loss: 3.4865
Iteration: 1560; Percent complete: 39.0%; Average loss: 2.9539
Iteration: 1561; Percent complete: 39.0%; Average loss: 3.6290
Iteration: 1562; Percent complete: 39.1%; Average loss: 3.3375
Iteration: 1563; Percent complete: 39.1%; Average loss: 3.2544
Iteration: 1564; Percent complete: 39.1%; Average loss: 3.5080
Iteration: 1565; Percent complete: 39.1%; Average loss: 3.3370
Iteration: 1566; Percent complete: 39.1%; Average loss: 3.3002
Iteration: 1567; Percent complete: 39.2%; Average loss: 3.0702
Iteration: 1568; Percent complete: 39.2%; Average loss: 3.1675
Iteration: 1569; Percent complete: 39.2%; Average loss: 3.2469
Iteration: 1570; Percent complete: 39.2%; Average loss: 3.1403
Iteration: 1571; Percent complete: 39.3%; Average loss: 3.0269
Iteration: 1572; Percent complete: 39.3%; Average loss: 3.2292
Iteration: 1573; Percent complete: 39.3%; Average loss: 3.4451
Iteration: 1574; Percent complete: 39.4%; Average loss: 3.1802
Iteration: 1575; Percent complete: 39.4%; Average loss: 3.5563
Iteration: 1576; Percent complete: 39.4%; Average loss: 3.2436
Iteration: 1577; Percent complete: 39.4%; Average loss: 3.2632
Iteration: 1578; Percent complete: 39.5%; Average loss: 3.1034
Iteration: 1579; Percent complete: 39.5%; Average loss: 3.3121
Iteration: 1580; Percent complete: 39.5%; Average loss: 3.0673
Iteration: 1581; Percent complete: 39.5%; Average loss: 3.1875
Iteration: 1582; Percent complete: 39.6%; Average loss: 3.2835
Iteration: 1583; Percent complete: 39.6%; Average loss: 3.4282
Iteration: 1584; Percent complete: 39.6%; Average loss: 2.9910
Iteration: 1585; Percent complete: 39.6%; Average loss: 3.4309
Iteration: 1586; Percent complete: 39.6%; Average loss: 3.1066
Iteration: 1587; Percent complete: 39.7%; Average loss: 3.2993
Iteration: 1588; Percent complete: 39.7%; Average loss: 3.3514
Iteration: 1589; Percent complete: 39.7%; Average loss: 3.4077
Iteration: 1590; Percent complete: 39.8%; Average loss: 3.1817
Iteration: 1591; Percent complete: 39.8%; Average loss: 3.2474
Iteration: 1592; Percent complete: 39.8%; Average loss: 3.3400
Iteration: 1593; Percent complete: 39.8%; Average loss: 3.3373
Iteration: 1594; Percent complete: 39.9%; Average loss: 3.2101
Iteration: 1595; Percent complete: 39.9%; Average loss: 3.5646
Iteration: 1596; Percent complete: 39.9%; Average loss: 3.2505
Iteration: 1597; Percent complete: 39.9%; Average loss: 3.4564
Iteration: 1598; Percent complete: 40.0%; Average loss: 3.3558
Iteration: 1599; Percent complete: 40.0%; Average loss: 2.9283
Iteration: 1600; Percent complete: 40.0%; Average loss: 3.0947
Iteration: 1601; Percent complete: 40.0%; Average loss: 3.1535
Iteration: 1602; Percent complete: 40.1%; Average loss: 3.3541
Iteration: 1603; Percent complete: 40.1%; Average loss: 3.1913
Iteration: 1604; Percent complete: 40.1%; Average loss: 3.2408
Iteration: 1605; Percent complete: 40.1%; Average loss: 3.3414
Iteration: 1606; Percent complete: 40.2%; Average loss: 3.3109
Iteration: 1607; Percent complete: 40.2%; Average loss: 3.2786
Iteration: 1608; Percent complete: 40.2%; Average loss: 3.1878
Iteration: 1609; Percent complete: 40.2%; Average loss: 3.5846
Iteration: 1610; Percent complete: 40.2%; Average loss: 3.1155
Iteration: 1611; Percent complete: 40.3%; Average loss: 3.2844
Iteration: 1612; Percent complete: 40.3%; Average loss: 3.0849
Iteration: 1613; Percent complete: 40.3%; Average loss: 3.0900
Iteration: 1614; Percent complete: 40.4%; Average loss: 2.9753
Iteration: 1615; Percent complete: 40.4%; Average loss: 3.0386
Iteration: 1616; Percent complete: 40.4%; Average loss: 3.3975
Iteration: 1617; Percent complete: 40.4%; Average loss: 3.1437
Iteration: 1618; Percent complete: 40.5%; Average loss: 3.2995
Iteration: 1619; Percent complete: 40.5%; Average loss: 3.5100
Iteration: 1620; Percent complete: 40.5%; Average loss: 3.1214
Iteration: 1621; Percent complete: 40.5%; Average loss: 3.4944
Iteration: 1622; Percent complete: 40.6%; Average loss: 3.3305
Iteration: 1623; Percent complete: 40.6%; Average loss: 3.3771
Iteration: 1624; Percent complete: 40.6%; Average loss: 3.3578
Iteration: 1625; Percent complete: 40.6%; Average loss: 3.3932
Iteration: 1626; Percent complete: 40.6%; Average loss: 2.9489
Iteration: 1627; Percent complete: 40.7%; Average loss: 3.2369
Iteration: 1628; Percent complete: 40.7%; Average loss: 3.1843
Iteration: 1629; Percent complete: 40.7%; Average loss: 3.3782
Iteration: 1630; Percent complete: 40.8%; Average loss: 3.3980
Iteration: 1631; Percent complete: 40.8%; Average loss: 3.2010
Iteration: 1632; Percent complete: 40.8%; Average loss: 3.2511
Iteration: 1633; Percent complete: 40.8%; Average loss: 3.5036
Iteration: 1634; Percent complete: 40.8%; Average loss: 3.0670
Iteration: 1635; Percent complete: 40.9%; Average loss: 3.2905
Iteration: 1636; Percent complete: 40.9%; Average loss: 3.5312
Iteration: 1637; Percent complete: 40.9%; Average loss: 3.3182
Iteration: 1638; Percent complete: 40.9%; Average loss: 3.2969
Iteration: 1639; Percent complete: 41.0%; Average loss: 3.2200
Iteration: 1640; Percent complete: 41.0%; Average loss: 3.1949
Iteration: 1641; Percent complete: 41.0%; Average loss: 3.3595
Iteration: 1642; Percent complete: 41.0%; Average loss: 3.1177
Iteration: 1643; Percent complete: 41.1%; Average loss: 3.3917
Iteration: 1644; Percent complete: 41.1%; Average loss: 3.3466
Iteration: 1645; Percent complete: 41.1%; Average loss: 3.3501
Iteration: 1646; Percent complete: 41.1%; Average loss: 3.2671
Iteration: 1647; Percent complete: 41.2%; Average loss: 3.5165
Iteration: 1648; Percent complete: 41.2%; Average loss: 3.2902
Iteration: 1649; Percent complete: 41.2%; Average loss: 3.1787
Iteration: 1650; Percent complete: 41.2%; Average loss: 3.2957
Iteration: 1651; Percent complete: 41.3%; Average loss: 3.1353
Iteration: 1652; Percent complete: 41.3%; Average loss: 3.2381
Iteration: 1653; Percent complete: 41.3%; Average loss: 3.4015
Iteration: 1654; Percent complete: 41.3%; Average loss: 3.5395
Iteration: 1655; Percent complete: 41.4%; Average loss: 2.9604
Iteration: 1656; Percent complete: 41.4%; Average loss: 3.1981
Iteration: 1657; Percent complete: 41.4%; Average loss: 3.3188
Iteration: 1658; Percent complete: 41.4%; Average loss: 3.5157
Iteration: 1659; Percent complete: 41.5%; Average loss: 3.5713
Iteration: 1660; Percent complete: 41.5%; Average loss: 3.1963
Iteration: 1661; Percent complete: 41.5%; Average loss: 3.2396
Iteration: 1662; Percent complete: 41.5%; Average loss: 3.2298
Iteration: 1663; Percent complete: 41.6%; Average loss: 3.4950
Iteration: 1664; Percent complete: 41.6%; Average loss: 3.2380
Iteration: 1665; Percent complete: 41.6%; Average loss: 3.1575
Iteration: 1666; Percent complete: 41.6%; Average loss: 3.1627
Iteration: 1667; Percent complete: 41.7%; Average loss: 3.2371
Iteration: 1668; Percent complete: 41.7%; Average loss: 3.5338
Iteration: 1669; Percent complete: 41.7%; Average loss: 3.2312
Iteration: 1670; Percent complete: 41.8%; Average loss: 3.1826
Iteration: 1671; Percent complete: 41.8%; Average loss: 3.0173
Iteration: 1672; Percent complete: 41.8%; Average loss: 2.9201
Iteration: 1673; Percent complete: 41.8%; Average loss: 3.5171
Iteration: 1674; Percent complete: 41.9%; Average loss: 3.1281
Iteration: 1675; Percent complete: 41.9%; Average loss: 2.9591
Iteration: 1676; Percent complete: 41.9%; Average loss: 3.4221
Iteration: 1677; Percent complete: 41.9%; Average loss: 3.1471
Iteration: 1678; Percent complete: 41.9%; Average loss: 3.5254
Iteration: 1679; Percent complete: 42.0%; Average loss: 3.2173
Iteration: 1680; Percent complete: 42.0%; Average loss: 3.1798
Iteration: 1681; Percent complete: 42.0%; Average loss: 3.3184
Iteration: 1682; Percent complete: 42.0%; Average loss: 3.1751
Iteration: 1683; Percent complete: 42.1%; Average loss: 3.0338
Iteration: 1684; Percent complete: 42.1%; Average loss: 3.4125
Iteration: 1685; Percent complete: 42.1%; Average loss: 3.1871
Iteration: 1686; Percent complete: 42.1%; Average loss: 3.2246
Iteration: 1687; Percent complete: 42.2%; Average loss: 3.2630
Iteration: 1688; Percent complete: 42.2%; Average loss: 3.1184
Iteration: 1689; Percent complete: 42.2%; Average loss: 3.2356
Iteration: 1690; Percent complete: 42.2%; Average loss: 3.3398
Iteration: 1691; Percent complete: 42.3%; Average loss: 3.1414
Iteration: 1692; Percent complete: 42.3%; Average loss: 3.2346
Iteration: 1693; Percent complete: 42.3%; Average loss: 3.4411
Iteration: 1694; Percent complete: 42.4%; Average loss: 3.2775
Iteration: 1695; Percent complete: 42.4%; Average loss: 3.1929
Iteration: 1696; Percent complete: 42.4%; Average loss: 3.2603
Iteration: 1697; Percent complete: 42.4%; Average loss: 3.4065
Iteration: 1698; Percent complete: 42.4%; Average loss: 3.2361
Iteration: 1699; Percent complete: 42.5%; Average loss: 3.2326
Iteration: 1700; Percent complete: 42.5%; Average loss: 3.1884
Iteration: 1701; Percent complete: 42.5%; Average loss: 3.0824
Iteration: 1702; Percent complete: 42.5%; Average loss: 3.2199
Iteration: 1703; Percent complete: 42.6%; Average loss: 3.1061
Iteration: 1704; Percent complete: 42.6%; Average loss: 3.4156
Iteration: 1705; Percent complete: 42.6%; Average loss: 3.0375
Iteration: 1706; Percent complete: 42.6%; Average loss: 3.3294
Iteration: 1707; Percent complete: 42.7%; Average loss: 3.0693
Iteration: 1708; Percent complete: 42.7%; Average loss: 3.1530
Iteration: 1709; Percent complete: 42.7%; Average loss: 3.2073
Iteration: 1710; Percent complete: 42.8%; Average loss: 3.3119
Iteration: 1711; Percent complete: 42.8%; Average loss: 3.4917
Iteration: 1712; Percent complete: 42.8%; Average loss: 3.4361
Iteration: 1713; Percent complete: 42.8%; Average loss: 3.0413
Iteration: 1714; Percent complete: 42.9%; Average loss: 3.3150
Iteration: 1715; Percent complete: 42.9%; Average loss: 3.2952
Iteration: 1716; Percent complete: 42.9%; Average loss: 2.9832
Iteration: 1717; Percent complete: 42.9%; Average loss: 3.2904
Iteration: 1718; Percent complete: 43.0%; Average loss: 3.4848
Iteration: 1719; Percent complete: 43.0%; Average loss: 3.3817
Iteration: 1720; Percent complete: 43.0%; Average loss: 3.3337
Iteration: 1721; Percent complete: 43.0%; Average loss: 3.5072
Iteration: 1722; Percent complete: 43.0%; Average loss: 3.2849
Iteration: 1723; Percent complete: 43.1%; Average loss: 3.0982
Iteration: 1724; Percent complete: 43.1%; Average loss: 3.4043
Iteration: 1725; Percent complete: 43.1%; Average loss: 3.1284
Iteration: 1726; Percent complete: 43.1%; Average loss: 3.3461
Iteration: 1727; Percent complete: 43.2%; Average loss: 3.3498
Iteration: 1728; Percent complete: 43.2%; Average loss: 3.2061
Iteration: 1729; Percent complete: 43.2%; Average loss: 3.4208
Iteration: 1730; Percent complete: 43.2%; Average loss: 3.2519
Iteration: 1731; Percent complete: 43.3%; Average loss: 3.1034
Iteration: 1732; Percent complete: 43.3%; Average loss: 3.2327
Iteration: 1733; Percent complete: 43.3%; Average loss: 3.2147
Iteration: 1734; Percent complete: 43.4%; Average loss: 3.3429
Iteration: 1735; Percent complete: 43.4%; Average loss: 2.8980
Iteration: 1736; Percent complete: 43.4%; Average loss: 3.2816
Iteration: 1737; Percent complete: 43.4%; Average loss: 3.2493
Iteration: 1738; Percent complete: 43.5%; Average loss: 2.9262
Iteration: 1739; Percent complete: 43.5%; Average loss: 3.3704
Iteration: 1740; Percent complete: 43.5%; Average loss: 3.3423
Iteration: 1741; Percent complete: 43.5%; Average loss: 3.1344
Iteration: 1742; Percent complete: 43.5%; Average loss: 3.2124
Iteration: 1743; Percent complete: 43.6%; Average loss: 3.0129
Iteration: 1744; Percent complete: 43.6%; Average loss: 3.3349
Iteration: 1745; Percent complete: 43.6%; Average loss: 3.5353
Iteration: 1746; Percent complete: 43.6%; Average loss: 3.0958
Iteration: 1747; Percent complete: 43.7%; Average loss: 3.2152
Iteration: 1748; Percent complete: 43.7%; Average loss: 3.2586
Iteration: 1749; Percent complete: 43.7%; Average loss: 3.2566
Iteration: 1750; Percent complete: 43.8%; Average loss: 3.2969
Iteration: 1751; Percent complete: 43.8%; Average loss: 3.1729
Iteration: 1752; Percent complete: 43.8%; Average loss: 3.2126
Iteration: 1753; Percent complete: 43.8%; Average loss: 3.2232
Iteration: 1754; Percent complete: 43.9%; Average loss: 3.0799
Iteration: 1755; Percent complete: 43.9%; Average loss: 3.1167
Iteration: 1756; Percent complete: 43.9%; Average loss: 3.2276
Iteration: 1757; Percent complete: 43.9%; Average loss: 3.2000
Iteration: 1758; Percent complete: 44.0%; Average loss: 3.1390
Iteration: 1759; Percent complete: 44.0%; Average loss: 3.2734
Iteration: 1760; Percent complete: 44.0%; Average loss: 3.2525
Iteration: 1761; Percent complete: 44.0%; Average loss: 3.1061
Iteration: 1762; Percent complete: 44.0%; Average loss: 3.1180
Iteration: 1763; Percent complete: 44.1%; Average loss: 3.3767
Iteration: 1764; Percent complete: 44.1%; Average loss: 3.0386
Iteration: 1765; Percent complete: 44.1%; Average loss: 3.2048
Iteration: 1766; Percent complete: 44.1%; Average loss: 3.1841
Iteration: 1767; Percent complete: 44.2%; Average loss: 3.1386
Iteration: 1768; Percent complete: 44.2%; Average loss: 3.3801
Iteration: 1769; Percent complete: 44.2%; Average loss: 3.4537
Iteration: 1770; Percent complete: 44.2%; Average loss: 2.9305
Iteration: 1771; Percent complete: 44.3%; Average loss: 3.2038
Iteration: 1772; Percent complete: 44.3%; Average loss: 3.3653
Iteration: 1773; Percent complete: 44.3%; Average loss: 2.9564
Iteration: 1774; Percent complete: 44.4%; Average loss: 3.0660
Iteration: 1775; Percent complete: 44.4%; Average loss: 3.0769
Iteration: 1776; Percent complete: 44.4%; Average loss: 3.2916
Iteration: 1777; Percent complete: 44.4%; Average loss: 3.1476
Iteration: 1778; Percent complete: 44.5%; Average loss: 3.3257
Iteration: 1779; Percent complete: 44.5%; Average loss: 3.2706
Iteration: 1780; Percent complete: 44.5%; Average loss: 3.2593
Iteration: 1781; Percent complete: 44.5%; Average loss: 3.1725
Iteration: 1782; Percent complete: 44.5%; Average loss: 3.0094
Iteration: 1783; Percent complete: 44.6%; Average loss: 3.0746
Iteration: 1784; Percent complete: 44.6%; Average loss: 3.2931
Iteration: 1785; Percent complete: 44.6%; Average loss: 3.2114
Iteration: 1786; Percent complete: 44.6%; Average loss: 3.0606
Iteration: 1787; Percent complete: 44.7%; Average loss: 3.2250
Iteration: 1788; Percent complete: 44.7%; Average loss: 3.4831
Iteration: 1789; Percent complete: 44.7%; Average loss: 3.0828
Iteration: 1790; Percent complete: 44.8%; Average loss: 3.2473
Iteration: 1791; Percent complete: 44.8%; Average loss: 3.3897
Iteration: 1792; Percent complete: 44.8%; Average loss: 3.2564
Iteration: 1793; Percent complete: 44.8%; Average loss: 3.2489
Iteration: 1794; Percent complete: 44.9%; Average loss: 3.2561
Iteration: 1795; Percent complete: 44.9%; Average loss: 3.0580
Iteration: 1796; Percent complete: 44.9%; Average loss: 3.2107
Iteration: 1797; Percent complete: 44.9%; Average loss: 3.1783
Iteration: 1798; Percent complete: 45.0%; Average loss: 3.0331
Iteration: 1799; Percent complete: 45.0%; Average loss: 2.8459
Iteration: 1800; Percent complete: 45.0%; Average loss: 3.3327
Iteration: 1801; Percent complete: 45.0%; Average loss: 3.2197
Iteration: 1802; Percent complete: 45.1%; Average loss: 3.2053
Iteration: 1803; Percent complete: 45.1%; Average loss: 3.1289
Iteration: 1804; Percent complete: 45.1%; Average loss: 3.3304
Iteration: 1805; Percent complete: 45.1%; Average loss: 3.3398
Iteration: 1806; Percent complete: 45.1%; Average loss: 3.1182
Iteration: 1807; Percent complete: 45.2%; Average loss: 3.5886
Iteration: 1808; Percent complete: 45.2%; Average loss: 2.9736
Iteration: 1809; Percent complete: 45.2%; Average loss: 3.2201
Iteration: 1810; Percent complete: 45.2%; Average loss: 3.1879
Iteration: 1811; Percent complete: 45.3%; Average loss: 3.0545
Iteration: 1812; Percent complete: 45.3%; Average loss: 2.9537
Iteration: 1813; Percent complete: 45.3%; Average loss: 3.0320
Iteration: 1814; Percent complete: 45.4%; Average loss: 3.2738
Iteration: 1815; Percent complete: 45.4%; Average loss: 3.4597
Iteration: 1816; Percent complete: 45.4%; Average loss: 3.0544
Iteration: 1817; Percent complete: 45.4%; Average loss: 3.1517
Iteration: 1818; Percent complete: 45.5%; Average loss: 3.1049
Iteration: 1819; Percent complete: 45.5%; Average loss: 3.0729
Iteration: 1820; Percent complete: 45.5%; Average loss: 3.3369
Iteration: 1821; Percent complete: 45.5%; Average loss: 3.2013
Iteration: 1822; Percent complete: 45.6%; Average loss: 3.1374
Iteration: 1823; Percent complete: 45.6%; Average loss: 2.9662
Iteration: 1824; Percent complete: 45.6%; Average loss: 3.3961
Iteration: 1825; Percent complete: 45.6%; Average loss: 3.1809
Iteration: 1826; Percent complete: 45.6%; Average loss: 3.0303
Iteration: 1827; Percent complete: 45.7%; Average loss: 3.2884
Iteration: 1828; Percent complete: 45.7%; Average loss: 3.2316
Iteration: 1829; Percent complete: 45.7%; Average loss: 2.9274
Iteration: 1830; Percent complete: 45.8%; Average loss: 3.2966
Iteration: 1831; Percent complete: 45.8%; Average loss: 3.1151
Iteration: 1832; Percent complete: 45.8%; Average loss: 3.3545
Iteration: 1833; Percent complete: 45.8%; Average loss: 2.9731
Iteration: 1834; Percent complete: 45.9%; Average loss: 3.2181
Iteration: 1835; Percent complete: 45.9%; Average loss: 3.3001
Iteration: 1836; Percent complete: 45.9%; Average loss: 3.1226
Iteration: 1837; Percent complete: 45.9%; Average loss: 3.1343
Iteration: 1838; Percent complete: 46.0%; Average loss: 3.3574
Iteration: 1839; Percent complete: 46.0%; Average loss: 3.2229
Iteration: 1840; Percent complete: 46.0%; Average loss: 3.4969
Iteration: 1841; Percent complete: 46.0%; Average loss: 3.3710
Iteration: 1842; Percent complete: 46.1%; Average loss: 3.4356
Iteration: 1843; Percent complete: 46.1%; Average loss: 3.3477
Iteration: 1844; Percent complete: 46.1%; Average loss: 3.3479
Iteration: 1845; Percent complete: 46.1%; Average loss: 3.1466
Iteration: 1846; Percent complete: 46.2%; Average loss: 2.9781
Iteration: 1847; Percent complete: 46.2%; Average loss: 3.2603
Iteration: 1848; Percent complete: 46.2%; Average loss: 2.9893
Iteration: 1849; Percent complete: 46.2%; Average loss: 3.0818
Iteration: 1850; Percent complete: 46.2%; Average loss: 3.2448
Iteration: 1851; Percent complete: 46.3%; Average loss: 3.3372
Iteration: 1852; Percent complete: 46.3%; Average loss: 3.1850
Iteration: 1853; Percent complete: 46.3%; Average loss: 3.0912
Iteration: 1854; Percent complete: 46.4%; Average loss: 3.1115
Iteration: 1855; Percent complete: 46.4%; Average loss: 3.4425
Iteration: 1856; Percent complete: 46.4%; Average loss: 3.2086
Iteration: 1857; Percent complete: 46.4%; Average loss: 3.2280
Iteration: 1858; Percent complete: 46.5%; Average loss: 3.1970
Iteration: 1859; Percent complete: 46.5%; Average loss: 3.3106
Iteration: 1860; Percent complete: 46.5%; Average loss: 3.2432
Iteration: 1861; Percent complete: 46.5%; Average loss: 3.0087
Iteration: 1862; Percent complete: 46.6%; Average loss: 3.1549
Iteration: 1863; Percent complete: 46.6%; Average loss: 3.1085
Iteration: 1864; Percent complete: 46.6%; Average loss: 3.3508
Iteration: 1865; Percent complete: 46.6%; Average loss: 3.0788
Iteration: 1866; Percent complete: 46.7%; Average loss: 3.2337
Iteration: 1867; Percent complete: 46.7%; Average loss: 3.0669
Iteration: 1868; Percent complete: 46.7%; Average loss: 3.1750
Iteration: 1869; Percent complete: 46.7%; Average loss: 3.3439
Iteration: 1870; Percent complete: 46.8%; Average loss: 3.1627
Iteration: 1871; Percent complete: 46.8%; Average loss: 3.1189
Iteration: 1872; Percent complete: 46.8%; Average loss: 3.4692
Iteration: 1873; Percent complete: 46.8%; Average loss: 3.2170
Iteration: 1874; Percent complete: 46.9%; Average loss: 3.1929
Iteration: 1875; Percent complete: 46.9%; Average loss: 3.1030
Iteration: 1876; Percent complete: 46.9%; Average loss: 3.0738
Iteration: 1877; Percent complete: 46.9%; Average loss: 3.1751
Iteration: 1878; Percent complete: 46.9%; Average loss: 3.3672
Iteration: 1879; Percent complete: 47.0%; Average loss: 3.1535
Iteration: 1880; Percent complete: 47.0%; Average loss: 3.1332
Iteration: 1881; Percent complete: 47.0%; Average loss: 3.1674
Iteration: 1882; Percent complete: 47.0%; Average loss: 3.3692
Iteration: 1883; Percent complete: 47.1%; Average loss: 2.9810
Iteration: 1884; Percent complete: 47.1%; Average loss: 3.0419
Iteration: 1885; Percent complete: 47.1%; Average loss: 3.1794
Iteration: 1886; Percent complete: 47.1%; Average loss: 3.1165
Iteration: 1887; Percent complete: 47.2%; Average loss: 2.9233
Iteration: 1888; Percent complete: 47.2%; Average loss: 3.2333
Iteration: 1889; Percent complete: 47.2%; Average loss: 3.3966
Iteration: 1890; Percent complete: 47.2%; Average loss: 3.4650
Iteration: 1891; Percent complete: 47.3%; Average loss: 3.2291
Iteration: 1892; Percent complete: 47.3%; Average loss: 3.0743
Iteration: 1893; Percent complete: 47.3%; Average loss: 3.3221
Iteration: 1894; Percent complete: 47.3%; Average loss: 3.3269
Iteration: 1895; Percent complete: 47.4%; Average loss: 3.1873
Iteration: 1896; Percent complete: 47.4%; Average loss: 3.2292
Iteration: 1897; Percent complete: 47.4%; Average loss: 3.3236
Iteration: 1898; Percent complete: 47.4%; Average loss: 3.2124
Iteration: 1899; Percent complete: 47.5%; Average loss: 3.3031
Iteration: 1900; Percent complete: 47.5%; Average loss: 3.1935
Iteration: 1901; Percent complete: 47.5%; Average loss: 3.3152
Iteration: 1902; Percent complete: 47.5%; Average loss: 3.0163
Iteration: 1903; Percent complete: 47.6%; Average loss: 3.2134
Iteration: 1904; Percent complete: 47.6%; Average loss: 3.0334
Iteration: 1905; Percent complete: 47.6%; Average loss: 3.0751
Iteration: 1906; Percent complete: 47.6%; Average loss: 3.1283
Iteration: 1907; Percent complete: 47.7%; Average loss: 3.3338
Iteration: 1908; Percent complete: 47.7%; Average loss: 3.3475
Iteration: 1909; Percent complete: 47.7%; Average loss: 3.0074
Iteration: 1910; Percent complete: 47.8%; Average loss: 3.0026
Iteration: 1911; Percent complete: 47.8%; Average loss: 3.3458
Iteration: 1912; Percent complete: 47.8%; Average loss: 3.1039
Iteration: 1913; Percent complete: 47.8%; Average loss: 3.2051
Iteration: 1914; Percent complete: 47.9%; Average loss: 3.2009
Iteration: 1915; Percent complete: 47.9%; Average loss: 3.0073
Iteration: 1916; Percent complete: 47.9%; Average loss: 3.0864
Iteration: 1917; Percent complete: 47.9%; Average loss: 2.9193
Iteration: 1918; Percent complete: 47.9%; Average loss: 3.2143
Iteration: 1919; Percent complete: 48.0%; Average loss: 3.1702
Iteration: 1920; Percent complete: 48.0%; Average loss: 3.1238
Iteration: 1921; Percent complete: 48.0%; Average loss: 3.0807
Iteration: 1922; Percent complete: 48.0%; Average loss: 3.2162
Iteration: 1923; Percent complete: 48.1%; Average loss: 3.2691
Iteration: 1924; Percent complete: 48.1%; Average loss: 3.1569
Iteration: 1925; Percent complete: 48.1%; Average loss: 3.1415
Iteration: 1926; Percent complete: 48.1%; Average loss: 3.1233
Iteration: 1927; Percent complete: 48.2%; Average loss: 3.0156
Iteration: 1928; Percent complete: 48.2%; Average loss: 3.1872
Iteration: 1929; Percent complete: 48.2%; Average loss: 3.1174
Iteration: 1930; Percent complete: 48.2%; Average loss: 2.8944
Iteration: 1931; Percent complete: 48.3%; Average loss: 3.2422
Iteration: 1932; Percent complete: 48.3%; Average loss: 3.0217
Iteration: 1933; Percent complete: 48.3%; Average loss: 3.3088
Iteration: 1934; Percent complete: 48.4%; Average loss: 3.1031
Iteration: 1935; Percent complete: 48.4%; Average loss: 3.3031
Iteration: 1936; Percent complete: 48.4%; Average loss: 3.1267
Iteration: 1937; Percent complete: 48.4%; Average loss: 3.0327
Iteration: 1938; Percent complete: 48.4%; Average loss: 3.2572
Iteration: 1939; Percent complete: 48.5%; Average loss: 3.0781
Iteration: 1940; Percent complete: 48.5%; Average loss: 3.2067
Iteration: 1941; Percent complete: 48.5%; Average loss: 3.0649
Iteration: 1942; Percent complete: 48.5%; Average loss: 3.2499
Iteration: 1943; Percent complete: 48.6%; Average loss: 3.1353
Iteration: 1944; Percent complete: 48.6%; Average loss: 2.9853
Iteration: 1945; Percent complete: 48.6%; Average loss: 3.1251
Iteration: 1946; Percent complete: 48.6%; Average loss: 3.3210
Iteration: 1947; Percent complete: 48.7%; Average loss: 3.2465
Iteration: 1948; Percent complete: 48.7%; Average loss: 3.1948
Iteration: 1949; Percent complete: 48.7%; Average loss: 3.3342
Iteration: 1950; Percent complete: 48.8%; Average loss: 3.2609
Iteration: 1951; Percent complete: 48.8%; Average loss: 3.0387
Iteration: 1952; Percent complete: 48.8%; Average loss: 3.2625
Iteration: 1953; Percent complete: 48.8%; Average loss: 3.1201
Iteration: 1954; Percent complete: 48.9%; Average loss: 3.1001
Iteration: 1955; Percent complete: 48.9%; Average loss: 2.9341
Iteration: 1956; Percent complete: 48.9%; Average loss: 3.1322
Iteration: 1957; Percent complete: 48.9%; Average loss: 2.9052
Iteration: 1958; Percent complete: 48.9%; Average loss: 3.3755
Iteration: 1959; Percent complete: 49.0%; Average loss: 3.2613
Iteration: 1960; Percent complete: 49.0%; Average loss: 3.4124
Iteration: 1961; Percent complete: 49.0%; Average loss: 2.9329
Iteration: 1962; Percent complete: 49.0%; Average loss: 3.1577
Iteration: 1963; Percent complete: 49.1%; Average loss: 3.3071
Iteration: 1964; Percent complete: 49.1%; Average loss: 3.0002
Iteration: 1965; Percent complete: 49.1%; Average loss: 3.0556
Iteration: 1966; Percent complete: 49.1%; Average loss: 2.9195
Iteration: 1967; Percent complete: 49.2%; Average loss: 3.2343
Iteration: 1968; Percent complete: 49.2%; Average loss: 2.6743
Iteration: 1969; Percent complete: 49.2%; Average loss: 2.7976
Iteration: 1970; Percent complete: 49.2%; Average loss: 3.1321
Iteration: 1971; Percent complete: 49.3%; Average loss: 3.2215
Iteration: 1972; Percent complete: 49.3%; Average loss: 2.8138
Iteration: 1973; Percent complete: 49.3%; Average loss: 3.0078
Iteration: 1974; Percent complete: 49.4%; Average loss: 3.3137
Iteration: 1975; Percent complete: 49.4%; Average loss: 2.8210
Iteration: 1976; Percent complete: 49.4%; Average loss: 3.3227
Iteration: 1977; Percent complete: 49.4%; Average loss: 3.0016
Iteration: 1978; Percent complete: 49.5%; Average loss: 2.9744
Iteration: 1979; Percent complete: 49.5%; Average loss: 3.1526
Iteration: 1980; Percent complete: 49.5%; Average loss: 3.1582
Iteration: 1981; Percent complete: 49.5%; Average loss: 3.2937
Iteration: 1982; Percent complete: 49.5%; Average loss: 3.2086
Iteration: 1983; Percent complete: 49.6%; Average loss: 3.3413
Iteration: 1984; Percent complete: 49.6%; Average loss: 3.0883
Iteration: 1985; Percent complete: 49.6%; Average loss: 3.2291
Iteration: 1986; Percent complete: 49.6%; Average loss: 3.3589
Iteration: 1987; Percent complete: 49.7%; Average loss: 3.0411
Iteration: 1988; Percent complete: 49.7%; Average loss: 3.3776
Iteration: 1989; Percent complete: 49.7%; Average loss: 3.1301
Iteration: 1990; Percent complete: 49.8%; Average loss: 3.1303
Iteration: 1991; Percent complete: 49.8%; Average loss: 3.2575
Iteration: 1992; Percent complete: 49.8%; Average loss: 3.0745
Iteration: 1993; Percent complete: 49.8%; Average loss: 3.3041
Iteration: 1994; Percent complete: 49.9%; Average loss: 3.3020
Iteration: 1995; Percent complete: 49.9%; Average loss: 3.1267
Iteration: 1996; Percent complete: 49.9%; Average loss: 2.9403
Iteration: 1997; Percent complete: 49.9%; Average loss: 3.2526
Iteration: 1998; Percent complete: 50.0%; Average loss: 2.9675
Iteration: 1999; Percent complete: 50.0%; Average loss: 2.9469
Iteration: 2000; Percent complete: 50.0%; Average loss: 3.1907
Iteration: 2001; Percent complete: 50.0%; Average loss: 3.1380
Iteration: 2002; Percent complete: 50.0%; Average loss: 3.2070
Iteration: 2003; Percent complete: 50.1%; Average loss: 3.1054
Iteration: 2004; Percent complete: 50.1%; Average loss: 3.1539
Iteration: 2005; Percent complete: 50.1%; Average loss: 2.8597
Iteration: 2006; Percent complete: 50.1%; Average loss: 2.9972
Iteration: 2007; Percent complete: 50.2%; Average loss: 3.1730
Iteration: 2008; Percent complete: 50.2%; Average loss: 3.2645
Iteration: 2009; Percent complete: 50.2%; Average loss: 3.1016
Iteration: 2010; Percent complete: 50.2%; Average loss: 2.8928
Iteration: 2011; Percent complete: 50.3%; Average loss: 2.9653
Iteration: 2012; Percent complete: 50.3%; Average loss: 3.2937
Iteration: 2013; Percent complete: 50.3%; Average loss: 2.9875
Iteration: 2014; Percent complete: 50.3%; Average loss: 3.1516
Iteration: 2015; Percent complete: 50.4%; Average loss: 3.0410
Iteration: 2016; Percent complete: 50.4%; Average loss: 3.1929
Iteration: 2017; Percent complete: 50.4%; Average loss: 3.2925
Iteration: 2018; Percent complete: 50.4%; Average loss: 3.0653
Iteration: 2019; Percent complete: 50.5%; Average loss: 3.2775
Iteration: 2020; Percent complete: 50.5%; Average loss: 3.0946
Iteration: 2021; Percent complete: 50.5%; Average loss: 3.1722
Iteration: 2022; Percent complete: 50.5%; Average loss: 3.1347
Iteration: 2023; Percent complete: 50.6%; Average loss: 3.0819
Iteration: 2024; Percent complete: 50.6%; Average loss: 3.2796
Iteration: 2025; Percent complete: 50.6%; Average loss: 2.9651
Iteration: 2026; Percent complete: 50.6%; Average loss: 3.2780
Iteration: 2027; Percent complete: 50.7%; Average loss: 2.9156
Iteration: 2028; Percent complete: 50.7%; Average loss: 3.2050
Iteration: 2029; Percent complete: 50.7%; Average loss: 3.3965
Iteration: 2030; Percent complete: 50.7%; Average loss: 3.5265
Iteration: 2031; Percent complete: 50.8%; Average loss: 3.0483
Iteration: 2032; Percent complete: 50.8%; Average loss: 3.4220
Iteration: 2033; Percent complete: 50.8%; Average loss: 3.1911
Iteration: 2034; Percent complete: 50.8%; Average loss: 2.9608
Iteration: 2035; Percent complete: 50.9%; Average loss: 3.2546
Iteration: 2036; Percent complete: 50.9%; Average loss: 3.3116
Iteration: 2037; Percent complete: 50.9%; Average loss: 3.1658
Iteration: 2038; Percent complete: 50.9%; Average loss: 3.8050
Iteration: 2039; Percent complete: 51.0%; Average loss: 3.1250
Iteration: 2040; Percent complete: 51.0%; Average loss: 3.2258
Iteration: 2041; Percent complete: 51.0%; Average loss: 2.9946
Iteration: 2042; Percent complete: 51.0%; Average loss: 3.2745
Iteration: 2043; Percent complete: 51.1%; Average loss: 3.3035
Iteration: 2044; Percent complete: 51.1%; Average loss: 3.1383
Iteration: 2045; Percent complete: 51.1%; Average loss: 3.1263
Iteration: 2046; Percent complete: 51.1%; Average loss: 3.3258
Iteration: 2047; Percent complete: 51.2%; Average loss: 3.1504
Iteration: 2048; Percent complete: 51.2%; Average loss: 3.0399
Iteration: 2049; Percent complete: 51.2%; Average loss: 3.1743
Iteration: 2050; Percent complete: 51.2%; Average loss: 3.6675
Iteration: 2051; Percent complete: 51.3%; Average loss: 3.1884
Iteration: 2052; Percent complete: 51.3%; Average loss: 2.8121
Iteration: 2053; Percent complete: 51.3%; Average loss: 3.1776
Iteration: 2054; Percent complete: 51.3%; Average loss: 3.2580
Iteration: 2055; Percent complete: 51.4%; Average loss: 3.1858
Iteration: 2056; Percent complete: 51.4%; Average loss: 3.2821
Iteration: 2057; Percent complete: 51.4%; Average loss: 2.8168
Iteration: 2058; Percent complete: 51.4%; Average loss: 3.0053
Iteration: 2059; Percent complete: 51.5%; Average loss: 3.2874
Iteration: 2060; Percent complete: 51.5%; Average loss: 3.1166
Iteration: 2061; Percent complete: 51.5%; Average loss: 3.1644
Iteration: 2062; Percent complete: 51.5%; Average loss: 3.0209
Iteration: 2063; Percent complete: 51.6%; Average loss: 3.2732
Iteration: 2064; Percent complete: 51.6%; Average loss: 3.0560
Iteration: 2065; Percent complete: 51.6%; Average loss: 3.0819
Iteration: 2066; Percent complete: 51.6%; Average loss: 3.0941
Iteration: 2067; Percent complete: 51.7%; Average loss: 3.2238
Iteration: 2068; Percent complete: 51.7%; Average loss: 3.4511
Iteration: 2069; Percent complete: 51.7%; Average loss: 3.0347
Iteration: 2070; Percent complete: 51.7%; Average loss: 3.0370
Iteration: 2071; Percent complete: 51.8%; Average loss: 3.0985
Iteration: 2072; Percent complete: 51.8%; Average loss: 3.2045
Iteration: 2073; Percent complete: 51.8%; Average loss: 3.0441
Iteration: 2074; Percent complete: 51.8%; Average loss: 3.3431
Iteration: 2075; Percent complete: 51.9%; Average loss: 3.4216
Iteration: 2076; Percent complete: 51.9%; Average loss: 3.1707
Iteration: 2077; Percent complete: 51.9%; Average loss: 3.1384
Iteration: 2078; Percent complete: 51.9%; Average loss: 3.2224
Iteration: 2079; Percent complete: 52.0%; Average loss: 3.0140
Iteration: 2080; Percent complete: 52.0%; Average loss: 3.5008
Iteration: 2081; Percent complete: 52.0%; Average loss: 3.2817
Iteration: 2082; Percent complete: 52.0%; Average loss: 3.0350
Iteration: 2083; Percent complete: 52.1%; Average loss: 3.1268
Iteration: 2084; Percent complete: 52.1%; Average loss: 3.0956
Iteration: 2085; Percent complete: 52.1%; Average loss: 3.1941
Iteration: 2086; Percent complete: 52.1%; Average loss: 3.0818
Iteration: 2087; Percent complete: 52.2%; Average loss: 3.1773
Iteration: 2088; Percent complete: 52.2%; Average loss: 3.0185
Iteration: 2089; Percent complete: 52.2%; Average loss: 3.0095
Iteration: 2090; Percent complete: 52.2%; Average loss: 3.0627
Iteration: 2091; Percent complete: 52.3%; Average loss: 3.1363
Iteration: 2092; Percent complete: 52.3%; Average loss: 3.3654
Iteration: 2093; Percent complete: 52.3%; Average loss: 3.0592
Iteration: 2094; Percent complete: 52.3%; Average loss: 3.0275
Iteration: 2095; Percent complete: 52.4%; Average loss: 3.1183
Iteration: 2096; Percent complete: 52.4%; Average loss: 3.2039
Iteration: 2097; Percent complete: 52.4%; Average loss: 3.0600
Iteration: 2098; Percent complete: 52.4%; Average loss: 3.1415
Iteration: 2099; Percent complete: 52.5%; Average loss: 3.2112
Iteration: 2100; Percent complete: 52.5%; Average loss: 3.1401
Iteration: 2101; Percent complete: 52.5%; Average loss: 3.1328
Iteration: 2102; Percent complete: 52.5%; Average loss: 3.3998
Iteration: 2103; Percent complete: 52.6%; Average loss: 3.1024
Iteration: 2104; Percent complete: 52.6%; Average loss: 3.1023
Iteration: 2105; Percent complete: 52.6%; Average loss: 3.1312
Iteration: 2106; Percent complete: 52.6%; Average loss: 2.9326
Iteration: 2107; Percent complete: 52.7%; Average loss: 3.1600
Iteration: 2108; Percent complete: 52.7%; Average loss: 3.1065
Iteration: 2109; Percent complete: 52.7%; Average loss: 3.2224
Iteration: 2110; Percent complete: 52.8%; Average loss: 3.1737
Iteration: 2111; Percent complete: 52.8%; Average loss: 3.0124
Iteration: 2112; Percent complete: 52.8%; Average loss: 3.1111
Iteration: 2113; Percent complete: 52.8%; Average loss: 2.8048
Iteration: 2114; Percent complete: 52.8%; Average loss: 3.1203
Iteration: 2115; Percent complete: 52.9%; Average loss: 3.3640
Iteration: 2116; Percent complete: 52.9%; Average loss: 2.9929
Iteration: 2117; Percent complete: 52.9%; Average loss: 3.0758
Iteration: 2118; Percent complete: 52.9%; Average loss: 3.0181
Iteration: 2119; Percent complete: 53.0%; Average loss: 3.3170
Iteration: 2120; Percent complete: 53.0%; Average loss: 2.9471
Iteration: 2121; Percent complete: 53.0%; Average loss: 3.0993
Iteration: 2122; Percent complete: 53.0%; Average loss: 3.0560
Iteration: 2123; Percent complete: 53.1%; Average loss: 3.1861
Iteration: 2124; Percent complete: 53.1%; Average loss: 3.0037
Iteration: 2125; Percent complete: 53.1%; Average loss: 3.1589
Iteration: 2126; Percent complete: 53.1%; Average loss: 3.1404
Iteration: 2127; Percent complete: 53.2%; Average loss: 3.1081
Iteration: 2128; Percent complete: 53.2%; Average loss: 2.9807
Iteration: 2129; Percent complete: 53.2%; Average loss: 3.1022
Iteration: 2130; Percent complete: 53.2%; Average loss: 3.2027
Iteration: 2131; Percent complete: 53.3%; Average loss: 3.1292
Iteration: 2132; Percent complete: 53.3%; Average loss: 3.1267
Iteration: 2133; Percent complete: 53.3%; Average loss: 3.3038
Iteration: 2134; Percent complete: 53.3%; Average loss: 3.0837
Iteration: 2135; Percent complete: 53.4%; Average loss: 3.1184
Iteration: 2136; Percent complete: 53.4%; Average loss: 2.9136
Iteration: 2137; Percent complete: 53.4%; Average loss: 2.9529
Iteration: 2138; Percent complete: 53.4%; Average loss: 3.0240
Iteration: 2139; Percent complete: 53.5%; Average loss: 3.0365
Iteration: 2140; Percent complete: 53.5%; Average loss: 2.9402
Iteration: 2141; Percent complete: 53.5%; Average loss: 3.2716
Iteration: 2142; Percent complete: 53.5%; Average loss: 3.1274
Iteration: 2143; Percent complete: 53.6%; Average loss: 3.3234
Iteration: 2144; Percent complete: 53.6%; Average loss: 3.0001
Iteration: 2145; Percent complete: 53.6%; Average loss: 3.0532
Iteration: 2146; Percent complete: 53.6%; Average loss: 3.0653
Iteration: 2147; Percent complete: 53.7%; Average loss: 3.2893
Iteration: 2148; Percent complete: 53.7%; Average loss: 3.3476
Iteration: 2149; Percent complete: 53.7%; Average loss: 3.2126
Iteration: 2150; Percent complete: 53.8%; Average loss: 2.7646
Iteration: 2151; Percent complete: 53.8%; Average loss: 3.0896
Iteration: 2152; Percent complete: 53.8%; Average loss: 2.9908
Iteration: 2153; Percent complete: 53.8%; Average loss: 3.1081
Iteration: 2154; Percent complete: 53.8%; Average loss: 2.8473
Iteration: 2155; Percent complete: 53.9%; Average loss: 3.3104
Iteration: 2156; Percent complete: 53.9%; Average loss: 3.2092
Iteration: 2157; Percent complete: 53.9%; Average loss: 3.0992
Iteration: 2158; Percent complete: 53.9%; Average loss: 3.4663
Iteration: 2159; Percent complete: 54.0%; Average loss: 3.0816
Iteration: 2160; Percent complete: 54.0%; Average loss: 2.9721
Iteration: 2161; Percent complete: 54.0%; Average loss: 3.3246
Iteration: 2162; Percent complete: 54.0%; Average loss: 3.1573
Iteration: 2163; Percent complete: 54.1%; Average loss: 3.0006
Iteration: 2164; Percent complete: 54.1%; Average loss: 2.8979
Iteration: 2165; Percent complete: 54.1%; Average loss: 3.0388
Iteration: 2166; Percent complete: 54.1%; Average loss: 3.3506
Iteration: 2167; Percent complete: 54.2%; Average loss: 3.1367
Iteration: 2168; Percent complete: 54.2%; Average loss: 3.0866
Iteration: 2169; Percent complete: 54.2%; Average loss: 2.9623
Iteration: 2170; Percent complete: 54.2%; Average loss: 3.0886
Iteration: 2171; Percent complete: 54.3%; Average loss: 3.2815
Iteration: 2172; Percent complete: 54.3%; Average loss: 3.2011
Iteration: 2173; Percent complete: 54.3%; Average loss: 3.1416
Iteration: 2174; Percent complete: 54.4%; Average loss: 3.1814
Iteration: 2175; Percent complete: 54.4%; Average loss: 2.9090
Iteration: 2176; Percent complete: 54.4%; Average loss: 3.0165
Iteration: 2177; Percent complete: 54.4%; Average loss: 3.3121
Iteration: 2178; Percent complete: 54.4%; Average loss: 3.0721
Iteration: 2179; Percent complete: 54.5%; Average loss: 3.2018
Iteration: 2180; Percent complete: 54.5%; Average loss: 3.0633
Iteration: 2181; Percent complete: 54.5%; Average loss: 3.2647
Iteration: 2182; Percent complete: 54.5%; Average loss: 3.1088
Iteration: 2183; Percent complete: 54.6%; Average loss: 3.1301
Iteration: 2184; Percent complete: 54.6%; Average loss: 3.2577
Iteration: 2185; Percent complete: 54.6%; Average loss: 3.2603
Iteration: 2186; Percent complete: 54.6%; Average loss: 3.1104
Iteration: 2187; Percent complete: 54.7%; Average loss: 3.0050
Iteration: 2188; Percent complete: 54.7%; Average loss: 2.9165
Iteration: 2189; Percent complete: 54.7%; Average loss: 3.3289
Iteration: 2190; Percent complete: 54.8%; Average loss: 3.1035
Iteration: 2191; Percent complete: 54.8%; Average loss: 3.2736
Iteration: 2192; Percent complete: 54.8%; Average loss: 3.0789
Iteration: 2193; Percent complete: 54.8%; Average loss: 3.1025
Iteration: 2194; Percent complete: 54.9%; Average loss: 3.3533
Iteration: 2195; Percent complete: 54.9%; Average loss: 3.0713
Iteration: 2196; Percent complete: 54.9%; Average loss: 2.9726
Iteration: 2197; Percent complete: 54.9%; Average loss: 3.1085
Iteration: 2198; Percent complete: 54.9%; Average loss: 2.8603
Iteration: 2199; Percent complete: 55.0%; Average loss: 3.1523
Iteration: 2200; Percent complete: 55.0%; Average loss: 2.9907
Iteration: 2201; Percent complete: 55.0%; Average loss: 3.3120
Iteration: 2202; Percent complete: 55.0%; Average loss: 3.1753
Iteration: 2203; Percent complete: 55.1%; Average loss: 3.2018
Iteration: 2204; Percent complete: 55.1%; Average loss: 3.1191
Iteration: 2205; Percent complete: 55.1%; Average loss: 3.0892
Iteration: 2206; Percent complete: 55.1%; Average loss: 3.3245
Iteration: 2207; Percent complete: 55.2%; Average loss: 3.1908
Iteration: 2208; Percent complete: 55.2%; Average loss: 3.0699
Iteration: 2209; Percent complete: 55.2%; Average loss: 3.1723
Iteration: 2210; Percent complete: 55.2%; Average loss: 3.4154
Iteration: 2211; Percent complete: 55.3%; Average loss: 3.2464
Iteration: 2212; Percent complete: 55.3%; Average loss: 2.9812
Iteration: 2213; Percent complete: 55.3%; Average loss: 3.1181
Iteration: 2214; Percent complete: 55.4%; Average loss: 3.2311
Iteration: 2215; Percent complete: 55.4%; Average loss: 3.3128
Iteration: 2216; Percent complete: 55.4%; Average loss: 3.0797
Iteration: 2217; Percent complete: 55.4%; Average loss: 3.2660
Iteration: 2218; Percent complete: 55.5%; Average loss: 3.3499
Iteration: 2219; Percent complete: 55.5%; Average loss: 3.4050
Iteration: 2220; Percent complete: 55.5%; Average loss: 3.0508
Iteration: 2221; Percent complete: 55.5%; Average loss: 3.2897
Iteration: 2222; Percent complete: 55.5%; Average loss: 3.2114
Iteration: 2223; Percent complete: 55.6%; Average loss: 3.1488
Iteration: 2224; Percent complete: 55.6%; Average loss: 2.9933
Iteration: 2225; Percent complete: 55.6%; Average loss: 2.8811
Iteration: 2226; Percent complete: 55.6%; Average loss: 3.0142
Iteration: 2227; Percent complete: 55.7%; Average loss: 3.2981
Iteration: 2228; Percent complete: 55.7%; Average loss: 3.3656
Iteration: 2229; Percent complete: 55.7%; Average loss: 3.2045
Iteration: 2230; Percent complete: 55.8%; Average loss: 3.2349
Iteration: 2231; Percent complete: 55.8%; Average loss: 2.9583
Iteration: 2232; Percent complete: 55.8%; Average loss: 3.0335
Iteration: 2233; Percent complete: 55.8%; Average loss: 3.2708
Iteration: 2234; Percent complete: 55.9%; Average loss: 3.1551
Iteration: 2235; Percent complete: 55.9%; Average loss: 2.9657
Iteration: 2236; Percent complete: 55.9%; Average loss: 3.0334
Iteration: 2237; Percent complete: 55.9%; Average loss: 3.0381
Iteration: 2238; Percent complete: 56.0%; Average loss: 2.9918
Iteration: 2239; Percent complete: 56.0%; Average loss: 2.9864
Iteration: 2240; Percent complete: 56.0%; Average loss: 2.9836
Iteration: 2241; Percent complete: 56.0%; Average loss: 3.0823
Iteration: 2242; Percent complete: 56.0%; Average loss: 3.0495
Iteration: 2243; Percent complete: 56.1%; Average loss: 3.0102
Iteration: 2244; Percent complete: 56.1%; Average loss: 3.1129
Iteration: 2245; Percent complete: 56.1%; Average loss: 3.2859
Iteration: 2246; Percent complete: 56.1%; Average loss: 3.0860
Iteration: 2247; Percent complete: 56.2%; Average loss: 3.4708
Iteration: 2248; Percent complete: 56.2%; Average loss: 3.0155
Iteration: 2249; Percent complete: 56.2%; Average loss: 3.1513
Iteration: 2250; Percent complete: 56.2%; Average loss: 2.9344
Iteration: 2251; Percent complete: 56.3%; Average loss: 3.1705
Iteration: 2252; Percent complete: 56.3%; Average loss: 3.1262
Iteration: 2253; Percent complete: 56.3%; Average loss: 3.0760
Iteration: 2254; Percent complete: 56.4%; Average loss: 3.1433
Iteration: 2255; Percent complete: 56.4%; Average loss: 2.9795
Iteration: 2256; Percent complete: 56.4%; Average loss: 3.3140
Iteration: 2257; Percent complete: 56.4%; Average loss: 2.9840
Iteration: 2258; Percent complete: 56.5%; Average loss: 3.2975
Iteration: 2259; Percent complete: 56.5%; Average loss: 3.1790
Iteration: 2260; Percent complete: 56.5%; Average loss: 2.9401
Iteration: 2261; Percent complete: 56.5%; Average loss: 3.0618
Iteration: 2262; Percent complete: 56.5%; Average loss: 2.9918
Iteration: 2263; Percent complete: 56.6%; Average loss: 2.8220
Iteration: 2264; Percent complete: 56.6%; Average loss: 2.8762
Iteration: 2265; Percent complete: 56.6%; Average loss: 2.7779
Iteration: 2266; Percent complete: 56.6%; Average loss: 3.1774
Iteration: 2267; Percent complete: 56.7%; Average loss: 3.0446
Iteration: 2268; Percent complete: 56.7%; Average loss: 2.8591
Iteration: 2269; Percent complete: 56.7%; Average loss: 3.1215
Iteration: 2270; Percent complete: 56.8%; Average loss: 2.7419
Iteration: 2271; Percent complete: 56.8%; Average loss: 3.2541
Iteration: 2272; Percent complete: 56.8%; Average loss: 2.9085
Iteration: 2273; Percent complete: 56.8%; Average loss: 3.0817
Iteration: 2274; Percent complete: 56.9%; Average loss: 2.9274
Iteration: 2275; Percent complete: 56.9%; Average loss: 3.0681
Iteration: 2276; Percent complete: 56.9%; Average loss: 3.1235
Iteration: 2277; Percent complete: 56.9%; Average loss: 2.9858
Iteration: 2278; Percent complete: 57.0%; Average loss: 3.1322
Iteration: 2279; Percent complete: 57.0%; Average loss: 3.2365
Iteration: 2280; Percent complete: 57.0%; Average loss: 3.1183
Iteration: 2281; Percent complete: 57.0%; Average loss: 3.0549
Iteration: 2282; Percent complete: 57.0%; Average loss: 3.2955
Iteration: 2283; Percent complete: 57.1%; Average loss: 3.1895
Iteration: 2284; Percent complete: 57.1%; Average loss: 3.2370
Iteration: 2285; Percent complete: 57.1%; Average loss: 3.0686
Iteration: 2286; Percent complete: 57.1%; Average loss: 3.1200
Iteration: 2287; Percent complete: 57.2%; Average loss: 3.0223
Iteration: 2288; Percent complete: 57.2%; Average loss: 2.9700
Iteration: 2289; Percent complete: 57.2%; Average loss: 2.9417
Iteration: 2290; Percent complete: 57.2%; Average loss: 2.9879
Iteration: 2291; Percent complete: 57.3%; Average loss: 2.8286
Iteration: 2292; Percent complete: 57.3%; Average loss: 3.0146
Iteration: 2293; Percent complete: 57.3%; Average loss: 3.1235
Iteration: 2294; Percent complete: 57.4%; Average loss: 3.0828
Iteration: 2295; Percent complete: 57.4%; Average loss: 2.9557
Iteration: 2296; Percent complete: 57.4%; Average loss: 3.0627
Iteration: 2297; Percent complete: 57.4%; Average loss: 3.0053
Iteration: 2298; Percent complete: 57.5%; Average loss: 3.1257
Iteration: 2299; Percent complete: 57.5%; Average loss: 2.8129
Iteration: 2300; Percent complete: 57.5%; Average loss: 2.8485
Iteration: 2301; Percent complete: 57.5%; Average loss: 3.1645
Iteration: 2302; Percent complete: 57.6%; Average loss: 3.0596
Iteration: 2303; Percent complete: 57.6%; Average loss: 3.5918
Iteration: 2304; Percent complete: 57.6%; Average loss: 3.1424
Iteration: 2305; Percent complete: 57.6%; Average loss: 3.0720
Iteration: 2306; Percent complete: 57.6%; Average loss: 3.3140
Iteration: 2307; Percent complete: 57.7%; Average loss: 2.8604
Iteration: 2308; Percent complete: 57.7%; Average loss: 3.1246
Iteration: 2309; Percent complete: 57.7%; Average loss: 3.0079
Iteration: 2310; Percent complete: 57.8%; Average loss: 3.0730
Iteration: 2311; Percent complete: 57.8%; Average loss: 3.0728
Iteration: 2312; Percent complete: 57.8%; Average loss: 3.1006
Iteration: 2313; Percent complete: 57.8%; Average loss: 2.9498
Iteration: 2314; Percent complete: 57.9%; Average loss: 2.8600
Iteration: 2315; Percent complete: 57.9%; Average loss: 3.0689
Iteration: 2316; Percent complete: 57.9%; Average loss: 3.0197
Iteration: 2317; Percent complete: 57.9%; Average loss: 3.2812
Iteration: 2318; Percent complete: 58.0%; Average loss: 3.0692
Iteration: 2319; Percent complete: 58.0%; Average loss: 3.0061
Iteration: 2320; Percent complete: 58.0%; Average loss: 3.0021
Iteration: 2321; Percent complete: 58.0%; Average loss: 3.1561
Iteration: 2322; Percent complete: 58.1%; Average loss: 3.0156
Iteration: 2323; Percent complete: 58.1%; Average loss: 3.2199
Iteration: 2324; Percent complete: 58.1%; Average loss: 2.9693
Iteration: 2325; Percent complete: 58.1%; Average loss: 3.1182
Iteration: 2326; Percent complete: 58.1%; Average loss: 3.0011
Iteration: 2327; Percent complete: 58.2%; Average loss: 3.0383
Iteration: 2328; Percent complete: 58.2%; Average loss: 3.0284
Iteration: 2329; Percent complete: 58.2%; Average loss: 2.9154
Iteration: 2330; Percent complete: 58.2%; Average loss: 3.0569
Iteration: 2331; Percent complete: 58.3%; Average loss: 3.3427
Iteration: 2332; Percent complete: 58.3%; Average loss: 3.1592
Iteration: 2333; Percent complete: 58.3%; Average loss: 3.0608
Iteration: 2334; Percent complete: 58.4%; Average loss: 2.8549
Iteration: 2335; Percent complete: 58.4%; Average loss: 3.1534
Iteration: 2336; Percent complete: 58.4%; Average loss: 3.1035
Iteration: 2337; Percent complete: 58.4%; Average loss: 3.0920
Iteration: 2338; Percent complete: 58.5%; Average loss: 3.0470
Iteration: 2339; Percent complete: 58.5%; Average loss: 3.1687
Iteration: 2340; Percent complete: 58.5%; Average loss: 3.0382
Iteration: 2341; Percent complete: 58.5%; Average loss: 3.0083
Iteration: 2342; Percent complete: 58.6%; Average loss: 3.1238
Iteration: 2343; Percent complete: 58.6%; Average loss: 3.1289
Iteration: 2344; Percent complete: 58.6%; Average loss: 2.9288
Iteration: 2345; Percent complete: 58.6%; Average loss: 3.0819
Iteration: 2346; Percent complete: 58.7%; Average loss: 3.2989
Iteration: 2347; Percent complete: 58.7%; Average loss: 3.0762
Iteration: 2348; Percent complete: 58.7%; Average loss: 2.9307
Iteration: 2349; Percent complete: 58.7%; Average loss: 3.0201
Iteration: 2350; Percent complete: 58.8%; Average loss: 3.2076
Iteration: 2351; Percent complete: 58.8%; Average loss: 2.9160
Iteration: 2352; Percent complete: 58.8%; Average loss: 2.9986
Iteration: 2353; Percent complete: 58.8%; Average loss: 2.9889
Iteration: 2354; Percent complete: 58.9%; Average loss: 3.0527
Iteration: 2355; Percent complete: 58.9%; Average loss: 3.1602
Iteration: 2356; Percent complete: 58.9%; Average loss: 3.0992
Iteration: 2357; Percent complete: 58.9%; Average loss: 3.0807
Iteration: 2358; Percent complete: 59.0%; Average loss: 3.3480
Iteration: 2359; Percent complete: 59.0%; Average loss: 3.1443
Iteration: 2360; Percent complete: 59.0%; Average loss: 2.8547
Iteration: 2361; Percent complete: 59.0%; Average loss: 2.9398
Iteration: 2362; Percent complete: 59.1%; Average loss: 3.3422
Iteration: 2363; Percent complete: 59.1%; Average loss: 3.0561
Iteration: 2364; Percent complete: 59.1%; Average loss: 3.2564
Iteration: 2365; Percent complete: 59.1%; Average loss: 3.2662
Iteration: 2366; Percent complete: 59.2%; Average loss: 3.2636
Iteration: 2367; Percent complete: 59.2%; Average loss: 3.0407
Iteration: 2368; Percent complete: 59.2%; Average loss: 3.0274
Iteration: 2369; Percent complete: 59.2%; Average loss: 3.1044
Iteration: 2370; Percent complete: 59.2%; Average loss: 3.0265
Iteration: 2371; Percent complete: 59.3%; Average loss: 3.0836
Iteration: 2372; Percent complete: 59.3%; Average loss: 2.9235
Iteration: 2373; Percent complete: 59.3%; Average loss: 2.9654
Iteration: 2374; Percent complete: 59.4%; Average loss: 2.9605
Iteration: 2375; Percent complete: 59.4%; Average loss: 3.1591
Iteration: 2376; Percent complete: 59.4%; Average loss: 2.9811
Iteration: 2377; Percent complete: 59.4%; Average loss: 3.1171
Iteration: 2378; Percent complete: 59.5%; Average loss: 3.0654
Iteration: 2379; Percent complete: 59.5%; Average loss: 2.9490
Iteration: 2380; Percent complete: 59.5%; Average loss: 3.1197
Iteration: 2381; Percent complete: 59.5%; Average loss: 3.0942
Iteration: 2382; Percent complete: 59.6%; Average loss: 3.3746
Iteration: 2383; Percent complete: 59.6%; Average loss: 3.1665
Iteration: 2384; Percent complete: 59.6%; Average loss: 2.8526
Iteration: 2385; Percent complete: 59.6%; Average loss: 3.2099
Iteration: 2386; Percent complete: 59.7%; Average loss: 3.2103
Iteration: 2387; Percent complete: 59.7%; Average loss: 2.8880
Iteration: 2388; Percent complete: 59.7%; Average loss: 2.9749
Iteration: 2389; Percent complete: 59.7%; Average loss: 2.8364
Iteration: 2390; Percent complete: 59.8%; Average loss: 2.9489
Iteration: 2391; Percent complete: 59.8%; Average loss: 3.2592
Iteration: 2392; Percent complete: 59.8%; Average loss: 3.1280
Iteration: 2393; Percent complete: 59.8%; Average loss: 3.2539
Iteration: 2394; Percent complete: 59.9%; Average loss: 2.9431
Iteration: 2395; Percent complete: 59.9%; Average loss: 3.1099
Iteration: 2396; Percent complete: 59.9%; Average loss: 3.1160
Iteration: 2397; Percent complete: 59.9%; Average loss: 2.8184
Iteration: 2398; Percent complete: 60.0%; Average loss: 3.2037
Iteration: 2399; Percent complete: 60.0%; Average loss: 2.8429
Iteration: 2400; Percent complete: 60.0%; Average loss: 2.6521
Iteration: 2401; Percent complete: 60.0%; Average loss: 2.9483
Iteration: 2402; Percent complete: 60.1%; Average loss: 2.9010
Iteration: 2403; Percent complete: 60.1%; Average loss: 2.8178
Iteration: 2404; Percent complete: 60.1%; Average loss: 2.7831
Iteration: 2405; Percent complete: 60.1%; Average loss: 3.2016
Iteration: 2406; Percent complete: 60.2%; Average loss: 3.1810
Iteration: 2407; Percent complete: 60.2%; Average loss: 3.0933
Iteration: 2408; Percent complete: 60.2%; Average loss: 3.0194
Iteration: 2409; Percent complete: 60.2%; Average loss: 3.1709
Iteration: 2410; Percent complete: 60.2%; Average loss: 3.0153
Iteration: 2411; Percent complete: 60.3%; Average loss: 2.9840
Iteration: 2412; Percent complete: 60.3%; Average loss: 3.2028
Iteration: 2413; Percent complete: 60.3%; Average loss: 3.2827
Iteration: 2414; Percent complete: 60.4%; Average loss: 3.3271
Iteration: 2415; Percent complete: 60.4%; Average loss: 3.1690
Iteration: 2416; Percent complete: 60.4%; Average loss: 3.1785
Iteration: 2417; Percent complete: 60.4%; Average loss: 3.1207
Iteration: 2418; Percent complete: 60.5%; Average loss: 3.1883
Iteration: 2419; Percent complete: 60.5%; Average loss: 3.1823
Iteration: 2420; Percent complete: 60.5%; Average loss: 3.1668
Iteration: 2421; Percent complete: 60.5%; Average loss: 3.1673
Iteration: 2422; Percent complete: 60.6%; Average loss: 2.9795
Iteration: 2423; Percent complete: 60.6%; Average loss: 3.0742
Iteration: 2424; Percent complete: 60.6%; Average loss: 2.8233
Iteration: 2425; Percent complete: 60.6%; Average loss: 2.9355
Iteration: 2426; Percent complete: 60.7%; Average loss: 2.9797
Iteration: 2427; Percent complete: 60.7%; Average loss: 2.9268
Iteration: 2428; Percent complete: 60.7%; Average loss: 2.8404
Iteration: 2429; Percent complete: 60.7%; Average loss: 3.1584
Iteration: 2430; Percent complete: 60.8%; Average loss: 3.0981
Iteration: 2431; Percent complete: 60.8%; Average loss: 2.8969
Iteration: 2432; Percent complete: 60.8%; Average loss: 3.0783
Iteration: 2433; Percent complete: 60.8%; Average loss: 2.9301
Iteration: 2434; Percent complete: 60.9%; Average loss: 3.0539
Iteration: 2435; Percent complete: 60.9%; Average loss: 3.0558
Iteration: 2436; Percent complete: 60.9%; Average loss: 2.9470
Iteration: 2437; Percent complete: 60.9%; Average loss: 3.1608
Iteration: 2438; Percent complete: 61.0%; Average loss: 2.8367
Iteration: 2439; Percent complete: 61.0%; Average loss: 2.8646
Iteration: 2440; Percent complete: 61.0%; Average loss: 2.8650
Iteration: 2441; Percent complete: 61.0%; Average loss: 2.8803
Iteration: 2442; Percent complete: 61.1%; Average loss: 2.9478
Iteration: 2443; Percent complete: 61.1%; Average loss: 2.9903
Iteration: 2444; Percent complete: 61.1%; Average loss: 3.0543
Iteration: 2445; Percent complete: 61.1%; Average loss: 2.9059
Iteration: 2446; Percent complete: 61.2%; Average loss: 3.0599
Iteration: 2447; Percent complete: 61.2%; Average loss: 3.0417
Iteration: 2448; Percent complete: 61.2%; Average loss: 2.8439
Iteration: 2449; Percent complete: 61.2%; Average loss: 2.7907
Iteration: 2450; Percent complete: 61.3%; Average loss: 2.9838
Iteration: 2451; Percent complete: 61.3%; Average loss: 2.8815
Iteration: 2452; Percent complete: 61.3%; Average loss: 2.9988
Iteration: 2453; Percent complete: 61.3%; Average loss: 3.0756
Iteration: 2454; Percent complete: 61.4%; Average loss: 3.2210
Iteration: 2455; Percent complete: 61.4%; Average loss: 2.9774
Iteration: 2456; Percent complete: 61.4%; Average loss: 2.9986
Iteration: 2457; Percent complete: 61.4%; Average loss: 3.0398
Iteration: 2458; Percent complete: 61.5%; Average loss: 3.2330
Iteration: 2459; Percent complete: 61.5%; Average loss: 3.1681
Iteration: 2460; Percent complete: 61.5%; Average loss: 3.1210
Iteration: 2461; Percent complete: 61.5%; Average loss: 3.0486
Iteration: 2462; Percent complete: 61.6%; Average loss: 2.9101
Iteration: 2463; Percent complete: 61.6%; Average loss: 2.9528
Iteration: 2464; Percent complete: 61.6%; Average loss: 2.8594
Iteration: 2465; Percent complete: 61.6%; Average loss: 2.9499
Iteration: 2466; Percent complete: 61.7%; Average loss: 3.1812
Iteration: 2467; Percent complete: 61.7%; Average loss: 2.8058
Iteration: 2468; Percent complete: 61.7%; Average loss: 2.9441
Iteration: 2469; Percent complete: 61.7%; Average loss: 2.9650
Iteration: 2470; Percent complete: 61.8%; Average loss: 2.8664
Iteration: 2471; Percent complete: 61.8%; Average loss: 3.1812
Iteration: 2472; Percent complete: 61.8%; Average loss: 2.9629
Iteration: 2473; Percent complete: 61.8%; Average loss: 3.1815
Iteration: 2474; Percent complete: 61.9%; Average loss: 3.0265
Iteration: 2475; Percent complete: 61.9%; Average loss: 2.8201
Iteration: 2476; Percent complete: 61.9%; Average loss: 3.3375
Iteration: 2477; Percent complete: 61.9%; Average loss: 2.7352
Iteration: 2478; Percent complete: 62.0%; Average loss: 3.0899
Iteration: 2479; Percent complete: 62.0%; Average loss: 3.2877
Iteration: 2480; Percent complete: 62.0%; Average loss: 3.0912
Iteration: 2481; Percent complete: 62.0%; Average loss: 3.2531
Iteration: 2482; Percent complete: 62.1%; Average loss: 3.1891
Iteration: 2483; Percent complete: 62.1%; Average loss: 2.9619
Iteration: 2484; Percent complete: 62.1%; Average loss: 3.0215
Iteration: 2485; Percent complete: 62.1%; Average loss: 3.0520
Iteration: 2486; Percent complete: 62.2%; Average loss: 2.9661
Iteration: 2487; Percent complete: 62.2%; Average loss: 3.1592
Iteration: 2488; Percent complete: 62.2%; Average loss: 2.7305
Iteration: 2489; Percent complete: 62.2%; Average loss: 2.9382
Iteration: 2490; Percent complete: 62.3%; Average loss: 3.0250
Iteration: 2491; Percent complete: 62.3%; Average loss: 3.0703
Iteration: 2492; Percent complete: 62.3%; Average loss: 3.1628
Iteration: 2493; Percent complete: 62.3%; Average loss: 2.9896
Iteration: 2494; Percent complete: 62.4%; Average loss: 3.4056
Iteration: 2495; Percent complete: 62.4%; Average loss: 3.2137
Iteration: 2496; Percent complete: 62.4%; Average loss: 2.9882
Iteration: 2497; Percent complete: 62.4%; Average loss: 3.1328
Iteration: 2498; Percent complete: 62.5%; Average loss: 2.9749
Iteration: 2499; Percent complete: 62.5%; Average loss: 3.0878
Iteration: 2500; Percent complete: 62.5%; Average loss: 3.1080
Iteration: 2501; Percent complete: 62.5%; Average loss: 2.9257
Iteration: 2502; Percent complete: 62.5%; Average loss: 2.9825
Iteration: 2503; Percent complete: 62.6%; Average loss: 3.1068
Iteration: 2504; Percent complete: 62.6%; Average loss: 2.9162
Iteration: 2505; Percent complete: 62.6%; Average loss: 3.0598
Iteration: 2506; Percent complete: 62.6%; Average loss: 2.9504
Iteration: 2507; Percent complete: 62.7%; Average loss: 3.1439
Iteration: 2508; Percent complete: 62.7%; Average loss: 3.0228
Iteration: 2509; Percent complete: 62.7%; Average loss: 2.9025
Iteration: 2510; Percent complete: 62.7%; Average loss: 2.8873
Iteration: 2511; Percent complete: 62.8%; Average loss: 2.8969
Iteration: 2512; Percent complete: 62.8%; Average loss: 3.0701
Iteration: 2513; Percent complete: 62.8%; Average loss: 3.0869
Iteration: 2514; Percent complete: 62.8%; Average loss: 2.7793
Iteration: 2515; Percent complete: 62.9%; Average loss: 2.8684
Iteration: 2516; Percent complete: 62.9%; Average loss: 3.0038
Iteration: 2517; Percent complete: 62.9%; Average loss: 3.2290
Iteration: 2518; Percent complete: 62.9%; Average loss: 2.9468
Iteration: 2519; Percent complete: 63.0%; Average loss: 3.2337
Iteration: 2520; Percent complete: 63.0%; Average loss: 2.7425
Iteration: 2521; Percent complete: 63.0%; Average loss: 3.1653
Iteration: 2522; Percent complete: 63.0%; Average loss: 2.9118
Iteration: 2523; Percent complete: 63.1%; Average loss: 3.0974
Iteration: 2524; Percent complete: 63.1%; Average loss: 2.8771
Iteration: 2525; Percent complete: 63.1%; Average loss: 3.0702
Iteration: 2526; Percent complete: 63.1%; Average loss: 2.9229
Iteration: 2527; Percent complete: 63.2%; Average loss: 3.2013
Iteration: 2528; Percent complete: 63.2%; Average loss: 2.9186
Iteration: 2529; Percent complete: 63.2%; Average loss: 3.0553
Iteration: 2530; Percent complete: 63.2%; Average loss: 3.1528
Iteration: 2531; Percent complete: 63.3%; Average loss: 2.9708
Iteration: 2532; Percent complete: 63.3%; Average loss: 2.9545
Iteration: 2533; Percent complete: 63.3%; Average loss: 3.1748
Iteration: 2534; Percent complete: 63.3%; Average loss: 2.8856
Iteration: 2535; Percent complete: 63.4%; Average loss: 3.1297
Iteration: 2536; Percent complete: 63.4%; Average loss: 2.9988
Iteration: 2537; Percent complete: 63.4%; Average loss: 2.7703
Iteration: 2538; Percent complete: 63.4%; Average loss: 3.1181
Iteration: 2539; Percent complete: 63.5%; Average loss: 3.1588
Iteration: 2540; Percent complete: 63.5%; Average loss: 3.0557
Iteration: 2541; Percent complete: 63.5%; Average loss: 3.0843
Iteration: 2542; Percent complete: 63.5%; Average loss: 2.9305
Iteration: 2543; Percent complete: 63.6%; Average loss: 3.1261
Iteration: 2544; Percent complete: 63.6%; Average loss: 2.9605
Iteration: 2545; Percent complete: 63.6%; Average loss: 3.0679
Iteration: 2546; Percent complete: 63.6%; Average loss: 2.8480
Iteration: 2547; Percent complete: 63.7%; Average loss: 3.1583
Iteration: 2548; Percent complete: 63.7%; Average loss: 3.3374
Iteration: 2549; Percent complete: 63.7%; Average loss: 3.1081
Iteration: 2550; Percent complete: 63.7%; Average loss: 2.7482
Iteration: 2551; Percent complete: 63.8%; Average loss: 2.8565
Iteration: 2552; Percent complete: 63.8%; Average loss: 2.8032
Iteration: 2553; Percent complete: 63.8%; Average loss: 2.9738
Iteration: 2554; Percent complete: 63.8%; Average loss: 2.9201
Iteration: 2555; Percent complete: 63.9%; Average loss: 3.1005
Iteration: 2556; Percent complete: 63.9%; Average loss: 3.0607
Iteration: 2557; Percent complete: 63.9%; Average loss: 3.0910
Iteration: 2558; Percent complete: 63.9%; Average loss: 2.9805
Iteration: 2559; Percent complete: 64.0%; Average loss: 2.9464
Iteration: 2560; Percent complete: 64.0%; Average loss: 2.9706
Iteration: 2561; Percent complete: 64.0%; Average loss: 3.0102
Iteration: 2562; Percent complete: 64.0%; Average loss: 3.1348
Iteration: 2563; Percent complete: 64.1%; Average loss: 2.8708
Iteration: 2564; Percent complete: 64.1%; Average loss: 3.0621
Iteration: 2565; Percent complete: 64.1%; Average loss: 2.9257
Iteration: 2566; Percent complete: 64.1%; Average loss: 2.8470
Iteration: 2567; Percent complete: 64.2%; Average loss: 3.0520
Iteration: 2568; Percent complete: 64.2%; Average loss: 3.1091
Iteration: 2569; Percent complete: 64.2%; Average loss: 3.0440
Iteration: 2570; Percent complete: 64.2%; Average loss: 3.0757
Iteration: 2571; Percent complete: 64.3%; Average loss: 2.9542
Iteration: 2572; Percent complete: 64.3%; Average loss: 3.0402
Iteration: 2573; Percent complete: 64.3%; Average loss: 2.9167
Iteration: 2574; Percent complete: 64.3%; Average loss: 3.0376
Iteration: 2575; Percent complete: 64.4%; Average loss: 2.8558
Iteration: 2576; Percent complete: 64.4%; Average loss: 2.8849
Iteration: 2577; Percent complete: 64.4%; Average loss: 2.8612
Iteration: 2578; Percent complete: 64.5%; Average loss: 2.9098
Iteration: 2579; Percent complete: 64.5%; Average loss: 2.9839
Iteration: 2580; Percent complete: 64.5%; Average loss: 3.1168
Iteration: 2581; Percent complete: 64.5%; Average loss: 3.0698
Iteration: 2582; Percent complete: 64.5%; Average loss: 2.9852
Iteration: 2583; Percent complete: 64.6%; Average loss: 2.9891
Iteration: 2584; Percent complete: 64.6%; Average loss: 2.9954
Iteration: 2585; Percent complete: 64.6%; Average loss: 3.0081
Iteration: 2586; Percent complete: 64.6%; Average loss: 3.0216
Iteration: 2587; Percent complete: 64.7%; Average loss: 3.2486
Iteration: 2588; Percent complete: 64.7%; Average loss: 3.0315
Iteration: 2589; Percent complete: 64.7%; Average loss: 2.8153
Iteration: 2590; Percent complete: 64.8%; Average loss: 3.0143
Iteration: 2591; Percent complete: 64.8%; Average loss: 3.1790
Iteration: 2592; Percent complete: 64.8%; Average loss: 3.0660
Iteration: 2593; Percent complete: 64.8%; Average loss: 2.9799
Iteration: 2594; Percent complete: 64.8%; Average loss: 3.1879
Iteration: 2595; Percent complete: 64.9%; Average loss: 3.0626
Iteration: 2596; Percent complete: 64.9%; Average loss: 2.9278
Iteration: 2597; Percent complete: 64.9%; Average loss: 2.9814
Iteration: 2598; Percent complete: 65.0%; Average loss: 2.8576
Iteration: 2599; Percent complete: 65.0%; Average loss: 2.9735
Iteration: 2600; Percent complete: 65.0%; Average loss: 3.1707
Iteration: 2601; Percent complete: 65.0%; Average loss: 2.7782
Iteration: 2602; Percent complete: 65.0%; Average loss: 2.7611
Iteration: 2603; Percent complete: 65.1%; Average loss: 2.6889
Iteration: 2604; Percent complete: 65.1%; Average loss: 2.8869
Iteration: 2605; Percent complete: 65.1%; Average loss: 2.9927
Iteration: 2606; Percent complete: 65.1%; Average loss: 2.8603
Iteration: 2607; Percent complete: 65.2%; Average loss: 2.9954
Iteration: 2608; Percent complete: 65.2%; Average loss: 3.0498
Iteration: 2609; Percent complete: 65.2%; Average loss: 2.9458
Iteration: 2610; Percent complete: 65.2%; Average loss: 2.9770
Iteration: 2611; Percent complete: 65.3%; Average loss: 3.0139
Iteration: 2612; Percent complete: 65.3%; Average loss: 3.1953
Iteration: 2613; Percent complete: 65.3%; Average loss: 2.9234
Iteration: 2614; Percent complete: 65.3%; Average loss: 2.9167
Iteration: 2615; Percent complete: 65.4%; Average loss: 2.9896
Iteration: 2616; Percent complete: 65.4%; Average loss: 2.9463
Iteration: 2617; Percent complete: 65.4%; Average loss: 2.9670
Iteration: 2618; Percent complete: 65.5%; Average loss: 3.0408
Iteration: 2619; Percent complete: 65.5%; Average loss: 2.9524
Iteration: 2620; Percent complete: 65.5%; Average loss: 3.2016
Iteration: 2621; Percent complete: 65.5%; Average loss: 2.8624
Iteration: 2622; Percent complete: 65.5%; Average loss: 2.8186
Iteration: 2623; Percent complete: 65.6%; Average loss: 2.9113
Iteration: 2624; Percent complete: 65.6%; Average loss: 2.8579
Iteration: 2625; Percent complete: 65.6%; Average loss: 3.0680
Iteration: 2626; Percent complete: 65.6%; Average loss: 2.9905
Iteration: 2627; Percent complete: 65.7%; Average loss: 2.9859
Iteration: 2628; Percent complete: 65.7%; Average loss: 3.0086
Iteration: 2629; Percent complete: 65.7%; Average loss: 2.7522
Iteration: 2630; Percent complete: 65.8%; Average loss: 2.9798
Iteration: 2631; Percent complete: 65.8%; Average loss: 3.1902
Iteration: 2632; Percent complete: 65.8%; Average loss: 2.8626
Iteration: 2633; Percent complete: 65.8%; Average loss: 2.9962
Iteration: 2634; Percent complete: 65.8%; Average loss: 2.9214
Iteration: 2635; Percent complete: 65.9%; Average loss: 3.0920
Iteration: 2636; Percent complete: 65.9%; Average loss: 2.8340
Iteration: 2637; Percent complete: 65.9%; Average loss: 2.9559
Iteration: 2638; Percent complete: 66.0%; Average loss: 2.8316
Iteration: 2639; Percent complete: 66.0%; Average loss: 2.8530
Iteration: 2640; Percent complete: 66.0%; Average loss: 2.8585
Iteration: 2641; Percent complete: 66.0%; Average loss: 2.9271
Iteration: 2642; Percent complete: 66.0%; Average loss: 3.0594
Iteration: 2643; Percent complete: 66.1%; Average loss: 3.0647
Iteration: 2644; Percent complete: 66.1%; Average loss: 2.8637
Iteration: 2645; Percent complete: 66.1%; Average loss: 3.0782
Iteration: 2646; Percent complete: 66.1%; Average loss: 3.3185
Iteration: 2647; Percent complete: 66.2%; Average loss: 2.9701
Iteration: 2648; Percent complete: 66.2%; Average loss: 2.9011
Iteration: 2649; Percent complete: 66.2%; Average loss: 2.8408
Iteration: 2650; Percent complete: 66.2%; Average loss: 2.8440
Iteration: 2651; Percent complete: 66.3%; Average loss: 2.9121
Iteration: 2652; Percent complete: 66.3%; Average loss: 3.1055
Iteration: 2653; Percent complete: 66.3%; Average loss: 2.9150
Iteration: 2654; Percent complete: 66.3%; Average loss: 2.7150
Iteration: 2655; Percent complete: 66.4%; Average loss: 2.9314
Iteration: 2656; Percent complete: 66.4%; Average loss: 3.1702
Iteration: 2657; Percent complete: 66.4%; Average loss: 2.8487
Iteration: 2658; Percent complete: 66.5%; Average loss: 2.7532
Iteration: 2659; Percent complete: 66.5%; Average loss: 3.2527
Iteration: 2660; Percent complete: 66.5%; Average loss: 3.0295
Iteration: 2661; Percent complete: 66.5%; Average loss: 2.9878
Iteration: 2662; Percent complete: 66.5%; Average loss: 2.8394
Iteration: 2663; Percent complete: 66.6%; Average loss: 3.2701
Iteration: 2664; Percent complete: 66.6%; Average loss: 2.8951
Iteration: 2665; Percent complete: 66.6%; Average loss: 3.0615
Iteration: 2666; Percent complete: 66.6%; Average loss: 2.8049
Iteration: 2667; Percent complete: 66.7%; Average loss: 2.9793
Iteration: 2668; Percent complete: 66.7%; Average loss: 2.9202
Iteration: 2669; Percent complete: 66.7%; Average loss: 3.1497
Iteration: 2670; Percent complete: 66.8%; Average loss: 3.1657
Iteration: 2671; Percent complete: 66.8%; Average loss: 2.9000
Iteration: 2672; Percent complete: 66.8%; Average loss: 3.1162
Iteration: 2673; Percent complete: 66.8%; Average loss: 3.0873
Iteration: 2674; Percent complete: 66.8%; Average loss: 2.8217
Iteration: 2675; Percent complete: 66.9%; Average loss: 2.9675
Iteration: 2676; Percent complete: 66.9%; Average loss: 2.9200
Iteration: 2677; Percent complete: 66.9%; Average loss: 2.9328
Iteration: 2678; Percent complete: 67.0%; Average loss: 2.9272
Iteration: 2679; Percent complete: 67.0%; Average loss: 2.7986
Iteration: 2680; Percent complete: 67.0%; Average loss: 3.0880
Iteration: 2681; Percent complete: 67.0%; Average loss: 2.7574
Iteration: 2682; Percent complete: 67.0%; Average loss: 2.9883
Iteration: 2683; Percent complete: 67.1%; Average loss: 2.8806
Iteration: 2684; Percent complete: 67.1%; Average loss: 2.9247
Iteration: 2685; Percent complete: 67.1%; Average loss: 2.8342
Iteration: 2686; Percent complete: 67.2%; Average loss: 2.8903
Iteration: 2687; Percent complete: 67.2%; Average loss: 3.0571
Iteration: 2688; Percent complete: 67.2%; Average loss: 2.8948
Iteration: 2689; Percent complete: 67.2%; Average loss: 2.8700
Iteration: 2690; Percent complete: 67.2%; Average loss: 3.0337
Iteration: 2691; Percent complete: 67.3%; Average loss: 2.6741
Iteration: 2692; Percent complete: 67.3%; Average loss: 3.0409
Iteration: 2693; Percent complete: 67.3%; Average loss: 3.3506
Iteration: 2694; Percent complete: 67.3%; Average loss: 3.0527
Iteration: 2695; Percent complete: 67.4%; Average loss: 3.0528
Iteration: 2696; Percent complete: 67.4%; Average loss: 2.8965
Iteration: 2697; Percent complete: 67.4%; Average loss: 2.9340
Iteration: 2698; Percent complete: 67.5%; Average loss: 3.1106
Iteration: 2699; Percent complete: 67.5%; Average loss: 2.7372
Iteration: 2700; Percent complete: 67.5%; Average loss: 2.8981
Iteration: 2701; Percent complete: 67.5%; Average loss: 3.0296
Iteration: 2702; Percent complete: 67.5%; Average loss: 2.8044
Iteration: 2703; Percent complete: 67.6%; Average loss: 2.8488
Iteration: 2704; Percent complete: 67.6%; Average loss: 3.3026
Iteration: 2705; Percent complete: 67.6%; Average loss: 2.7467
Iteration: 2706; Percent complete: 67.7%; Average loss: 2.7653
Iteration: 2707; Percent complete: 67.7%; Average loss: 2.7406
Iteration: 2708; Percent complete: 67.7%; Average loss: 2.9252
Iteration: 2709; Percent complete: 67.7%; Average loss: 3.1365
Iteration: 2710; Percent complete: 67.8%; Average loss: 2.9144
Iteration: 2711; Percent complete: 67.8%; Average loss: 2.9621
Iteration: 2712; Percent complete: 67.8%; Average loss: 3.0362
Iteration: 2713; Percent complete: 67.8%; Average loss: 3.0200
Iteration: 2714; Percent complete: 67.8%; Average loss: 3.0619
Iteration: 2715; Percent complete: 67.9%; Average loss: 3.0487
Iteration: 2716; Percent complete: 67.9%; Average loss: 2.8913
Iteration: 2717; Percent complete: 67.9%; Average loss: 2.6736
Iteration: 2718; Percent complete: 68.0%; Average loss: 2.7712
Iteration: 2719; Percent complete: 68.0%; Average loss: 2.8908
Iteration: 2720; Percent complete: 68.0%; Average loss: 2.9232
Iteration: 2721; Percent complete: 68.0%; Average loss: 2.9377
Iteration: 2722; Percent complete: 68.0%; Average loss: 2.9749
Iteration: 2723; Percent complete: 68.1%; Average loss: 3.0980
Iteration: 2724; Percent complete: 68.1%; Average loss: 3.0768
Iteration: 2725; Percent complete: 68.1%; Average loss: 3.1177
Iteration: 2726; Percent complete: 68.2%; Average loss: 2.7659
Iteration: 2727; Percent complete: 68.2%; Average loss: 3.1200
Iteration: 2728; Percent complete: 68.2%; Average loss: 2.7873
Iteration: 2729; Percent complete: 68.2%; Average loss: 2.7816
Iteration: 2730; Percent complete: 68.2%; Average loss: 3.0331
Iteration: 2731; Percent complete: 68.3%; Average loss: 2.9194
Iteration: 2732; Percent complete: 68.3%; Average loss: 3.0926
Iteration: 2733; Percent complete: 68.3%; Average loss: 2.9461
Iteration: 2734; Percent complete: 68.3%; Average loss: 3.1049
Iteration: 2735; Percent complete: 68.4%; Average loss: 2.8133
Iteration: 2736; Percent complete: 68.4%; Average loss: 3.0879
Iteration: 2737; Percent complete: 68.4%; Average loss: 2.9032
Iteration: 2738; Percent complete: 68.5%; Average loss: 2.8823
Iteration: 2739; Percent complete: 68.5%; Average loss: 2.9490
Iteration: 2740; Percent complete: 68.5%; Average loss: 3.0270
Iteration: 2741; Percent complete: 68.5%; Average loss: 2.7191
Iteration: 2742; Percent complete: 68.5%; Average loss: 3.0975
Iteration: 2743; Percent complete: 68.6%; Average loss: 2.8311
Iteration: 2744; Percent complete: 68.6%; Average loss: 3.0594
Iteration: 2745; Percent complete: 68.6%; Average loss: 3.1765
Iteration: 2746; Percent complete: 68.7%; Average loss: 2.8304
Iteration: 2747; Percent complete: 68.7%; Average loss: 2.6258
Iteration: 2748; Percent complete: 68.7%; Average loss: 2.6843
Iteration: 2749; Percent complete: 68.7%; Average loss: 2.9494
Iteration: 2750; Percent complete: 68.8%; Average loss: 2.8965
Iteration: 2751; Percent complete: 68.8%; Average loss: 2.8449
Iteration: 2752; Percent complete: 68.8%; Average loss: 3.0316
Iteration: 2753; Percent complete: 68.8%; Average loss: 2.9177
Iteration: 2754; Percent complete: 68.8%; Average loss: 2.8545
Iteration: 2755; Percent complete: 68.9%; Average loss: 3.1513
Iteration: 2756; Percent complete: 68.9%; Average loss: 2.7856
Iteration: 2757; Percent complete: 68.9%; Average loss: 3.0455
Iteration: 2758; Percent complete: 69.0%; Average loss: 3.2349
Iteration: 2759; Percent complete: 69.0%; Average loss: 2.7844
Iteration: 2760; Percent complete: 69.0%; Average loss: 2.9138
Iteration: 2761; Percent complete: 69.0%; Average loss: 2.9339
Iteration: 2762; Percent complete: 69.0%; Average loss: 2.8063
Iteration: 2763; Percent complete: 69.1%; Average loss: 2.9822
Iteration: 2764; Percent complete: 69.1%; Average loss: 2.9202
Iteration: 2765; Percent complete: 69.1%; Average loss: 2.8963
Iteration: 2766; Percent complete: 69.2%; Average loss: 3.0346
Iteration: 2767; Percent complete: 69.2%; Average loss: 2.9595
Iteration: 2768; Percent complete: 69.2%; Average loss: 2.8450
Iteration: 2769; Percent complete: 69.2%; Average loss: 3.1967
Iteration: 2770; Percent complete: 69.2%; Average loss: 3.0087
Iteration: 2771; Percent complete: 69.3%; Average loss: 2.9531
Iteration: 2772; Percent complete: 69.3%; Average loss: 3.0340
Iteration: 2773; Percent complete: 69.3%; Average loss: 2.7423
Iteration: 2774; Percent complete: 69.3%; Average loss: 3.0470
Iteration: 2775; Percent complete: 69.4%; Average loss: 2.8346
Iteration: 2776; Percent complete: 69.4%; Average loss: 3.0222
Iteration: 2777; Percent complete: 69.4%; Average loss: 3.2579
Iteration: 2778; Percent complete: 69.5%; Average loss: 2.9036
Iteration: 2779; Percent complete: 69.5%; Average loss: 2.9849
Iteration: 2780; Percent complete: 69.5%; Average loss: 3.0664
Iteration: 2781; Percent complete: 69.5%; Average loss: 2.9052
Iteration: 2782; Percent complete: 69.5%; Average loss: 3.0583
Iteration: 2783; Percent complete: 69.6%; Average loss: 2.9181
Iteration: 2784; Percent complete: 69.6%; Average loss: 2.6689
Iteration: 2785; Percent complete: 69.6%; Average loss: 2.9068
Iteration: 2786; Percent complete: 69.7%; Average loss: 3.0569
Iteration: 2787; Percent complete: 69.7%; Average loss: 3.0266
Iteration: 2788; Percent complete: 69.7%; Average loss: 2.8468
Iteration: 2789; Percent complete: 69.7%; Average loss: 2.9597
Iteration: 2790; Percent complete: 69.8%; Average loss: 2.9474
Iteration: 2791; Percent complete: 69.8%; Average loss: 2.9837
Iteration: 2792; Percent complete: 69.8%; Average loss: 3.0416
Iteration: 2793; Percent complete: 69.8%; Average loss: 2.8991
Iteration: 2794; Percent complete: 69.8%; Average loss: 2.9753
Iteration: 2795; Percent complete: 69.9%; Average loss: 2.8737
Iteration: 2796; Percent complete: 69.9%; Average loss: 2.9400
Iteration: 2797; Percent complete: 69.9%; Average loss: 3.1785
Iteration: 2798; Percent complete: 70.0%; Average loss: 2.7581
Iteration: 2799; Percent complete: 70.0%; Average loss: 3.0303
Iteration: 2800; Percent complete: 70.0%; Average loss: 3.0714
Iteration: 2801; Percent complete: 70.0%; Average loss: 2.9746
Iteration: 2802; Percent complete: 70.0%; Average loss: 2.9306
Iteration: 2803; Percent complete: 70.1%; Average loss: 2.8197
Iteration: 2804; Percent complete: 70.1%; Average loss: 2.7409
Iteration: 2805; Percent complete: 70.1%; Average loss: 2.7853
Iteration: 2806; Percent complete: 70.2%; Average loss: 2.9684
Iteration: 2807; Percent complete: 70.2%; Average loss: 2.9160
Iteration: 2808; Percent complete: 70.2%; Average loss: 3.1063
Iteration: 2809; Percent complete: 70.2%; Average loss: 2.8601
Iteration: 2810; Percent complete: 70.2%; Average loss: 2.7781
Iteration: 2811; Percent complete: 70.3%; Average loss: 3.2039
Iteration: 2812; Percent complete: 70.3%; Average loss: 2.6136
Iteration: 2813; Percent complete: 70.3%; Average loss: 2.7834
Iteration: 2814; Percent complete: 70.3%; Average loss: 2.8382
Iteration: 2815; Percent complete: 70.4%; Average loss: 2.9755
Iteration: 2816; Percent complete: 70.4%; Average loss: 2.9994
Iteration: 2817; Percent complete: 70.4%; Average loss: 3.0641
Iteration: 2818; Percent complete: 70.5%; Average loss: 2.8964
Iteration: 2819; Percent complete: 70.5%; Average loss: 2.8148
Iteration: 2820; Percent complete: 70.5%; Average loss: 2.9233
Iteration: 2821; Percent complete: 70.5%; Average loss: 2.8138
Iteration: 2822; Percent complete: 70.5%; Average loss: 2.9521
Iteration: 2823; Percent complete: 70.6%; Average loss: 3.0421
Iteration: 2824; Percent complete: 70.6%; Average loss: 3.0605
Iteration: 2825; Percent complete: 70.6%; Average loss: 2.7262
Iteration: 2826; Percent complete: 70.7%; Average loss: 2.9212
Iteration: 2827; Percent complete: 70.7%; Average loss: 2.7812
Iteration: 2828; Percent complete: 70.7%; Average loss: 2.8680
Iteration: 2829; Percent complete: 70.7%; Average loss: 2.7903
Iteration: 2830; Percent complete: 70.8%; Average loss: 2.7876
Iteration: 2831; Percent complete: 70.8%; Average loss: 2.6852
Iteration: 2832; Percent complete: 70.8%; Average loss: 2.6131
Iteration: 2833; Percent complete: 70.8%; Average loss: 2.9779
Iteration: 2834; Percent complete: 70.9%; Average loss: 2.9711
Iteration: 2835; Percent complete: 70.9%; Average loss: 2.8616
Iteration: 2836; Percent complete: 70.9%; Average loss: 3.0822
Iteration: 2837; Percent complete: 70.9%; Average loss: 2.7752
Iteration: 2838; Percent complete: 71.0%; Average loss: 2.7229
Iteration: 2839; Percent complete: 71.0%; Average loss: 2.8937
Iteration: 2840; Percent complete: 71.0%; Average loss: 2.8619
Iteration: 2841; Percent complete: 71.0%; Average loss: 2.8760
Iteration: 2842; Percent complete: 71.0%; Average loss: 2.8731
Iteration: 2843; Percent complete: 71.1%; Average loss: 2.9232
Iteration: 2844; Percent complete: 71.1%; Average loss: 3.1719
Iteration: 2845; Percent complete: 71.1%; Average loss: 2.8949
Iteration: 2846; Percent complete: 71.2%; Average loss: 2.9031
Iteration: 2847; Percent complete: 71.2%; Average loss: 3.0592
Iteration: 2848; Percent complete: 71.2%; Average loss: 3.3222
Iteration: 2849; Percent complete: 71.2%; Average loss: 3.0896
Iteration: 2850; Percent complete: 71.2%; Average loss: 2.8437
Iteration: 2851; Percent complete: 71.3%; Average loss: 3.0823
Iteration: 2852; Percent complete: 71.3%; Average loss: 2.8743
Iteration: 2853; Percent complete: 71.3%; Average loss: 2.9893
Iteration: 2854; Percent complete: 71.4%; Average loss: 2.9704
Iteration: 2855; Percent complete: 71.4%; Average loss: 2.9152
Iteration: 2856; Percent complete: 71.4%; Average loss: 2.7074
Iteration: 2857; Percent complete: 71.4%; Average loss: 3.0895
Iteration: 2858; Percent complete: 71.5%; Average loss: 2.9330
Iteration: 2859; Percent complete: 71.5%; Average loss: 3.1062
Iteration: 2860; Percent complete: 71.5%; Average loss: 2.9980
Iteration: 2861; Percent complete: 71.5%; Average loss: 2.8327
Iteration: 2862; Percent complete: 71.5%; Average loss: 2.9858
Iteration: 2863; Percent complete: 71.6%; Average loss: 2.6355
Iteration: 2864; Percent complete: 71.6%; Average loss: 2.9862
Iteration: 2865; Percent complete: 71.6%; Average loss: 2.9675
Iteration: 2866; Percent complete: 71.7%; Average loss: 3.1772
Iteration: 2867; Percent complete: 71.7%; Average loss: 2.6490
Iteration: 2868; Percent complete: 71.7%; Average loss: 2.9753
Iteration: 2869; Percent complete: 71.7%; Average loss: 2.7095
Iteration: 2870; Percent complete: 71.8%; Average loss: 2.8983
Iteration: 2871; Percent complete: 71.8%; Average loss: 2.8297
Iteration: 2872; Percent complete: 71.8%; Average loss: 2.6623
Iteration: 2873; Percent complete: 71.8%; Average loss: 2.9554
Iteration: 2874; Percent complete: 71.9%; Average loss: 3.0004
Iteration: 2875; Percent complete: 71.9%; Average loss: 2.8752
Iteration: 2876; Percent complete: 71.9%; Average loss: 2.9788
Iteration: 2877; Percent complete: 71.9%; Average loss: 2.7806
Iteration: 2878; Percent complete: 72.0%; Average loss: 3.1718
Iteration: 2879; Percent complete: 72.0%; Average loss: 2.9298
Iteration: 2880; Percent complete: 72.0%; Average loss: 3.0646
Iteration: 2881; Percent complete: 72.0%; Average loss: 2.7711
Iteration: 2882; Percent complete: 72.0%; Average loss: 2.8502
Iteration: 2883; Percent complete: 72.1%; Average loss: 2.9491
Iteration: 2884; Percent complete: 72.1%; Average loss: 2.7055
Iteration: 2885; Percent complete: 72.1%; Average loss: 2.9845
Iteration: 2886; Percent complete: 72.2%; Average loss: 3.2103
Iteration: 2887; Percent complete: 72.2%; Average loss: 2.7198
Iteration: 2888; Percent complete: 72.2%; Average loss: 2.6680
Iteration: 2889; Percent complete: 72.2%; Average loss: 3.0067
Iteration: 2890; Percent complete: 72.2%; Average loss: 2.8077
Iteration: 2891; Percent complete: 72.3%; Average loss: 2.9119
Iteration: 2892; Percent complete: 72.3%; Average loss: 2.7995
Iteration: 2893; Percent complete: 72.3%; Average loss: 3.0603
Iteration: 2894; Percent complete: 72.4%; Average loss: 3.0153
Iteration: 2895; Percent complete: 72.4%; Average loss: 3.0406
Iteration: 2896; Percent complete: 72.4%; Average loss: 3.0116
Iteration: 2897; Percent complete: 72.4%; Average loss: 3.0602
Iteration: 2898; Percent complete: 72.5%; Average loss: 2.9077
Iteration: 2899; Percent complete: 72.5%; Average loss: 2.9060
Iteration: 2900; Percent complete: 72.5%; Average loss: 2.6464
Iteration: 2901; Percent complete: 72.5%; Average loss: 2.9837
Iteration: 2902; Percent complete: 72.5%; Average loss: 2.8892
Iteration: 2903; Percent complete: 72.6%; Average loss: 3.0262
Iteration: 2904; Percent complete: 72.6%; Average loss: 2.8620
Iteration: 2905; Percent complete: 72.6%; Average loss: 2.8128
Iteration: 2906; Percent complete: 72.7%; Average loss: 2.8888
Iteration: 2907; Percent complete: 72.7%; Average loss: 2.8854
Iteration: 2908; Percent complete: 72.7%; Average loss: 2.6898
Iteration: 2909; Percent complete: 72.7%; Average loss: 2.9794
Iteration: 2910; Percent complete: 72.8%; Average loss: 3.0014
Iteration: 2911; Percent complete: 72.8%; Average loss: 2.9423
Iteration: 2912; Percent complete: 72.8%; Average loss: 2.7881
Iteration: 2913; Percent complete: 72.8%; Average loss: 2.9963
Iteration: 2914; Percent complete: 72.9%; Average loss: 2.9115
Iteration: 2915; Percent complete: 72.9%; Average loss: 2.8883
Iteration: 2916; Percent complete: 72.9%; Average loss: 2.7732
Iteration: 2917; Percent complete: 72.9%; Average loss: 2.7037
Iteration: 2918; Percent complete: 73.0%; Average loss: 2.8376
Iteration: 2919; Percent complete: 73.0%; Average loss: 2.9026
Iteration: 2920; Percent complete: 73.0%; Average loss: 2.8651
Iteration: 2921; Percent complete: 73.0%; Average loss: 2.6757
Iteration: 2922; Percent complete: 73.0%; Average loss: 2.5981
Iteration: 2923; Percent complete: 73.1%; Average loss: 3.0302
Iteration: 2924; Percent complete: 73.1%; Average loss: 2.8792
Iteration: 2925; Percent complete: 73.1%; Average loss: 3.0565
Iteration: 2926; Percent complete: 73.2%; Average loss: 2.9728
Iteration: 2927; Percent complete: 73.2%; Average loss: 2.9624
Iteration: 2928; Percent complete: 73.2%; Average loss: 3.0049
Iteration: 2929; Percent complete: 73.2%; Average loss: 2.9146
Iteration: 2930; Percent complete: 73.2%; Average loss: 2.7518
Iteration: 2931; Percent complete: 73.3%; Average loss: 2.9335
Iteration: 2932; Percent complete: 73.3%; Average loss: 2.7307
Iteration: 2933; Percent complete: 73.3%; Average loss: 2.7822
Iteration: 2934; Percent complete: 73.4%; Average loss: 2.9507
Iteration: 2935; Percent complete: 73.4%; Average loss: 2.9654
Iteration: 2936; Percent complete: 73.4%; Average loss: 2.7882
Iteration: 2937; Percent complete: 73.4%; Average loss: 2.8019
Iteration: 2938; Percent complete: 73.5%; Average loss: 2.9257
Iteration: 2939; Percent complete: 73.5%; Average loss: 2.9277
Iteration: 2940; Percent complete: 73.5%; Average loss: 2.8359
Iteration: 2941; Percent complete: 73.5%; Average loss: 2.7995
Iteration: 2942; Percent complete: 73.6%; Average loss: 2.7255
Iteration: 2943; Percent complete: 73.6%; Average loss: 2.9238
Iteration: 2944; Percent complete: 73.6%; Average loss: 2.8018
Iteration: 2945; Percent complete: 73.6%; Average loss: 2.6552
Iteration: 2946; Percent complete: 73.7%; Average loss: 2.9226
Iteration: 2947; Percent complete: 73.7%; Average loss: 2.8783
Iteration: 2948; Percent complete: 73.7%; Average loss: 3.0448
Iteration: 2949; Percent complete: 73.7%; Average loss: 2.8591
Iteration: 2950; Percent complete: 73.8%; Average loss: 2.8141
Iteration: 2951; Percent complete: 73.8%; Average loss: 2.8570
Iteration: 2952; Percent complete: 73.8%; Average loss: 2.9013
Iteration: 2953; Percent complete: 73.8%; Average loss: 2.8727
Iteration: 2954; Percent complete: 73.9%; Average loss: 2.7182
Iteration: 2955; Percent complete: 73.9%; Average loss: 2.8241
Iteration: 2956; Percent complete: 73.9%; Average loss: 2.9270
Iteration: 2957; Percent complete: 73.9%; Average loss: 2.8731
Iteration: 2958; Percent complete: 74.0%; Average loss: 2.7412
Iteration: 2959; Percent complete: 74.0%; Average loss: 2.7711
Iteration: 2960; Percent complete: 74.0%; Average loss: 3.0114
Iteration: 2961; Percent complete: 74.0%; Average loss: 2.7745
Iteration: 2962; Percent complete: 74.1%; Average loss: 2.8293
Iteration: 2963; Percent complete: 74.1%; Average loss: 2.8624
Iteration: 2964; Percent complete: 74.1%; Average loss: 2.8772
Iteration: 2965; Percent complete: 74.1%; Average loss: 2.8951
Iteration: 2966; Percent complete: 74.2%; Average loss: 3.0033
Iteration: 2967; Percent complete: 74.2%; Average loss: 2.9771
Iteration: 2968; Percent complete: 74.2%; Average loss: 2.8691
Iteration: 2969; Percent complete: 74.2%; Average loss: 2.7210
Iteration: 2970; Percent complete: 74.2%; Average loss: 2.7445
Iteration: 2971; Percent complete: 74.3%; Average loss: 2.6690
Iteration: 2972; Percent complete: 74.3%; Average loss: 2.7879
Iteration: 2973; Percent complete: 74.3%; Average loss: 2.7057
Iteration: 2974; Percent complete: 74.4%; Average loss: 2.9126
Iteration: 2975; Percent complete: 74.4%; Average loss: 2.7525
Iteration: 2976; Percent complete: 74.4%; Average loss: 3.0324
Iteration: 2977; Percent complete: 74.4%; Average loss: 2.7745
Iteration: 2978; Percent complete: 74.5%; Average loss: 2.7928
Iteration: 2979; Percent complete: 74.5%; Average loss: 2.9503
Iteration: 2980; Percent complete: 74.5%; Average loss: 2.9329
Iteration: 2981; Percent complete: 74.5%; Average loss: 2.6572
Iteration: 2982; Percent complete: 74.6%; Average loss: 2.9610
Iteration: 2983; Percent complete: 74.6%; Average loss: 2.9876
Iteration: 2984; Percent complete: 74.6%; Average loss: 2.9617
Iteration: 2985; Percent complete: 74.6%; Average loss: 2.8090
Iteration: 2986; Percent complete: 74.7%; Average loss: 2.8834
Iteration: 2987; Percent complete: 74.7%; Average loss: 2.7431
Iteration: 2988; Percent complete: 74.7%; Average loss: 2.7992
Iteration: 2989; Percent complete: 74.7%; Average loss: 2.7527
Iteration: 2990; Percent complete: 74.8%; Average loss: 3.1271
Iteration: 2991; Percent complete: 74.8%; Average loss: 3.1090
Iteration: 2992; Percent complete: 74.8%; Average loss: 2.6372
Iteration: 2993; Percent complete: 74.8%; Average loss: 2.9032
Iteration: 2994; Percent complete: 74.9%; Average loss: 2.9211
Iteration: 2995; Percent complete: 74.9%; Average loss: 2.7933
Iteration: 2996; Percent complete: 74.9%; Average loss: 3.0074
Iteration: 2997; Percent complete: 74.9%; Average loss: 2.7918
Iteration: 2998; Percent complete: 75.0%; Average loss: 2.9072
Iteration: 2999; Percent complete: 75.0%; Average loss: 2.9353
Iteration: 3000; Percent complete: 75.0%; Average loss: 2.8033
Iteration: 3001; Percent complete: 75.0%; Average loss: 3.1197
Iteration: 3002; Percent complete: 75.0%; Average loss: 2.8681
Iteration: 3003; Percent complete: 75.1%; Average loss: 2.8295
Iteration: 3004; Percent complete: 75.1%; Average loss: 2.9043
Iteration: 3005; Percent complete: 75.1%; Average loss: 3.0175
Iteration: 3006; Percent complete: 75.1%; Average loss: 3.0996
Iteration: 3007; Percent complete: 75.2%; Average loss: 2.7765
Iteration: 3008; Percent complete: 75.2%; Average loss: 2.7744
Iteration: 3009; Percent complete: 75.2%; Average loss: 2.9914
Iteration: 3010; Percent complete: 75.2%; Average loss: 2.6687
Iteration: 3011; Percent complete: 75.3%; Average loss: 2.9240
Iteration: 3012; Percent complete: 75.3%; Average loss: 3.0119
Iteration: 3013; Percent complete: 75.3%; Average loss: 2.8106
Iteration: 3014; Percent complete: 75.3%; Average loss: 2.8795
Iteration: 3015; Percent complete: 75.4%; Average loss: 2.8971
Iteration: 3016; Percent complete: 75.4%; Average loss: 2.9282
Iteration: 3017; Percent complete: 75.4%; Average loss: 2.9620
Iteration: 3018; Percent complete: 75.4%; Average loss: 3.1576
Iteration: 3019; Percent complete: 75.5%; Average loss: 2.7085
Iteration: 3020; Percent complete: 75.5%; Average loss: 2.6654
Iteration: 3021; Percent complete: 75.5%; Average loss: 2.9427
Iteration: 3022; Percent complete: 75.5%; Average loss: 2.8046
Iteration: 3023; Percent complete: 75.6%; Average loss: 2.9883
Iteration: 3024; Percent complete: 75.6%; Average loss: 3.0467
Iteration: 3025; Percent complete: 75.6%; Average loss: 2.8620
Iteration: 3026; Percent complete: 75.6%; Average loss: 2.9744
Iteration: 3027; Percent complete: 75.7%; Average loss: 2.9281
Iteration: 3028; Percent complete: 75.7%; Average loss: 2.7632
Iteration: 3029; Percent complete: 75.7%; Average loss: 2.8638
Iteration: 3030; Percent complete: 75.8%; Average loss: 2.7280
Iteration: 3031; Percent complete: 75.8%; Average loss: 2.7836
Iteration: 3032; Percent complete: 75.8%; Average loss: 2.9923
Iteration: 3033; Percent complete: 75.8%; Average loss: 2.7637
Iteration: 3034; Percent complete: 75.8%; Average loss: 2.9104
Iteration: 3035; Percent complete: 75.9%; Average loss: 2.6662
Iteration: 3036; Percent complete: 75.9%; Average loss: 2.6361
Iteration: 3037; Percent complete: 75.9%; Average loss: 3.0003
Iteration: 3038; Percent complete: 75.9%; Average loss: 2.5503
Iteration: 3039; Percent complete: 76.0%; Average loss: 2.9598
Iteration: 3040; Percent complete: 76.0%; Average loss: 2.7260
Iteration: 3041; Percent complete: 76.0%; Average loss: 2.9152
Iteration: 3042; Percent complete: 76.0%; Average loss: 2.7564
Iteration: 3043; Percent complete: 76.1%; Average loss: 2.7994
Iteration: 3044; Percent complete: 76.1%; Average loss: 3.1061
Iteration: 3045; Percent complete: 76.1%; Average loss: 3.0391
Iteration: 3046; Percent complete: 76.1%; Average loss: 3.1023
Iteration: 3047; Percent complete: 76.2%; Average loss: 2.8376
Iteration: 3048; Percent complete: 76.2%; Average loss: 2.5523
Iteration: 3049; Percent complete: 76.2%; Average loss: 3.0774
Iteration: 3050; Percent complete: 76.2%; Average loss: 3.0831
Iteration: 3051; Percent complete: 76.3%; Average loss: 3.1142
Iteration: 3052; Percent complete: 76.3%; Average loss: 2.7702
Iteration: 3053; Percent complete: 76.3%; Average loss: 2.9681
Iteration: 3054; Percent complete: 76.3%; Average loss: 2.8773
Iteration: 3055; Percent complete: 76.4%; Average loss: 2.8150
Iteration: 3056; Percent complete: 76.4%; Average loss: 3.0979
Iteration: 3057; Percent complete: 76.4%; Average loss: 2.9516
Iteration: 3058; Percent complete: 76.4%; Average loss: 2.8786
Iteration: 3059; Percent complete: 76.5%; Average loss: 2.8072
Iteration: 3060; Percent complete: 76.5%; Average loss: 2.6749
Iteration: 3061; Percent complete: 76.5%; Average loss: 3.0601
Iteration: 3062; Percent complete: 76.5%; Average loss: 2.8119
Iteration: 3063; Percent complete: 76.6%; Average loss: 2.8755
Iteration: 3064; Percent complete: 76.6%; Average loss: 2.8265
Iteration: 3065; Percent complete: 76.6%; Average loss: 2.8519
Iteration: 3066; Percent complete: 76.6%; Average loss: 2.8772
Iteration: 3067; Percent complete: 76.7%; Average loss: 2.8504
Iteration: 3068; Percent complete: 76.7%; Average loss: 2.8307
Iteration: 3069; Percent complete: 76.7%; Average loss: 2.7925
Iteration: 3070; Percent complete: 76.8%; Average loss: 2.8438
Iteration: 3071; Percent complete: 76.8%; Average loss: 2.7879
Iteration: 3072; Percent complete: 76.8%; Average loss: 3.0916
Iteration: 3073; Percent complete: 76.8%; Average loss: 2.9906
Iteration: 3074; Percent complete: 76.8%; Average loss: 2.7965
Iteration: 3075; Percent complete: 76.9%; Average loss: 2.8849
Iteration: 3076; Percent complete: 76.9%; Average loss: 2.7539
Iteration: 3077; Percent complete: 76.9%; Average loss: 2.7934
Iteration: 3078; Percent complete: 77.0%; Average loss: 2.9248
Iteration: 3079; Percent complete: 77.0%; Average loss: 2.9832
Iteration: 3080; Percent complete: 77.0%; Average loss: 2.8521
Iteration: 3081; Percent complete: 77.0%; Average loss: 2.9840
Iteration: 3082; Percent complete: 77.0%; Average loss: 2.5764
Iteration: 3083; Percent complete: 77.1%; Average loss: 2.9680
Iteration: 3084; Percent complete: 77.1%; Average loss: 3.0244
Iteration: 3085; Percent complete: 77.1%; Average loss: 2.9105
Iteration: 3086; Percent complete: 77.1%; Average loss: 2.8470
Iteration: 3087; Percent complete: 77.2%; Average loss: 2.8531
Iteration: 3088; Percent complete: 77.2%; Average loss: 2.8806
Iteration: 3089; Percent complete: 77.2%; Average loss: 2.6838
Iteration: 3090; Percent complete: 77.2%; Average loss: 2.8237
Iteration: 3091; Percent complete: 77.3%; Average loss: 2.7793
Iteration: 3092; Percent complete: 77.3%; Average loss: 2.7094
Iteration: 3093; Percent complete: 77.3%; Average loss: 2.8999
Iteration: 3094; Percent complete: 77.3%; Average loss: 2.6413
Iteration: 3095; Percent complete: 77.4%; Average loss: 2.7872
Iteration: 3096; Percent complete: 77.4%; Average loss: 2.8134
Iteration: 3097; Percent complete: 77.4%; Average loss: 2.7751
Iteration: 3098; Percent complete: 77.5%; Average loss: 2.8873
Iteration: 3099; Percent complete: 77.5%; Average loss: 2.6736
Iteration: 3100; Percent complete: 77.5%; Average loss: 2.9758
Iteration: 3101; Percent complete: 77.5%; Average loss: 2.6574
Iteration: 3102; Percent complete: 77.5%; Average loss: 2.8223
Iteration: 3103; Percent complete: 77.6%; Average loss: 2.7847
Iteration: 3104; Percent complete: 77.6%; Average loss: 2.8514
Iteration: 3105; Percent complete: 77.6%; Average loss: 3.0227
Iteration: 3106; Percent complete: 77.6%; Average loss: 3.0880
Iteration: 3107; Percent complete: 77.7%; Average loss: 2.8236
Iteration: 3108; Percent complete: 77.7%; Average loss: 2.7271
Iteration: 3109; Percent complete: 77.7%; Average loss: 3.1043
Iteration: 3110; Percent complete: 77.8%; Average loss: 2.7422
Iteration: 3111; Percent complete: 77.8%; Average loss: 2.7845
Iteration: 3112; Percent complete: 77.8%; Average loss: 3.0517
Iteration: 3113; Percent complete: 77.8%; Average loss: 2.9910
Iteration: 3114; Percent complete: 77.8%; Average loss: 2.8881
Iteration: 3115; Percent complete: 77.9%; Average loss: 2.9529
Iteration: 3116; Percent complete: 77.9%; Average loss: 2.8776
Iteration: 3117; Percent complete: 77.9%; Average loss: 2.8856
Iteration: 3118; Percent complete: 78.0%; Average loss: 2.7763
Iteration: 3119; Percent complete: 78.0%; Average loss: 2.7658
Iteration: 3120; Percent complete: 78.0%; Average loss: 3.0811
Iteration: 3121; Percent complete: 78.0%; Average loss: 2.8922
Iteration: 3122; Percent complete: 78.0%; Average loss: 2.9038
Iteration: 3123; Percent complete: 78.1%; Average loss: 2.6259
Iteration: 3124; Percent complete: 78.1%; Average loss: 2.9860
Iteration: 3125; Percent complete: 78.1%; Average loss: 2.9228
Iteration: 3126; Percent complete: 78.1%; Average loss: 2.9605
Iteration: 3127; Percent complete: 78.2%; Average loss: 2.6122
Iteration: 3128; Percent complete: 78.2%; Average loss: 2.9346
Iteration: 3129; Percent complete: 78.2%; Average loss: 2.7711
Iteration: 3130; Percent complete: 78.2%; Average loss: 2.9921
Iteration: 3131; Percent complete: 78.3%; Average loss: 2.8520
Iteration: 3132; Percent complete: 78.3%; Average loss: 2.6945
Iteration: 3133; Percent complete: 78.3%; Average loss: 2.6708
Iteration: 3134; Percent complete: 78.3%; Average loss: 2.9367
Iteration: 3135; Percent complete: 78.4%; Average loss: 2.7245
Iteration: 3136; Percent complete: 78.4%; Average loss: 2.5524
Iteration: 3137; Percent complete: 78.4%; Average loss: 2.8539
Iteration: 3138; Percent complete: 78.5%; Average loss: 2.9161
Iteration: 3139; Percent complete: 78.5%; Average loss: 2.7844
Iteration: 3140; Percent complete: 78.5%; Average loss: 2.9029
Iteration: 3141; Percent complete: 78.5%; Average loss: 2.7056
Iteration: 3142; Percent complete: 78.5%; Average loss: 2.7236
Iteration: 3143; Percent complete: 78.6%; Average loss: 2.7049
Iteration: 3144; Percent complete: 78.6%; Average loss: 2.9275
Iteration: 3145; Percent complete: 78.6%; Average loss: 2.8677
Iteration: 3146; Percent complete: 78.6%; Average loss: 3.0389
Iteration: 3147; Percent complete: 78.7%; Average loss: 2.8225
Iteration: 3148; Percent complete: 78.7%; Average loss: 2.8860
Iteration: 3149; Percent complete: 78.7%; Average loss: 2.7363
Iteration: 3150; Percent complete: 78.8%; Average loss: 2.8932
Iteration: 3151; Percent complete: 78.8%; Average loss: 2.8991
Iteration: 3152; Percent complete: 78.8%; Average loss: 2.9996
Iteration: 3153; Percent complete: 78.8%; Average loss: 2.8277
Iteration: 3154; Percent complete: 78.8%; Average loss: 2.9905
Iteration: 3155; Percent complete: 78.9%; Average loss: 2.6937
Iteration: 3156; Percent complete: 78.9%; Average loss: 2.7659
Iteration: 3157; Percent complete: 78.9%; Average loss: 3.1022
Iteration: 3158; Percent complete: 79.0%; Average loss: 2.5459
Iteration: 3159; Percent complete: 79.0%; Average loss: 2.9510
Iteration: 3160; Percent complete: 79.0%; Average loss: 2.7243
Iteration: 3161; Percent complete: 79.0%; Average loss: 2.8256
Iteration: 3162; Percent complete: 79.0%; Average loss: 3.3057
Iteration: 3163; Percent complete: 79.1%; Average loss: 2.9122
Iteration: 3164; Percent complete: 79.1%; Average loss: 2.7361
Iteration: 3165; Percent complete: 79.1%; Average loss: 2.7218
Iteration: 3166; Percent complete: 79.1%; Average loss: 2.8924
Iteration: 3167; Percent complete: 79.2%; Average loss: 2.7346
Iteration: 3168; Percent complete: 79.2%; Average loss: 2.5894
Iteration: 3169; Percent complete: 79.2%; Average loss: 2.7852
Iteration: 3170; Percent complete: 79.2%; Average loss: 2.8212
Iteration: 3171; Percent complete: 79.3%; Average loss: 2.8894
Iteration: 3172; Percent complete: 79.3%; Average loss: 2.8036
Iteration: 3173; Percent complete: 79.3%; Average loss: 2.7202
Iteration: 3174; Percent complete: 79.3%; Average loss: 2.5904
Iteration: 3175; Percent complete: 79.4%; Average loss: 2.7976
Iteration: 3176; Percent complete: 79.4%; Average loss: 3.0001
Iteration: 3177; Percent complete: 79.4%; Average loss: 2.7926
Iteration: 3178; Percent complete: 79.5%; Average loss: 2.8883
Iteration: 3179; Percent complete: 79.5%; Average loss: 2.7468
Iteration: 3180; Percent complete: 79.5%; Average loss: 2.9463
Iteration: 3181; Percent complete: 79.5%; Average loss: 2.7070
Iteration: 3182; Percent complete: 79.5%; Average loss: 2.9264
Iteration: 3183; Percent complete: 79.6%; Average loss: 2.9935
Iteration: 3184; Percent complete: 79.6%; Average loss: 2.7473
Iteration: 3185; Percent complete: 79.6%; Average loss: 2.8776
Iteration: 3186; Percent complete: 79.7%; Average loss: 3.0379
Iteration: 3187; Percent complete: 79.7%; Average loss: 2.8969
Iteration: 3188; Percent complete: 79.7%; Average loss: 2.7243
Iteration: 3189; Percent complete: 79.7%; Average loss: 2.9625
Iteration: 3190; Percent complete: 79.8%; Average loss: 2.8910
Iteration: 3191; Percent complete: 79.8%; Average loss: 2.7315
Iteration: 3192; Percent complete: 79.8%; Average loss: 2.8681
Iteration: 3193; Percent complete: 79.8%; Average loss: 2.6556
Iteration: 3194; Percent complete: 79.8%; Average loss: 2.8161
Iteration: 3195; Percent complete: 79.9%; Average loss: 2.8365
Iteration: 3196; Percent complete: 79.9%; Average loss: 2.8467
Iteration: 3197; Percent complete: 79.9%; Average loss: 2.9876
Iteration: 3198; Percent complete: 80.0%; Average loss: 2.8304
Iteration: 3199; Percent complete: 80.0%; Average loss: 2.6151
Iteration: 3200; Percent complete: 80.0%; Average loss: 2.5921
Iteration: 3201; Percent complete: 80.0%; Average loss: 2.9099
Iteration: 3202; Percent complete: 80.0%; Average loss: 2.9614
Iteration: 3203; Percent complete: 80.1%; Average loss: 2.7557
Iteration: 3204; Percent complete: 80.1%; Average loss: 3.1669
Iteration: 3205; Percent complete: 80.1%; Average loss: 2.8011
Iteration: 3206; Percent complete: 80.2%; Average loss: 2.9065
Iteration: 3207; Percent complete: 80.2%; Average loss: 2.8702
Iteration: 3208; Percent complete: 80.2%; Average loss: 2.6358
Iteration: 3209; Percent complete: 80.2%; Average loss: 2.8522
Iteration: 3210; Percent complete: 80.2%; Average loss: 2.7380
Iteration: 3211; Percent complete: 80.3%; Average loss: 2.8492
Iteration: 3212; Percent complete: 80.3%; Average loss: 2.5328
Iteration: 3213; Percent complete: 80.3%; Average loss: 2.9271
Iteration: 3214; Percent complete: 80.3%; Average loss: 2.5387
Iteration: 3215; Percent complete: 80.4%; Average loss: 2.9350
Iteration: 3216; Percent complete: 80.4%; Average loss: 2.7361
Iteration: 3217; Percent complete: 80.4%; Average loss: 2.6106
Iteration: 3218; Percent complete: 80.5%; Average loss: 2.8139
Iteration: 3219; Percent complete: 80.5%; Average loss: 2.8743
Iteration: 3220; Percent complete: 80.5%; Average loss: 2.4486
Iteration: 3221; Percent complete: 80.5%; Average loss: 2.7138
Iteration: 3222; Percent complete: 80.5%; Average loss: 3.0241
Iteration: 3223; Percent complete: 80.6%; Average loss: 2.7226
Iteration: 3224; Percent complete: 80.6%; Average loss: 2.7360
Iteration: 3225; Percent complete: 80.6%; Average loss: 2.5274
Iteration: 3226; Percent complete: 80.7%; Average loss: 2.7455
Iteration: 3227; Percent complete: 80.7%; Average loss: 2.6019
Iteration: 3228; Percent complete: 80.7%; Average loss: 2.9869
Iteration: 3229; Percent complete: 80.7%; Average loss: 2.6773
Iteration: 3230; Percent complete: 80.8%; Average loss: 2.8273
Iteration: 3231; Percent complete: 80.8%; Average loss: 2.8358
Iteration: 3232; Percent complete: 80.8%; Average loss: 2.9490
Iteration: 3233; Percent complete: 80.8%; Average loss: 3.0838
Iteration: 3234; Percent complete: 80.8%; Average loss: 2.8347
Iteration: 3235; Percent complete: 80.9%; Average loss: 3.1077
Iteration: 3236; Percent complete: 80.9%; Average loss: 2.8118
Iteration: 3237; Percent complete: 80.9%; Average loss: 2.7890
Iteration: 3238; Percent complete: 81.0%; Average loss: 2.9375
Iteration: 3239; Percent complete: 81.0%; Average loss: 2.9200
Iteration: 3240; Percent complete: 81.0%; Average loss: 2.8139
Iteration: 3241; Percent complete: 81.0%; Average loss: 2.7781
Iteration: 3242; Percent complete: 81.0%; Average loss: 2.8988
Iteration: 3243; Percent complete: 81.1%; Average loss: 2.9081
Iteration: 3244; Percent complete: 81.1%; Average loss: 2.7721
Iteration: 3245; Percent complete: 81.1%; Average loss: 2.7029
Iteration: 3246; Percent complete: 81.2%; Average loss: 2.6694
Iteration: 3247; Percent complete: 81.2%; Average loss: 2.9656
Iteration: 3248; Percent complete: 81.2%; Average loss: 2.7275
Iteration: 3249; Percent complete: 81.2%; Average loss: 2.8523
Iteration: 3250; Percent complete: 81.2%; Average loss: 2.8400
Iteration: 3251; Percent complete: 81.3%; Average loss: 2.5050
Iteration: 3252; Percent complete: 81.3%; Average loss: 2.7242
Iteration: 3253; Percent complete: 81.3%; Average loss: 2.9521
Iteration: 3254; Percent complete: 81.3%; Average loss: 2.9129
Iteration: 3255; Percent complete: 81.4%; Average loss: 2.7211
Iteration: 3256; Percent complete: 81.4%; Average loss: 2.6481
Iteration: 3257; Percent complete: 81.4%; Average loss: 2.7078
Iteration: 3258; Percent complete: 81.5%; Average loss: 2.9021
Iteration: 3259; Percent complete: 81.5%; Average loss: 2.9300
Iteration: 3260; Percent complete: 81.5%; Average loss: 2.6832
Iteration: 3261; Percent complete: 81.5%; Average loss: 2.7630
Iteration: 3262; Percent complete: 81.5%; Average loss: 3.1014
Iteration: 3263; Percent complete: 81.6%; Average loss: 2.7748
Iteration: 3264; Percent complete: 81.6%; Average loss: 2.7570
Iteration: 3265; Percent complete: 81.6%; Average loss: 2.9277
Iteration: 3266; Percent complete: 81.7%; Average loss: 2.8099
Iteration: 3267; Percent complete: 81.7%; Average loss: 2.7216
Iteration: 3268; Percent complete: 81.7%; Average loss: 2.6381
Iteration: 3269; Percent complete: 81.7%; Average loss: 2.8383
Iteration: 3270; Percent complete: 81.8%; Average loss: 2.8981
Iteration: 3271; Percent complete: 81.8%; Average loss: 3.0625
Iteration: 3272; Percent complete: 81.8%; Average loss: 2.6856
Iteration: 3273; Percent complete: 81.8%; Average loss: 2.7462
Iteration: 3274; Percent complete: 81.8%; Average loss: 2.7521
Iteration: 3275; Percent complete: 81.9%; Average loss: 2.7715
Iteration: 3276; Percent complete: 81.9%; Average loss: 2.8342
Iteration: 3277; Percent complete: 81.9%; Average loss: 2.7966
Iteration: 3278; Percent complete: 82.0%; Average loss: 2.8520
Iteration: 3279; Percent complete: 82.0%; Average loss: 3.0674
Iteration: 3280; Percent complete: 82.0%; Average loss: 2.8556
Iteration: 3281; Percent complete: 82.0%; Average loss: 2.7971
Iteration: 3282; Percent complete: 82.0%; Average loss: 2.7118
Iteration: 3283; Percent complete: 82.1%; Average loss: 2.6755
Iteration: 3284; Percent complete: 82.1%; Average loss: 2.6653
Iteration: 3285; Percent complete: 82.1%; Average loss: 2.7859
Iteration: 3286; Percent complete: 82.2%; Average loss: 2.7988
Iteration: 3287; Percent complete: 82.2%; Average loss: 3.0501
Iteration: 3288; Percent complete: 82.2%; Average loss: 2.8883
Iteration: 3289; Percent complete: 82.2%; Average loss: 2.8792
Iteration: 3290; Percent complete: 82.2%; Average loss: 2.7052
Iteration: 3291; Percent complete: 82.3%; Average loss: 2.6804
Iteration: 3292; Percent complete: 82.3%; Average loss: 2.7275
Iteration: 3293; Percent complete: 82.3%; Average loss: 2.8105
Iteration: 3294; Percent complete: 82.3%; Average loss: 2.7396
Iteration: 3295; Percent complete: 82.4%; Average loss: 2.5860
Iteration: 3296; Percent complete: 82.4%; Average loss: 2.6278
Iteration: 3297; Percent complete: 82.4%; Average loss: 2.7467
Iteration: 3298; Percent complete: 82.5%; Average loss: 2.8604
Iteration: 3299; Percent complete: 82.5%; Average loss: 2.7429
Iteration: 3300; Percent complete: 82.5%; Average loss: 2.7147
Iteration: 3301; Percent complete: 82.5%; Average loss: 2.6039
Iteration: 3302; Percent complete: 82.5%; Average loss: 2.9153
Iteration: 3303; Percent complete: 82.6%; Average loss: 2.5751
Iteration: 3304; Percent complete: 82.6%; Average loss: 2.9166
Iteration: 3305; Percent complete: 82.6%; Average loss: 3.0618
Iteration: 3306; Percent complete: 82.7%; Average loss: 2.9049
Iteration: 3307; Percent complete: 82.7%; Average loss: 2.8627
Iteration: 3308; Percent complete: 82.7%; Average loss: 2.5959
Iteration: 3309; Percent complete: 82.7%; Average loss: 2.8881
Iteration: 3310; Percent complete: 82.8%; Average loss: 2.6079
Iteration: 3311; Percent complete: 82.8%; Average loss: 2.7424
Iteration: 3312; Percent complete: 82.8%; Average loss: 2.8481
Iteration: 3313; Percent complete: 82.8%; Average loss: 2.8464
Iteration: 3314; Percent complete: 82.8%; Average loss: 2.7863
Iteration: 3315; Percent complete: 82.9%; Average loss: 2.7797
Iteration: 3316; Percent complete: 82.9%; Average loss: 2.8564
Iteration: 3317; Percent complete: 82.9%; Average loss: 2.7564
Iteration: 3318; Percent complete: 83.0%; Average loss: 2.8546
Iteration: 3319; Percent complete: 83.0%; Average loss: 2.6195
Iteration: 3320; Percent complete: 83.0%; Average loss: 2.5877
Iteration: 3321; Percent complete: 83.0%; Average loss: 3.0072
Iteration: 3322; Percent complete: 83.0%; Average loss: 2.8576
Iteration: 3323; Percent complete: 83.1%; Average loss: 2.9752
Iteration: 3324; Percent complete: 83.1%; Average loss: 2.8142
Iteration: 3325; Percent complete: 83.1%; Average loss: 2.6663
Iteration: 3326; Percent complete: 83.2%; Average loss: 2.7388
Iteration: 3327; Percent complete: 83.2%; Average loss: 2.7982
Iteration: 3328; Percent complete: 83.2%; Average loss: 2.7452
Iteration: 3329; Percent complete: 83.2%; Average loss: 2.6917
Iteration: 3330; Percent complete: 83.2%; Average loss: 3.0022
Iteration: 3331; Percent complete: 83.3%; Average loss: 2.9488
Iteration: 3332; Percent complete: 83.3%; Average loss: 2.7443
Iteration: 3333; Percent complete: 83.3%; Average loss: 2.9092
Iteration: 3334; Percent complete: 83.4%; Average loss: 2.9682
Iteration: 3335; Percent complete: 83.4%; Average loss: 2.5580
Iteration: 3336; Percent complete: 83.4%; Average loss: 2.7678
Iteration: 3337; Percent complete: 83.4%; Average loss: 3.0361
Iteration: 3338; Percent complete: 83.5%; Average loss: 2.9781
Iteration: 3339; Percent complete: 83.5%; Average loss: 2.9822
Iteration: 3340; Percent complete: 83.5%; Average loss: 2.6043
Iteration: 3341; Percent complete: 83.5%; Average loss: 2.6459
Iteration: 3342; Percent complete: 83.5%; Average loss: 2.8335
Iteration: 3343; Percent complete: 83.6%; Average loss: 2.8592
Iteration: 3344; Percent complete: 83.6%; Average loss: 2.7237
Iteration: 3345; Percent complete: 83.6%; Average loss: 2.4710
Iteration: 3346; Percent complete: 83.7%; Average loss: 2.6608
Iteration: 3347; Percent complete: 83.7%; Average loss: 2.8527
Iteration: 3348; Percent complete: 83.7%; Average loss: 2.8410
Iteration: 3349; Percent complete: 83.7%; Average loss: 2.6643
Iteration: 3350; Percent complete: 83.8%; Average loss: 2.7616
Iteration: 3351; Percent complete: 83.8%; Average loss: 2.8557
Iteration: 3352; Percent complete: 83.8%; Average loss: 2.6755
Iteration: 3353; Percent complete: 83.8%; Average loss: 2.9262
Iteration: 3354; Percent complete: 83.9%; Average loss: 2.8335
Iteration: 3355; Percent complete: 83.9%; Average loss: 3.0337
Iteration: 3356; Percent complete: 83.9%; Average loss: 2.7009
Iteration: 3357; Percent complete: 83.9%; Average loss: 2.6041
Iteration: 3358; Percent complete: 84.0%; Average loss: 2.4725
Iteration: 3359; Percent complete: 84.0%; Average loss: 2.8022
Iteration: 3360; Percent complete: 84.0%; Average loss: 2.6475
Iteration: 3361; Percent complete: 84.0%; Average loss: 2.9443
Iteration: 3362; Percent complete: 84.0%; Average loss: 2.6739
Iteration: 3363; Percent complete: 84.1%; Average loss: 2.9269
Iteration: 3364; Percent complete: 84.1%; Average loss: 2.8994
Iteration: 3365; Percent complete: 84.1%; Average loss: 2.6968
Iteration: 3366; Percent complete: 84.2%; Average loss: 2.5240
Iteration: 3367; Percent complete: 84.2%; Average loss: 2.8208
Iteration: 3368; Percent complete: 84.2%; Average loss: 2.6736
Iteration: 3369; Percent complete: 84.2%; Average loss: 2.8262
Iteration: 3370; Percent complete: 84.2%; Average loss: 2.7990
Iteration: 3371; Percent complete: 84.3%; Average loss: 2.7901
Iteration: 3372; Percent complete: 84.3%; Average loss: 2.5930
Iteration: 3373; Percent complete: 84.3%; Average loss: 2.4815
Iteration: 3374; Percent complete: 84.4%; Average loss: 3.0324
Iteration: 3375; Percent complete: 84.4%; Average loss: 2.9921
Iteration: 3376; Percent complete: 84.4%; Average loss: 2.7287
Iteration: 3377; Percent complete: 84.4%; Average loss: 2.8294
Iteration: 3378; Percent complete: 84.5%; Average loss: 2.8924
Iteration: 3379; Percent complete: 84.5%; Average loss: 3.0249
Iteration: 3380; Percent complete: 84.5%; Average loss: 2.8967
Iteration: 3381; Percent complete: 84.5%; Average loss: 2.6928
Iteration: 3382; Percent complete: 84.5%; Average loss: 2.6900
Iteration: 3383; Percent complete: 84.6%; Average loss: 2.6243
Iteration: 3384; Percent complete: 84.6%; Average loss: 2.6845
Iteration: 3385; Percent complete: 84.6%; Average loss: 2.8183
Iteration: 3386; Percent complete: 84.7%; Average loss: 2.6983
Iteration: 3387; Percent complete: 84.7%; Average loss: 2.7741
Iteration: 3388; Percent complete: 84.7%; Average loss: 2.7820
Iteration: 3389; Percent complete: 84.7%; Average loss: 2.6984
Iteration: 3390; Percent complete: 84.8%; Average loss: 2.7562
Iteration: 3391; Percent complete: 84.8%; Average loss: 2.8263
Iteration: 3392; Percent complete: 84.8%; Average loss: 2.7893
Iteration: 3393; Percent complete: 84.8%; Average loss: 2.7294
Iteration: 3394; Percent complete: 84.9%; Average loss: 2.8380
Iteration: 3395; Percent complete: 84.9%; Average loss: 2.6814
Iteration: 3396; Percent complete: 84.9%; Average loss: 2.7930
Iteration: 3397; Percent complete: 84.9%; Average loss: 2.8482
Iteration: 3398; Percent complete: 85.0%; Average loss: 2.8174
Iteration: 3399; Percent complete: 85.0%; Average loss: 2.9599
Iteration: 3400; Percent complete: 85.0%; Average loss: 2.6682
Iteration: 3401; Percent complete: 85.0%; Average loss: 2.7661
Iteration: 3402; Percent complete: 85.0%; Average loss: 2.8046
Iteration: 3403; Percent complete: 85.1%; Average loss: 2.6376
Iteration: 3404; Percent complete: 85.1%; Average loss: 3.0054
Iteration: 3405; Percent complete: 85.1%; Average loss: 2.6673
Iteration: 3406; Percent complete: 85.2%; Average loss: 2.7595
Iteration: 3407; Percent complete: 85.2%; Average loss: 2.7805
Iteration: 3408; Percent complete: 85.2%; Average loss: 2.6089
Iteration: 3409; Percent complete: 85.2%; Average loss: 2.8457
Iteration: 3410; Percent complete: 85.2%; Average loss: 2.9971
Iteration: 3411; Percent complete: 85.3%; Average loss: 2.8270
Iteration: 3412; Percent complete: 85.3%; Average loss: 2.8304
Iteration: 3413; Percent complete: 85.3%; Average loss: 2.7081
Iteration: 3414; Percent complete: 85.4%; Average loss: 2.8898
Iteration: 3415; Percent complete: 85.4%; Average loss: 2.7126
Iteration: 3416; Percent complete: 85.4%; Average loss: 2.8795
Iteration: 3417; Percent complete: 85.4%; Average loss: 2.5646
Iteration: 3418; Percent complete: 85.5%; Average loss: 3.0253
Iteration: 3419; Percent complete: 85.5%; Average loss: 2.9590
Iteration: 3420; Percent complete: 85.5%; Average loss: 2.7458
Iteration: 3421; Percent complete: 85.5%; Average loss: 2.6699
Iteration: 3422; Percent complete: 85.5%; Average loss: 2.4918
Iteration: 3423; Percent complete: 85.6%; Average loss: 2.8244
Iteration: 3424; Percent complete: 85.6%; Average loss: 2.8869
Iteration: 3425; Percent complete: 85.6%; Average loss: 2.8378
Iteration: 3426; Percent complete: 85.7%; Average loss: 2.9826
Iteration: 3427; Percent complete: 85.7%; Average loss: 2.7904
Iteration: 3428; Percent complete: 85.7%; Average loss: 2.7871
Iteration: 3429; Percent complete: 85.7%; Average loss: 2.7697
Iteration: 3430; Percent complete: 85.8%; Average loss: 2.8080
Iteration: 3431; Percent complete: 85.8%; Average loss: 2.6654
Iteration: 3432; Percent complete: 85.8%; Average loss: 2.8496
Iteration: 3433; Percent complete: 85.8%; Average loss: 2.7219
Iteration: 3434; Percent complete: 85.9%; Average loss: 2.8253
Iteration: 3435; Percent complete: 85.9%; Average loss: 2.8547
Iteration: 3436; Percent complete: 85.9%; Average loss: 2.7279
Iteration: 3437; Percent complete: 85.9%; Average loss: 2.8297
Iteration: 3438; Percent complete: 86.0%; Average loss: 2.7116
Iteration: 3439; Percent complete: 86.0%; Average loss: 2.6670
Iteration: 3440; Percent complete: 86.0%; Average loss: 2.7338
Iteration: 3441; Percent complete: 86.0%; Average loss: 2.9691
Iteration: 3442; Percent complete: 86.1%; Average loss: 2.8879
Iteration: 3443; Percent complete: 86.1%; Average loss: 2.8744
Iteration: 3444; Percent complete: 86.1%; Average loss: 2.8364
Iteration: 3445; Percent complete: 86.1%; Average loss: 2.8392
Iteration: 3446; Percent complete: 86.2%; Average loss: 2.7953
Iteration: 3447; Percent complete: 86.2%; Average loss: 2.7674
Iteration: 3448; Percent complete: 86.2%; Average loss: 2.7093
Iteration: 3449; Percent complete: 86.2%; Average loss: 2.6044
Iteration: 3450; Percent complete: 86.2%; Average loss: 2.5983
Iteration: 3451; Percent complete: 86.3%; Average loss: 3.0138
Iteration: 3452; Percent complete: 86.3%; Average loss: 2.7716
Iteration: 3453; Percent complete: 86.3%; Average loss: 2.8531
Iteration: 3454; Percent complete: 86.4%; Average loss: 2.6316
Iteration: 3455; Percent complete: 86.4%; Average loss: 2.7589
Iteration: 3456; Percent complete: 86.4%; Average loss: 2.8325
Iteration: 3457; Percent complete: 86.4%; Average loss: 2.8418
Iteration: 3458; Percent complete: 86.5%; Average loss: 2.5680
Iteration: 3459; Percent complete: 86.5%; Average loss: 2.8173
Iteration: 3460; Percent complete: 86.5%; Average loss: 2.6435
Iteration: 3461; Percent complete: 86.5%; Average loss: 2.8693
Iteration: 3462; Percent complete: 86.6%; Average loss: 2.9249
Iteration: 3463; Percent complete: 86.6%; Average loss: 2.7165
Iteration: 3464; Percent complete: 86.6%; Average loss: 2.6229
Iteration: 3465; Percent complete: 86.6%; Average loss: 2.9361
Iteration: 3466; Percent complete: 86.7%; Average loss: 2.7166
Iteration: 3467; Percent complete: 86.7%; Average loss: 2.7508
Iteration: 3468; Percent complete: 86.7%; Average loss: 2.5170
Iteration: 3469; Percent complete: 86.7%; Average loss: 2.7146
Iteration: 3470; Percent complete: 86.8%; Average loss: 2.5887
Iteration: 3471; Percent complete: 86.8%; Average loss: 3.0939
Iteration: 3472; Percent complete: 86.8%; Average loss: 2.7749
Iteration: 3473; Percent complete: 86.8%; Average loss: 2.4301
Iteration: 3474; Percent complete: 86.9%; Average loss: 2.6217
Iteration: 3475; Percent complete: 86.9%; Average loss: 2.7677
Iteration: 3476; Percent complete: 86.9%; Average loss: 2.7727
Iteration: 3477; Percent complete: 86.9%; Average loss: 2.6878
Iteration: 3478; Percent complete: 87.0%; Average loss: 2.7682
Iteration: 3479; Percent complete: 87.0%; Average loss: 2.7698
Iteration: 3480; Percent complete: 87.0%; Average loss: 2.8444
Iteration: 3481; Percent complete: 87.0%; Average loss: 2.6631
Iteration: 3482; Percent complete: 87.1%; Average loss: 2.8246
Iteration: 3483; Percent complete: 87.1%; Average loss: 2.7180
Iteration: 3484; Percent complete: 87.1%; Average loss: 2.8180
Iteration: 3485; Percent complete: 87.1%; Average loss: 2.8183
Iteration: 3486; Percent complete: 87.2%; Average loss: 2.7649
Iteration: 3487; Percent complete: 87.2%; Average loss: 2.8375
Iteration: 3488; Percent complete: 87.2%; Average loss: 3.1110
Iteration: 3489; Percent complete: 87.2%; Average loss: 2.6478
Iteration: 3490; Percent complete: 87.2%; Average loss: 2.4576
Iteration: 3491; Percent complete: 87.3%; Average loss: 2.6321
Iteration: 3492; Percent complete: 87.3%; Average loss: 2.6053
Iteration: 3493; Percent complete: 87.3%; Average loss: 2.7447
Iteration: 3494; Percent complete: 87.4%; Average loss: 2.6469
Iteration: 3495; Percent complete: 87.4%; Average loss: 2.6118
Iteration: 3496; Percent complete: 87.4%; Average loss: 2.5957
Iteration: 3497; Percent complete: 87.4%; Average loss: 2.6431
Iteration: 3498; Percent complete: 87.5%; Average loss: 2.5483
Iteration: 3499; Percent complete: 87.5%; Average loss: 2.6985
Iteration: 3500; Percent complete: 87.5%; Average loss: 2.6733
Iteration: 3501; Percent complete: 87.5%; Average loss: 2.7329
Iteration: 3502; Percent complete: 87.5%; Average loss: 2.7688
Iteration: 3503; Percent complete: 87.6%; Average loss: 2.7346
Iteration: 3504; Percent complete: 87.6%; Average loss: 2.7388
Iteration: 3505; Percent complete: 87.6%; Average loss: 2.8272
Iteration: 3506; Percent complete: 87.6%; Average loss: 2.7999
Iteration: 3507; Percent complete: 87.7%; Average loss: 2.9365
Iteration: 3508; Percent complete: 87.7%; Average loss: 2.7440
Iteration: 3509; Percent complete: 87.7%; Average loss: 2.6883
Iteration: 3510; Percent complete: 87.8%; Average loss: 2.8600
Iteration: 3511; Percent complete: 87.8%; Average loss: 2.8339
Iteration: 3512; Percent complete: 87.8%; Average loss: 2.5231
Iteration: 3513; Percent complete: 87.8%; Average loss: 2.8066
Iteration: 3514; Percent complete: 87.8%; Average loss: 2.6170
Iteration: 3515; Percent complete: 87.9%; Average loss: 2.6426
Iteration: 3516; Percent complete: 87.9%; Average loss: 2.5645
Iteration: 3517; Percent complete: 87.9%; Average loss: 2.7259
Iteration: 3518; Percent complete: 87.9%; Average loss: 2.8546
Iteration: 3519; Percent complete: 88.0%; Average loss: 2.8688
Iteration: 3520; Percent complete: 88.0%; Average loss: 2.9109
Iteration: 3521; Percent complete: 88.0%; Average loss: 2.8896
Iteration: 3522; Percent complete: 88.0%; Average loss: 3.1082
Iteration: 3523; Percent complete: 88.1%; Average loss: 2.7437
Iteration: 3524; Percent complete: 88.1%; Average loss: 2.8849
Iteration: 3525; Percent complete: 88.1%; Average loss: 2.6586
Iteration: 3526; Percent complete: 88.1%; Average loss: 2.8612
Iteration: 3527; Percent complete: 88.2%; Average loss: 2.7767
Iteration: 3528; Percent complete: 88.2%; Average loss: 2.7808
Iteration: 3529; Percent complete: 88.2%; Average loss: 2.7560
Iteration: 3530; Percent complete: 88.2%; Average loss: 2.9170
Iteration: 3531; Percent complete: 88.3%; Average loss: 2.7678
Iteration: 3532; Percent complete: 88.3%; Average loss: 2.5946
Iteration: 3533; Percent complete: 88.3%; Average loss: 2.8480
Iteration: 3534; Percent complete: 88.3%; Average loss: 2.7035
Iteration: 3535; Percent complete: 88.4%; Average loss: 2.7715
Iteration: 3536; Percent complete: 88.4%; Average loss: 2.9443
Iteration: 3537; Percent complete: 88.4%; Average loss: 2.5291
Iteration: 3538; Percent complete: 88.4%; Average loss: 2.6085
Iteration: 3539; Percent complete: 88.5%; Average loss: 2.8484
Iteration: 3540; Percent complete: 88.5%; Average loss: 2.6583
Iteration: 3541; Percent complete: 88.5%; Average loss: 2.8871
Iteration: 3542; Percent complete: 88.5%; Average loss: 2.5873
Iteration: 3543; Percent complete: 88.6%; Average loss: 2.9171
Iteration: 3544; Percent complete: 88.6%; Average loss: 2.5507
Iteration: 3545; Percent complete: 88.6%; Average loss: 2.8004
Iteration: 3546; Percent complete: 88.6%; Average loss: 2.7215
Iteration: 3547; Percent complete: 88.7%; Average loss: 2.8399
Iteration: 3548; Percent complete: 88.7%; Average loss: 3.0059
Iteration: 3549; Percent complete: 88.7%; Average loss: 2.8486
Iteration: 3550; Percent complete: 88.8%; Average loss: 2.8548
Iteration: 3551; Percent complete: 88.8%; Average loss: 2.8335
Iteration: 3552; Percent complete: 88.8%; Average loss: 2.8879
Iteration: 3553; Percent complete: 88.8%; Average loss: 2.8295
Iteration: 3554; Percent complete: 88.8%; Average loss: 2.8567
Iteration: 3555; Percent complete: 88.9%; Average loss: 2.8568
Iteration: 3556; Percent complete: 88.9%; Average loss: 2.6224
Iteration: 3557; Percent complete: 88.9%; Average loss: 2.6744
Iteration: 3558; Percent complete: 88.9%; Average loss: 2.6287
Iteration: 3559; Percent complete: 89.0%; Average loss: 3.0290
Iteration: 3560; Percent complete: 89.0%; Average loss: 2.7524
Iteration: 3561; Percent complete: 89.0%; Average loss: 2.8129
Iteration: 3562; Percent complete: 89.0%; Average loss: 2.8404
Iteration: 3563; Percent complete: 89.1%; Average loss: 2.7859
Iteration: 3564; Percent complete: 89.1%; Average loss: 2.7037
Iteration: 3565; Percent complete: 89.1%; Average loss: 2.7983
Iteration: 3566; Percent complete: 89.1%; Average loss: 2.7192
Iteration: 3567; Percent complete: 89.2%; Average loss: 2.9363
Iteration: 3568; Percent complete: 89.2%; Average loss: 2.6231
Iteration: 3569; Percent complete: 89.2%; Average loss: 2.7259
Iteration: 3570; Percent complete: 89.2%; Average loss: 2.8478
Iteration: 3571; Percent complete: 89.3%; Average loss: 2.9227
Iteration: 3572; Percent complete: 89.3%; Average loss: 2.8708
Iteration: 3573; Percent complete: 89.3%; Average loss: 3.0258
Iteration: 3574; Percent complete: 89.3%; Average loss: 2.9523
Iteration: 3575; Percent complete: 89.4%; Average loss: 2.6745
Iteration: 3576; Percent complete: 89.4%; Average loss: 2.9353
Iteration: 3577; Percent complete: 89.4%; Average loss: 2.7454
Iteration: 3578; Percent complete: 89.5%; Average loss: 2.6741
Iteration: 3579; Percent complete: 89.5%; Average loss: 2.6932
Iteration: 3580; Percent complete: 89.5%; Average loss: 3.0438
Iteration: 3581; Percent complete: 89.5%; Average loss: 2.6311
Iteration: 3582; Percent complete: 89.5%; Average loss: 2.7475
Iteration: 3583; Percent complete: 89.6%; Average loss: 2.6155
Iteration: 3584; Percent complete: 89.6%; Average loss: 2.7442
Iteration: 3585; Percent complete: 89.6%; Average loss: 2.7480
Iteration: 3586; Percent complete: 89.6%; Average loss: 2.3807
Iteration: 3587; Percent complete: 89.7%; Average loss: 2.7290
Iteration: 3588; Percent complete: 89.7%; Average loss: 2.7070
Iteration: 3589; Percent complete: 89.7%; Average loss: 2.6364
Iteration: 3590; Percent complete: 89.8%; Average loss: 2.7195
Iteration: 3591; Percent complete: 89.8%; Average loss: 2.7038
Iteration: 3592; Percent complete: 89.8%; Average loss: 2.6669
Iteration: 3593; Percent complete: 89.8%; Average loss: 2.8196
Iteration: 3594; Percent complete: 89.8%; Average loss: 2.9216
Iteration: 3595; Percent complete: 89.9%; Average loss: 2.7945
Iteration: 3596; Percent complete: 89.9%; Average loss: 3.0247
Iteration: 3597; Percent complete: 89.9%; Average loss: 2.6460
Iteration: 3598; Percent complete: 90.0%; Average loss: 2.8406
Iteration: 3599; Percent complete: 90.0%; Average loss: 2.6727
Iteration: 3600; Percent complete: 90.0%; Average loss: 2.7567
Iteration: 3601; Percent complete: 90.0%; Average loss: 2.5092
Iteration: 3602; Percent complete: 90.0%; Average loss: 2.5558
Iteration: 3603; Percent complete: 90.1%; Average loss: 2.8078
Iteration: 3604; Percent complete: 90.1%; Average loss: 2.7893
Iteration: 3605; Percent complete: 90.1%; Average loss: 2.7244
Iteration: 3606; Percent complete: 90.1%; Average loss: 2.6509
Iteration: 3607; Percent complete: 90.2%; Average loss: 2.5889
Iteration: 3608; Percent complete: 90.2%; Average loss: 2.5921
Iteration: 3609; Percent complete: 90.2%; Average loss: 2.7216
Iteration: 3610; Percent complete: 90.2%; Average loss: 2.8399
Iteration: 3611; Percent complete: 90.3%; Average loss: 2.9259
Iteration: 3612; Percent complete: 90.3%; Average loss: 2.6719
Iteration: 3613; Percent complete: 90.3%; Average loss: 2.7058
Iteration: 3614; Percent complete: 90.3%; Average loss: 2.6509
Iteration: 3615; Percent complete: 90.4%; Average loss: 2.8710
Iteration: 3616; Percent complete: 90.4%; Average loss: 2.8547
Iteration: 3617; Percent complete: 90.4%; Average loss: 2.8876
Iteration: 3618; Percent complete: 90.5%; Average loss: 2.6900
Iteration: 3619; Percent complete: 90.5%; Average loss: 2.7944
Iteration: 3620; Percent complete: 90.5%; Average loss: 2.6823
Iteration: 3621; Percent complete: 90.5%; Average loss: 2.6648
Iteration: 3622; Percent complete: 90.5%; Average loss: 2.7074
Iteration: 3623; Percent complete: 90.6%; Average loss: 2.7005
Iteration: 3624; Percent complete: 90.6%; Average loss: 2.9397
Iteration: 3625; Percent complete: 90.6%; Average loss: 2.6739
Iteration: 3626; Percent complete: 90.6%; Average loss: 2.6417
Iteration: 3627; Percent complete: 90.7%; Average loss: 2.8090
Iteration: 3628; Percent complete: 90.7%; Average loss: 2.6485
Iteration: 3629; Percent complete: 90.7%; Average loss: 2.6662
Iteration: 3630; Percent complete: 90.8%; Average loss: 2.5739
Iteration: 3631; Percent complete: 90.8%; Average loss: 2.7125
Iteration: 3632; Percent complete: 90.8%; Average loss: 2.6237
Iteration: 3633; Percent complete: 90.8%; Average loss: 2.4373
Iteration: 3634; Percent complete: 90.8%; Average loss: 2.8547
Iteration: 3635; Percent complete: 90.9%; Average loss: 2.8397
Iteration: 3636; Percent complete: 90.9%; Average loss: 2.6745
Iteration: 3637; Percent complete: 90.9%; Average loss: 2.6728
Iteration: 3638; Percent complete: 91.0%; Average loss: 2.9044
Iteration: 3639; Percent complete: 91.0%; Average loss: 2.8243
Iteration: 3640; Percent complete: 91.0%; Average loss: 2.7455
Iteration: 3641; Percent complete: 91.0%; Average loss: 2.6494
Iteration: 3642; Percent complete: 91.0%; Average loss: 2.6895
Iteration: 3643; Percent complete: 91.1%; Average loss: 2.7883
Iteration: 3644; Percent complete: 91.1%; Average loss: 2.5947
Iteration: 3645; Percent complete: 91.1%; Average loss: 2.8318
Iteration: 3646; Percent complete: 91.1%; Average loss: 2.5262
Iteration: 3647; Percent complete: 91.2%; Average loss: 2.5918
Iteration: 3648; Percent complete: 91.2%; Average loss: 2.7037
Iteration: 3649; Percent complete: 91.2%; Average loss: 2.8112
Iteration: 3650; Percent complete: 91.2%; Average loss: 2.4696
Iteration: 3651; Percent complete: 91.3%; Average loss: 2.9136
Iteration: 3652; Percent complete: 91.3%; Average loss: 2.8751
Iteration: 3653; Percent complete: 91.3%; Average loss: 2.7712
Iteration: 3654; Percent complete: 91.3%; Average loss: 2.5497
Iteration: 3655; Percent complete: 91.4%; Average loss: 2.6280
Iteration: 3656; Percent complete: 91.4%; Average loss: 2.7024
Iteration: 3657; Percent complete: 91.4%; Average loss: 2.4204
Iteration: 3658; Percent complete: 91.5%; Average loss: 2.9327
Iteration: 3659; Percent complete: 91.5%; Average loss: 2.6136
Iteration: 3660; Percent complete: 91.5%; Average loss: 2.5745
Iteration: 3661; Percent complete: 91.5%; Average loss: 2.7806
Iteration: 3662; Percent complete: 91.5%; Average loss: 2.5199
Iteration: 3663; Percent complete: 91.6%; Average loss: 2.6780
Iteration: 3664; Percent complete: 91.6%; Average loss: 2.7809
Iteration: 3665; Percent complete: 91.6%; Average loss: 2.7702
Iteration: 3666; Percent complete: 91.6%; Average loss: 2.8050
Iteration: 3667; Percent complete: 91.7%; Average loss: 2.7325
Iteration: 3668; Percent complete: 91.7%; Average loss: 2.6279
Iteration: 3669; Percent complete: 91.7%; Average loss: 2.6585
Iteration: 3670; Percent complete: 91.8%; Average loss: 2.5631
Iteration: 3671; Percent complete: 91.8%; Average loss: 2.7368
Iteration: 3672; Percent complete: 91.8%; Average loss: 2.7325
Iteration: 3673; Percent complete: 91.8%; Average loss: 2.8627
Iteration: 3674; Percent complete: 91.8%; Average loss: 2.7327
Iteration: 3675; Percent complete: 91.9%; Average loss: 2.8954
Iteration: 3676; Percent complete: 91.9%; Average loss: 2.6229
Iteration: 3677; Percent complete: 91.9%; Average loss: 2.8765
Iteration: 3678; Percent complete: 92.0%; Average loss: 2.5919
Iteration: 3679; Percent complete: 92.0%; Average loss: 2.6230
Iteration: 3680; Percent complete: 92.0%; Average loss: 2.7887
Iteration: 3681; Percent complete: 92.0%; Average loss: 2.6865
Iteration: 3682; Percent complete: 92.0%; Average loss: 2.8145
Iteration: 3683; Percent complete: 92.1%; Average loss: 2.6581
Iteration: 3684; Percent complete: 92.1%; Average loss: 2.7472
Iteration: 3685; Percent complete: 92.1%; Average loss: 2.7955
Iteration: 3686; Percent complete: 92.2%; Average loss: 2.7896
Iteration: 3687; Percent complete: 92.2%; Average loss: 2.8454
Iteration: 3688; Percent complete: 92.2%; Average loss: 2.7799
Iteration: 3689; Percent complete: 92.2%; Average loss: 2.6593
Iteration: 3690; Percent complete: 92.2%; Average loss: 2.5942
Iteration: 3691; Percent complete: 92.3%; Average loss: 2.8579
Iteration: 3692; Percent complete: 92.3%; Average loss: 2.7190
Iteration: 3693; Percent complete: 92.3%; Average loss: 2.7568
Iteration: 3694; Percent complete: 92.3%; Average loss: 2.6480
Iteration: 3695; Percent complete: 92.4%; Average loss: 2.6923
Iteration: 3696; Percent complete: 92.4%; Average loss: 2.6842
Iteration: 3697; Percent complete: 92.4%; Average loss: 2.5939
Iteration: 3698; Percent complete: 92.5%; Average loss: 2.8943
Iteration: 3699; Percent complete: 92.5%; Average loss: 2.6628
Iteration: 3700; Percent complete: 92.5%; Average loss: 2.4512
Iteration: 3701; Percent complete: 92.5%; Average loss: 2.8327
Iteration: 3702; Percent complete: 92.5%; Average loss: 2.5542
Iteration: 3703; Percent complete: 92.6%; Average loss: 2.6668
Iteration: 3704; Percent complete: 92.6%; Average loss: 2.8915
Iteration: 3705; Percent complete: 92.6%; Average loss: 2.8319
Iteration: 3706; Percent complete: 92.7%; Average loss: 2.6960
Iteration: 3707; Percent complete: 92.7%; Average loss: 2.6295
Iteration: 3708; Percent complete: 92.7%; Average loss: 2.8768
Iteration: 3709; Percent complete: 92.7%; Average loss: 2.3854
Iteration: 3710; Percent complete: 92.8%; Average loss: 2.6551
Iteration: 3711; Percent complete: 92.8%; Average loss: 2.6732
Iteration: 3712; Percent complete: 92.8%; Average loss: 2.7064
Iteration: 3713; Percent complete: 92.8%; Average loss: 2.7143
Iteration: 3714; Percent complete: 92.8%; Average loss: 2.5854
Iteration: 3715; Percent complete: 92.9%; Average loss: 2.7138
Iteration: 3716; Percent complete: 92.9%; Average loss: 2.5005
Iteration: 3717; Percent complete: 92.9%; Average loss: 2.7782
Iteration: 3718; Percent complete: 93.0%; Average loss: 2.6613
Iteration: 3719; Percent complete: 93.0%; Average loss: 2.7457
Iteration: 3720; Percent complete: 93.0%; Average loss: 2.5042
Iteration: 3721; Percent complete: 93.0%; Average loss: 2.7183
Iteration: 3722; Percent complete: 93.0%; Average loss: 2.6999
Iteration: 3723; Percent complete: 93.1%; Average loss: 2.4404
Iteration: 3724; Percent complete: 93.1%; Average loss: 2.5440
Iteration: 3725; Percent complete: 93.1%; Average loss: 2.4993
Iteration: 3726; Percent complete: 93.2%; Average loss: 2.7207
Iteration: 3727; Percent complete: 93.2%; Average loss: 2.6208
Iteration: 3728; Percent complete: 93.2%; Average loss: 2.7104
Iteration: 3729; Percent complete: 93.2%; Average loss: 2.7151
Iteration: 3730; Percent complete: 93.2%; Average loss: 2.7108
Iteration: 3731; Percent complete: 93.3%; Average loss: 2.8236
Iteration: 3732; Percent complete: 93.3%; Average loss: 2.8582
Iteration: 3733; Percent complete: 93.3%; Average loss: 2.9118
Iteration: 3734; Percent complete: 93.3%; Average loss: 2.7419
Iteration: 3735; Percent complete: 93.4%; Average loss: 2.7211
Iteration: 3736; Percent complete: 93.4%; Average loss: 2.6920
Iteration: 3737; Percent complete: 93.4%; Average loss: 2.6443
Iteration: 3738; Percent complete: 93.5%; Average loss: 2.6253
Iteration: 3739; Percent complete: 93.5%; Average loss: 2.6829
Iteration: 3740; Percent complete: 93.5%; Average loss: 2.6333
Iteration: 3741; Percent complete: 93.5%; Average loss: 2.9401
Iteration: 3742; Percent complete: 93.5%; Average loss: 2.8792
Iteration: 3743; Percent complete: 93.6%; Average loss: 2.7174
Iteration: 3744; Percent complete: 93.6%; Average loss: 2.8814
Iteration: 3745; Percent complete: 93.6%; Average loss: 2.8637
Iteration: 3746; Percent complete: 93.7%; Average loss: 3.0723
Iteration: 3747; Percent complete: 93.7%; Average loss: 2.7183
Iteration: 3748; Percent complete: 93.7%; Average loss: 2.7395
Iteration: 3749; Percent complete: 93.7%; Average loss: 2.7044
Iteration: 3750; Percent complete: 93.8%; Average loss: 2.5401
Iteration: 3751; Percent complete: 93.8%; Average loss: 2.6826
Iteration: 3752; Percent complete: 93.8%; Average loss: 2.5259
Iteration: 3753; Percent complete: 93.8%; Average loss: 2.5673
Iteration: 3754; Percent complete: 93.8%; Average loss: 2.6996
Iteration: 3755; Percent complete: 93.9%; Average loss: 2.6602
Iteration: 3756; Percent complete: 93.9%; Average loss: 2.5975
Iteration: 3757; Percent complete: 93.9%; Average loss: 2.6715
Iteration: 3758; Percent complete: 94.0%; Average loss: 2.5768
Iteration: 3759; Percent complete: 94.0%; Average loss: 2.6538
Iteration: 3760; Percent complete: 94.0%; Average loss: 2.6864
Iteration: 3761; Percent complete: 94.0%; Average loss: 2.7551
Iteration: 3762; Percent complete: 94.0%; Average loss: 2.7413
Iteration: 3763; Percent complete: 94.1%; Average loss: 2.6216
Iteration: 3764; Percent complete: 94.1%; Average loss: 2.5856
Iteration: 3765; Percent complete: 94.1%; Average loss: 2.8489
Iteration: 3766; Percent complete: 94.2%; Average loss: 2.7007
Iteration: 3767; Percent complete: 94.2%; Average loss: 2.8577
Iteration: 3768; Percent complete: 94.2%; Average loss: 2.7929
Iteration: 3769; Percent complete: 94.2%; Average loss: 2.5470
Iteration: 3770; Percent complete: 94.2%; Average loss: 2.8658
Iteration: 3771; Percent complete: 94.3%; Average loss: 2.6264
Iteration: 3772; Percent complete: 94.3%; Average loss: 2.6989
Iteration: 3773; Percent complete: 94.3%; Average loss: 2.6183
Iteration: 3774; Percent complete: 94.3%; Average loss: 2.5702
Iteration: 3775; Percent complete: 94.4%; Average loss: 2.5318
Iteration: 3776; Percent complete: 94.4%; Average loss: 2.6529
Iteration: 3777; Percent complete: 94.4%; Average loss: 2.8709
Iteration: 3778; Percent complete: 94.5%; Average loss: 2.5008
Iteration: 3779; Percent complete: 94.5%; Average loss: 2.6633
Iteration: 3780; Percent complete: 94.5%; Average loss: 2.5868
Iteration: 3781; Percent complete: 94.5%; Average loss: 2.6938
Iteration: 3782; Percent complete: 94.5%; Average loss: 2.5084
Iteration: 3783; Percent complete: 94.6%; Average loss: 2.5934
Iteration: 3784; Percent complete: 94.6%; Average loss: 2.7776
Iteration: 3785; Percent complete: 94.6%; Average loss: 2.6748
Iteration: 3786; Percent complete: 94.7%; Average loss: 2.3889
Iteration: 3787; Percent complete: 94.7%; Average loss: 2.6653
Iteration: 3788; Percent complete: 94.7%; Average loss: 2.6833
Iteration: 3789; Percent complete: 94.7%; Average loss: 2.5463
Iteration: 3790; Percent complete: 94.8%; Average loss: 2.6453
Iteration: 3791; Percent complete: 94.8%; Average loss: 2.6523
Iteration: 3792; Percent complete: 94.8%; Average loss: 2.5916
Iteration: 3793; Percent complete: 94.8%; Average loss: 2.8885
Iteration: 3794; Percent complete: 94.8%; Average loss: 2.8452
Iteration: 3795; Percent complete: 94.9%; Average loss: 2.6545
Iteration: 3796; Percent complete: 94.9%; Average loss: 2.3944
Iteration: 3797; Percent complete: 94.9%; Average loss: 2.4609
Iteration: 3798; Percent complete: 95.0%; Average loss: 2.9422
Iteration: 3799; Percent complete: 95.0%; Average loss: 2.5477
Iteration: 3800; Percent complete: 95.0%; Average loss: 2.7097
Iteration: 3801; Percent complete: 95.0%; Average loss: 2.7048
Iteration: 3802; Percent complete: 95.0%; Average loss: 2.7136
Iteration: 3803; Percent complete: 95.1%; Average loss: 2.8293
Iteration: 3804; Percent complete: 95.1%; Average loss: 2.5690
Iteration: 3805; Percent complete: 95.1%; Average loss: 2.5810
Iteration: 3806; Percent complete: 95.2%; Average loss: 2.5889
Iteration: 3807; Percent complete: 95.2%; Average loss: 2.6258
Iteration: 3808; Percent complete: 95.2%; Average loss: 2.5211
Iteration: 3809; Percent complete: 95.2%; Average loss: 2.7160
Iteration: 3810; Percent complete: 95.2%; Average loss: 2.6255
Iteration: 3811; Percent complete: 95.3%; Average loss: 2.5094
Iteration: 3812; Percent complete: 95.3%; Average loss: 2.7197
Iteration: 3813; Percent complete: 95.3%; Average loss: 2.6094
Iteration: 3814; Percent complete: 95.3%; Average loss: 2.7318
Iteration: 3815; Percent complete: 95.4%; Average loss: 2.4684
Iteration: 3816; Percent complete: 95.4%; Average loss: 2.4454
Iteration: 3817; Percent complete: 95.4%; Average loss: 2.8395
Iteration: 3818; Percent complete: 95.5%; Average loss: 2.7209
Iteration: 3819; Percent complete: 95.5%; Average loss: 2.4888
Iteration: 3820; Percent complete: 95.5%; Average loss: 2.6425
Iteration: 3821; Percent complete: 95.5%; Average loss: 2.6951
Iteration: 3822; Percent complete: 95.5%; Average loss: 2.9107
Iteration: 3823; Percent complete: 95.6%; Average loss: 2.8112
Iteration: 3824; Percent complete: 95.6%; Average loss: 2.6822
Iteration: 3825; Percent complete: 95.6%; Average loss: 2.6375
Iteration: 3826; Percent complete: 95.7%; Average loss: 2.6380
Iteration: 3827; Percent complete: 95.7%; Average loss: 2.6633
Iteration: 3828; Percent complete: 95.7%; Average loss: 2.7436
Iteration: 3829; Percent complete: 95.7%; Average loss: 2.5595
Iteration: 3830; Percent complete: 95.8%; Average loss: 2.5584
Iteration: 3831; Percent complete: 95.8%; Average loss: 2.5397
Iteration: 3832; Percent complete: 95.8%; Average loss: 2.5805
Iteration: 3833; Percent complete: 95.8%; Average loss: 2.6678
Iteration: 3834; Percent complete: 95.9%; Average loss: 2.6565
Iteration: 3835; Percent complete: 95.9%; Average loss: 2.6507
Iteration: 3836; Percent complete: 95.9%; Average loss: 2.7226
Iteration: 3837; Percent complete: 95.9%; Average loss: 2.6117
Iteration: 3838; Percent complete: 96.0%; Average loss: 2.5486
Iteration: 3839; Percent complete: 96.0%; Average loss: 2.6728
Iteration: 3840; Percent complete: 96.0%; Average loss: 2.7582
Iteration: 3841; Percent complete: 96.0%; Average loss: 2.6971
Iteration: 3842; Percent complete: 96.0%; Average loss: 2.6252
Iteration: 3843; Percent complete: 96.1%; Average loss: 2.8895
Iteration: 3844; Percent complete: 96.1%; Average loss: 2.7388
Iteration: 3845; Percent complete: 96.1%; Average loss: 2.6292
Iteration: 3846; Percent complete: 96.2%; Average loss: 2.5886
Iteration: 3847; Percent complete: 96.2%; Average loss: 2.4921
Iteration: 3848; Percent complete: 96.2%; Average loss: 2.8678
Iteration: 3849; Percent complete: 96.2%; Average loss: 2.8577
Iteration: 3850; Percent complete: 96.2%; Average loss: 2.5555
Iteration: 3851; Percent complete: 96.3%; Average loss: 2.6862
Iteration: 3852; Percent complete: 96.3%; Average loss: 2.6722
Iteration: 3853; Percent complete: 96.3%; Average loss: 2.5068
Iteration: 3854; Percent complete: 96.4%; Average loss: 2.7910
Iteration: 3855; Percent complete: 96.4%; Average loss: 2.7011
Iteration: 3856; Percent complete: 96.4%; Average loss: 2.6389
Iteration: 3857; Percent complete: 96.4%; Average loss: 2.7157
Iteration: 3858; Percent complete: 96.5%; Average loss: 2.6751
Iteration: 3859; Percent complete: 96.5%; Average loss: 2.5613
Iteration: 3860; Percent complete: 96.5%; Average loss: 2.7004
Iteration: 3861; Percent complete: 96.5%; Average loss: 2.6221
Iteration: 3862; Percent complete: 96.5%; Average loss: 2.5882
Iteration: 3863; Percent complete: 96.6%; Average loss: 2.5230
Iteration: 3864; Percent complete: 96.6%; Average loss: 2.5111
Iteration: 3865; Percent complete: 96.6%; Average loss: 2.6062
Iteration: 3866; Percent complete: 96.7%; Average loss: 2.6390
Iteration: 3867; Percent complete: 96.7%; Average loss: 2.6581
Iteration: 3868; Percent complete: 96.7%; Average loss: 2.9696
Iteration: 3869; Percent complete: 96.7%; Average loss: 2.7116
Iteration: 3870; Percent complete: 96.8%; Average loss: 2.6195
Iteration: 3871; Percent complete: 96.8%; Average loss: 2.7271
Iteration: 3872; Percent complete: 96.8%; Average loss: 2.9235
Iteration: 3873; Percent complete: 96.8%; Average loss: 2.5086
Iteration: 3874; Percent complete: 96.9%; Average loss: 2.5538
Iteration: 3875; Percent complete: 96.9%; Average loss: 2.5759
Iteration: 3876; Percent complete: 96.9%; Average loss: 2.8786
Iteration: 3877; Percent complete: 96.9%; Average loss: 2.5455
Iteration: 3878; Percent complete: 97.0%; Average loss: 2.6708
Iteration: 3879; Percent complete: 97.0%; Average loss: 2.5491
Iteration: 3880; Percent complete: 97.0%; Average loss: 2.5809
Iteration: 3881; Percent complete: 97.0%; Average loss: 2.9365
Iteration: 3882; Percent complete: 97.0%; Average loss: 2.6403
Iteration: 3883; Percent complete: 97.1%; Average loss: 2.6233
Iteration: 3884; Percent complete: 97.1%; Average loss: 2.6246
Iteration: 3885; Percent complete: 97.1%; Average loss: 2.7396
Iteration: 3886; Percent complete: 97.2%; Average loss: 2.7620
Iteration: 3887; Percent complete: 97.2%; Average loss: 2.6736
Iteration: 3888; Percent complete: 97.2%; Average loss: 2.4907
Iteration: 3889; Percent complete: 97.2%; Average loss: 2.6112
Iteration: 3890; Percent complete: 97.2%; Average loss: 2.8118
Iteration: 3891; Percent complete: 97.3%; Average loss: 2.7692
Iteration: 3892; Percent complete: 97.3%; Average loss: 2.7136
Iteration: 3893; Percent complete: 97.3%; Average loss: 2.7035
Iteration: 3894; Percent complete: 97.4%; Average loss: 2.5465
Iteration: 3895; Percent complete: 97.4%; Average loss: 2.6667
Iteration: 3896; Percent complete: 97.4%; Average loss: 2.7311
Iteration: 3897; Percent complete: 97.4%; Average loss: 2.7310
Iteration: 3898; Percent complete: 97.5%; Average loss: 2.7945
Iteration: 3899; Percent complete: 97.5%; Average loss: 2.5787
Iteration: 3900; Percent complete: 97.5%; Average loss: 2.4829
Iteration: 3901; Percent complete: 97.5%; Average loss: 2.8735
Iteration: 3902; Percent complete: 97.5%; Average loss: 2.6213
Iteration: 3903; Percent complete: 97.6%; Average loss: 2.6276
Iteration: 3904; Percent complete: 97.6%; Average loss: 2.4204
Iteration: 3905; Percent complete: 97.6%; Average loss: 2.5828
Iteration: 3906; Percent complete: 97.7%; Average loss: 2.5624
Iteration: 3907; Percent complete: 97.7%; Average loss: 2.6619
Iteration: 3908; Percent complete: 97.7%; Average loss: 2.7648
Iteration: 3909; Percent complete: 97.7%; Average loss: 2.6438
Iteration: 3910; Percent complete: 97.8%; Average loss: 2.4931
Iteration: 3911; Percent complete: 97.8%; Average loss: 2.7469
Iteration: 3912; Percent complete: 97.8%; Average loss: 2.6436
Iteration: 3913; Percent complete: 97.8%; Average loss: 2.7824
Iteration: 3914; Percent complete: 97.9%; Average loss: 2.4574
Iteration: 3915; Percent complete: 97.9%; Average loss: 2.5650
Iteration: 3916; Percent complete: 97.9%; Average loss: 2.3900
Iteration: 3917; Percent complete: 97.9%; Average loss: 2.6324
Iteration: 3918; Percent complete: 98.0%; Average loss: 2.5623
Iteration: 3919; Percent complete: 98.0%; Average loss: 2.6284
Iteration: 3920; Percent complete: 98.0%; Average loss: 2.8284
Iteration: 3921; Percent complete: 98.0%; Average loss: 2.7760
Iteration: 3922; Percent complete: 98.0%; Average loss: 2.5487
Iteration: 3923; Percent complete: 98.1%; Average loss: 2.7970
Iteration: 3924; Percent complete: 98.1%; Average loss: 2.8109
Iteration: 3925; Percent complete: 98.1%; Average loss: 2.4559
Iteration: 3926; Percent complete: 98.2%; Average loss: 2.6792
Iteration: 3927; Percent complete: 98.2%; Average loss: 2.5471
Iteration: 3928; Percent complete: 98.2%; Average loss: 2.6023
Iteration: 3929; Percent complete: 98.2%; Average loss: 2.6532
Iteration: 3930; Percent complete: 98.2%; Average loss: 2.7004
Iteration: 3931; Percent complete: 98.3%; Average loss: 2.8057
Iteration: 3932; Percent complete: 98.3%; Average loss: 2.5399
Iteration: 3933; Percent complete: 98.3%; Average loss: 2.6791
Iteration: 3934; Percent complete: 98.4%; Average loss: 3.1750
Iteration: 3935; Percent complete: 98.4%; Average loss: 2.5685
Iteration: 3936; Percent complete: 98.4%; Average loss: 2.5800
Iteration: 3937; Percent complete: 98.4%; Average loss: 2.5906
Iteration: 3938; Percent complete: 98.5%; Average loss: 2.5242
Iteration: 3939; Percent complete: 98.5%; Average loss: 2.5524
Iteration: 3940; Percent complete: 98.5%; Average loss: 2.7086
Iteration: 3941; Percent complete: 98.5%; Average loss: 2.6996
Iteration: 3942; Percent complete: 98.6%; Average loss: 2.7643
Iteration: 3943; Percent complete: 98.6%; Average loss: 2.5047
Iteration: 3944; Percent complete: 98.6%; Average loss: 2.5442
Iteration: 3945; Percent complete: 98.6%; Average loss: 2.5257
Iteration: 3946; Percent complete: 98.7%; Average loss: 2.6008
Iteration: 3947; Percent complete: 98.7%; Average loss: 2.5380
Iteration: 3948; Percent complete: 98.7%; Average loss: 2.6583
Iteration: 3949; Percent complete: 98.7%; Average loss: 2.6918
Iteration: 3950; Percent complete: 98.8%; Average loss: 2.7192
Iteration: 3951; Percent complete: 98.8%; Average loss: 2.4946
Iteration: 3952; Percent complete: 98.8%; Average loss: 2.8520
Iteration: 3953; Percent complete: 98.8%; Average loss: 2.7059
Iteration: 3954; Percent complete: 98.9%; Average loss: 2.8425
Iteration: 3955; Percent complete: 98.9%; Average loss: 2.5754
Iteration: 3956; Percent complete: 98.9%; Average loss: 2.4861
Iteration: 3957; Percent complete: 98.9%; Average loss: 2.7624
Iteration: 3958; Percent complete: 99.0%; Average loss: 2.3564
Iteration: 3959; Percent complete: 99.0%; Average loss: 2.5755
Iteration: 3960; Percent complete: 99.0%; Average loss: 2.6206
Iteration: 3961; Percent complete: 99.0%; Average loss: 2.6025
Iteration: 3962; Percent complete: 99.1%; Average loss: 2.7996
Iteration: 3963; Percent complete: 99.1%; Average loss: 2.6480
Iteration: 3964; Percent complete: 99.1%; Average loss: 2.5967
Iteration: 3965; Percent complete: 99.1%; Average loss: 2.7343
Iteration: 3966; Percent complete: 99.2%; Average loss: 2.7093
Iteration: 3967; Percent complete: 99.2%; Average loss: 2.7816
Iteration: 3968; Percent complete: 99.2%; Average loss: 2.4660
Iteration: 3969; Percent complete: 99.2%; Average loss: 2.4084
Iteration: 3970; Percent complete: 99.2%; Average loss: 2.5231
Iteration: 3971; Percent complete: 99.3%; Average loss: 2.7952
Iteration: 3972; Percent complete: 99.3%; Average loss: 2.7874
Iteration: 3973; Percent complete: 99.3%; Average loss: 2.6884
Iteration: 3974; Percent complete: 99.4%; Average loss: 2.5224
Iteration: 3975; Percent complete: 99.4%; Average loss: 2.8901
Iteration: 3976; Percent complete: 99.4%; Average loss: 2.6769
Iteration: 3977; Percent complete: 99.4%; Average loss: 2.7560
Iteration: 3978; Percent complete: 99.5%; Average loss: 2.5225
Iteration: 3979; Percent complete: 99.5%; Average loss: 2.4791
Iteration: 3980; Percent complete: 99.5%; Average loss: 2.4142
Iteration: 3981; Percent complete: 99.5%; Average loss: 2.6223
Iteration: 3982; Percent complete: 99.6%; Average loss: 2.4176
Iteration: 3983; Percent complete: 99.6%; Average loss: 2.6717
Iteration: 3984; Percent complete: 99.6%; Average loss: 2.5538
Iteration: 3985; Percent complete: 99.6%; Average loss: 2.5907
Iteration: 3986; Percent complete: 99.7%; Average loss: 2.8161
Iteration: 3987; Percent complete: 99.7%; Average loss: 2.3253
Iteration: 3988; Percent complete: 99.7%; Average loss: 2.7374
Iteration: 3989; Percent complete: 99.7%; Average loss: 2.6143
Iteration: 3990; Percent complete: 99.8%; Average loss: 2.4490
Iteration: 3991; Percent complete: 99.8%; Average loss: 2.7165
Iteration: 3992; Percent complete: 99.8%; Average loss: 2.6472
Iteration: 3993; Percent complete: 99.8%; Average loss: 2.5911
Iteration: 3994; Percent complete: 99.9%; Average loss: 2.7778
Iteration: 3995; Percent complete: 99.9%; Average loss: 2.5297
Iteration: 3996; Percent complete: 99.9%; Average loss: 2.6016
Iteration: 3997; Percent complete: 99.9%; Average loss: 2.4603
Iteration: 3998; Percent complete: 100.0%; Average loss: 2.7412
Iteration: 3999; Percent complete: 100.0%; Average loss: 2.6708
Iteration: 4000; Percent complete: 100.0%; Average loss: 2.9396
运行评估¶
要与您的模型聊天,请运行以下代码块。
# Set dropout layers to ``eval`` mode
encoder.eval()
decoder.eval()
# Initialize search module
searcher = GreedySearchDecoder(encoder, decoder)
# Begin chatting (uncomment and run the following line to begin)
# evaluateInput(encoder, decoder, searcher, voc)
结论¶
这就是全部内容了,朋友们。恭喜你,现在你已经掌握了构建生成式聊天机器人模型的基础知识!如果你感兴趣,你可以尝试通过调整模型和训练参数以及定制你训练模型的数据来定制聊天机器人的行为。
查看其他教程,了解更多在PyTorch中的酷炫深度学习应用!
脚本总运行时间: (5分钟 50.840秒)



