LearningCurveDisplay#

class sklearn.model_selection.LearningCurveDisplay(*, train_sizes, train_scores, test_scores, score_name=None)#

学习曲线可视化。

建议使用 from_estimator 来 创建一个 LearningCurveDisplay 实例。 所有参数都存储为属性。

更多信息请参阅 用户指南 以获取有关可视化 API 的一般信息 和 详细文档 关于学习曲线可视化。

Added in version 1.2.

Parameters:
train_sizesndarray of shape (n_unique_ticks,)

用于生成学习曲线的训练样本数量。

train_scoresndarray of shape (n_ticks, n_cv_folds)

训练集上的得分。

test_scoresndarray of shape (n_ticks, n_cv_folds)

测试集上的得分。

score_namestr, default=None

learning_curve 中使用的得分名称。它将覆盖从 scoring 参数推断出的名称。 如果 scoreNone ,如果 negate_scoreFalse ,我们使用 "Score" , 否则使用 "Negative score" 。如果 scoring 是一个字符串或可调用对象,我们推断名称。 我们将 _ 替换为空格,并将首字母大写。如果 negate_scoreFalse ,我们删除 neg_ 并将其替换为 "Negative" , 否则只删除它。

Attributes:
ax_matplotlib Axes

带有学习曲线的轴。

figure_matplotlib Figure

包含学习曲线的图形。

errorbar_list of matplotlib Artist or None

std_display_style"errorbar" 时,这是一个 matplotlib.container.ErrorbarContainer 对象列表。 如果使用其他样式, errorbar_None

lines_list of matplotlib Artist or None

std_display_style"fill_between" 时,这是一个对应于平均训练和测试得分的 matplotlib.lines.Line2D 对象列表。 如果使用其他样式, line_None

fill_between_list of matplotlib Artist or None

std_display_style"fill_between" 时,这是一个 matplotlib.collections.PolyCollection 对象列表。 如果使用其他样式, fill_between_None

See also

sklearn.model_selection.learning_curve

计算学习曲线。

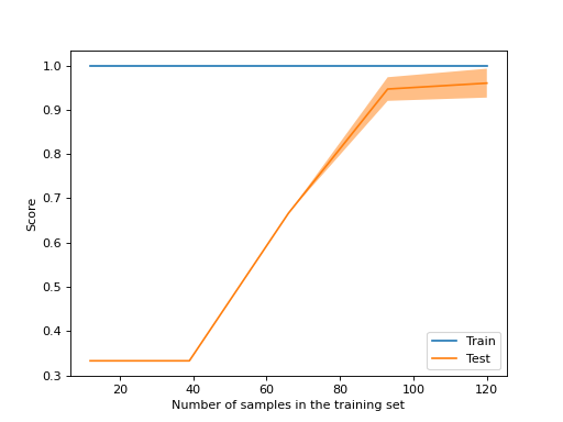
Examples

>>> import matplotlib.pyplot as plt
>>> from sklearn.datasets import load_iris
>>> from sklearn.model_selection import LearningCurveDisplay, learning_curve
>>> from sklearn.tree import DecisionTreeClassifier
>>> X, y = load_iris(return_X_y=True)
>>> tree = DecisionTreeClassifier(random_state=0)
>>> train_sizes, train_scores, test_scores = learning_curve(
...     tree, X, y)
>>> display = LearningCurveDisplay(train_sizes=train_sizes,
...     train_scores=train_scores, test_scores=test_scores, score_name="Score")
>>> display.plot()
<...>
>>> plt.show()
../../_images/sklearn-model_selection-LearningCurveDisplay-1.png
classmethod from_estimator(estimator, X, y, *, groups=None, train_sizes=array([0.1, 0.325, 0.55, 0.775, 1.]), cv=None, scoring=None, exploit_incremental_learning=False, n_jobs=None, pre_dispatch='all', verbose=0, shuffle=False, random_state=None, error_score=nan, fit_params=None, ax=None, negate_score=False, score_name=None, score_type='both', std_display_style='fill_between', line_kw=None, fill_between_kw=None, errorbar_kw=None)#

创建一个从估计器生成的学习曲线显示。

用户指南 中阅读更多关于一般信息可视化 API 的信息,以及关于学习曲线可视化的 详细文档

Parameters:
estimator实现 “fit” 和 “predict” 方法的对象类型

每个验证都会克隆该类型的对象。

X形状为 (n_samples, n_features) 的类数组

训练数据,其中 n_samples 是样本数量, n_features 是特征数量。

y形状为 (n_samples,) 或 (n_samples, n_outputs) 的类数组或 None

分类或回归的目标相对于 X;无监督学习则为 None。

groups形状为 (n_samples,) 的类数组,默认=None

在将数据集拆分为训练/测试集时使用的样本组标签。仅在与 “Group” cv 实例(例如 GroupKFold )结合使用时使用。

train_sizes形状为 (n_ticks,) 的类数组,默认=np.linspace(0.1, 1.0, 5)

用于生成学习曲线的相对或绝对训练示例数量。如果 dtype 为浮点数,则视为训练集最大大小的分数(由选定的验证方法确定),即必须在 (0, 1] 范围内。否则,解释为训练集的绝对大小。请注意,对于分类,样本数量通常必须足够大,以包含每个类至少一个样本。

cvint, 交叉验证生成器或可迭代对象,默认=None

确定交叉验证拆分策略。 cv 的可能输入包括:

  • None,使用默认的 5 折交叉验证,

  • int,指定 (Stratified)KFold 中的折数,

  • CV splitter

  • 生成 (train, test) 拆分作为索引数组的迭代器。

对于 int/None 输入,如果估计器是分类器且 y 是二元或多元的,则使用 StratifiedKFold 。在所有其他情况下,使用 KFold 。这些拆分器使用 shuffle=False 实例化,因此拆分将在多次调用中保持一致。

参考 用户指南 了解可以在此使用的各种交叉验证策略。

scoringstr 或 callable,默认=None

一个字符串(见 scoring_parameter )或 具有签名 scorer(estimator, X, y) 的评分器可调用对象/函数(见 从指标函数定义您的评分策略 )。

exploit_incremental_learningbool,默认=False

如果估计器支持增量学习,这将用于加速不同训练集大小的拟合。

n_jobsint,默认=None

并行运行的作业数量。估计器的训练和分数的计算在不同的训练和测试集上并行化。 None 表示 1,除非在 joblib.parallel_backend 上下文中。 -1 表示使用所有处理器。有关详细信息,请参见 Glossary

pre_dispatchint 或 str,默认=’all’

并行执行的预分派作业数量(默认是所有)。该选项可以减少分配的内存。str 可以是像 ‘2*n_jobs’ 这样的表达式。

verboseint,默认=0

控制详细程度:越高,消息越多。

shufflebool,默认=False

在基于 train_sizes 取前缀之前是否打乱训练数据。

random_stateint, RandomState 实例或 None,默认=None

shuffle 为 True 时使用。传递一个 int 以在多次函数调用中获得可重复的输出。 见 Glossary

error_score‘raise’ 或 numeric,默认=np.nan

在估计器拟合过程中发生错误时分配给分数的值。如果设置为 ‘raise’,则引发错误。如果给定数值,则引发 FitFailedWarning。

fit_paramsdict,默认=None

传递给估计器 fit 方法的参数。

axmatplotlib Axes,默认=None

要绘制的 Axes 对象。如果 None ,则创建一个新的图形和 Axes。

negate_scorebool,默认=False

是否通过 learning_curve 获得的分数取反。在使用 scikit-learn 中的 neg_* 表示的错误时特别有用。

score_namestr,默认=None

用于装饰图表 y 轴的分数名称。它将覆盖从 scoring 参数推断的名称。如果 scoreNone ,如果 negate_scoreFalse ,我们使用 "Score" ,否则使用 "Negative score" 。如果 scoring 是字符串或可调用对象,我们推断名称。我们将 _ 替换为空格,并将首字母大写。我们删除 neg_ 并将其替换为 "Negative" (如果 negate_scoreFalse )或仅删除它。

score_type{“test”, “train”, “both”},默认=”both”

要绘制的分数类型。可以是 "test""train""both" 之一。

std_display_style{“errorbar”, “fill_between”} 或 None,默认=”fill_between”

用于显示平均分数标准偏差的方式。如果 None ,则不显示标准偏差。

line_kwdict,默认=None

传递给用于绘制平均分数的 plt.plot 的额外关键字参数。

fill_between_kwdict,默认=None

传递给用于绘制分数标准偏差的 plt.fill_between 的额外关键字参数。

errorbar_kwdict,默认=None

传递给用于绘制平均分数和标准偏差分数的 plt.errorbar 的额外关键字参数。

Returns:
displayLearningCurveDisplay

存储计算值的对象。

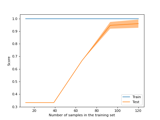
Examples

>>> import matplotlib.pyplot as plt
>>> from sklearn.datasets import load_iris
>>> from sklearn.model_selection import LearningCurveDisplay
>>> from sklearn.tree import DecisionTreeClassifier
>>> X, y = load_iris(return_X_y=True)
>>> tree = DecisionTreeClassifier(random_state=0)
>>> LearningCurveDisplay.from_estimator(tree, X, y)
<...>
>>> plt.show()
../../_images/sklearn-model_selection-LearningCurveDisplay-2.png
plot(ax=None, *, negate_score=False, score_name=None, score_type='both', std_display_style='fill_between', line_kw=None, fill_between_kw=None, errorbar_kw=None)#

绘图可视化。

Parameters:
axmatplotlib Axes, 默认=None

要在其上绘制的Axes对象。如果为 None ,则创建一个新的图形和轴。

negate_scorebool, 默认=False

是否通过:func:~sklearn.model_selection.learning_curve 获得的分数取反。这在使用 scikit-learn 中的 neg_* 表示的错误时特别有用。

score_namestr, 默认=None

用于装饰绘图y轴的分数名称。它将覆盖从 scoring 参数推断出的名称。如果 scoreNone ,如果 negate_scoreFalse ,我们使用 "Score" ,否则使用 "Negative score" 。如果 scoring 是一个字符串或可调用对象,我们推断名称。我们将 _ 替换为空格,并将首字母大写。如果 negate_scoreFalse ,我们将 neg_ 替换为 "Negative" ,否则仅删除它。

score_type{“test”, “train”, “both”}, 默认=”both”

要绘制的分数类型。可以是 "test""train""both" 之一。

std_display_style{“errorbar”, “fill_between”} 或 None, 默认=”fill_between”

用于显示平均分数标准偏差的风格。如果为None,则不显示标准偏差。

line_kwdict, 默认=None

传递给用于绘制平均分数的 plt.plot 的额外关键字参数。

fill_between_kwdict, 默认=None

传递给用于绘制分数标准偏差的 plt.fill_between 的额外关键字参数。

errorbar_kwdict, 默认=None

传递给用于绘制平均分数和标准偏差分数的 plt.errorbar 的额外关键字参数。

Returns:
displayLearningCurveDisplay

存储计算值的对象。