DoWhy: 因果推断的不同估计方法#

这是对DoWhy因果推断库的快速介绍。我们将加载一个样本数据集,并使用不同的方法来估计(预先指定的)处理变量对(预先指定的)结果变量的因果效应。

我们将看到,并非所有的估计器都能为这个数据集返回正确的效果。

首先,让我们添加Python所需的路径以找到DoWhy代码并加载所有必需的包

[1]:
%load_ext autoreload
%autoreload 2
[2]:
import numpy as np
import pandas as pd
import logging

import dowhy
from dowhy import CausalModel
import dowhy.datasets

现在,让我们加载一个数据集。为了简单起见,我们模拟了一个数据集,其中常见原因与治疗之间以及常见原因与结果之间存在线性关系。

Beta 是真实的因果效应。

[3]:
data = dowhy.datasets.linear_dataset(beta=10,
        num_common_causes=5,
        num_instruments = 2,
        num_treatments=1,
        num_samples=10000,
        treatment_is_binary=True,
        outcome_is_binary=False,
        stddev_treatment_noise=10)
df = data["df"]
df
[3]:
Z0 Z1 W0 W1 W2 W3 W4 v0 y
0 1.0 0.479477 0.477095 1.132642 0.108390 0.382815 0.532607 True 14.968331
1 1.0 0.989410 0.915693 -1.342175 0.670553 1.005776 0.332877 True 19.876419
2 1.0 0.820212 -0.413122 -2.197523 0.294065 0.852834 0.115160 True 13.483019
3 1.0 0.954148 0.035852 -1.827038 0.424961 -0.527072 -0.605727 True 7.464827
4 1.0 0.203695 2.714909 0.470942 -0.773594 0.723341 -1.306709 True 14.276015
... ... ... ... ... ... ... ... ... ...
9995 1.0 0.611374 0.098375 -0.625154 2.163267 -0.021415 -0.974123 True 18.078720
9996 1.0 0.823602 -0.369129 0.792496 0.019248 -0.193196 0.128058 True 8.958994
9997 1.0 0.893659 -0.266886 1.225691 -0.968349 -0.255394 -1.084577 True 2.566665
9998 1.0 0.835925 1.396273 -1.301292 -0.656232 -0.634653 0.869848 True 7.887862
9999 1.0 0.776103 -0.582994 -0.607181 1.849334 1.112603 -2.315254 True 18.291335

10000 行 × 9 列

请注意,我们正在使用pandas数据框来加载数据。

识别因果估计量#

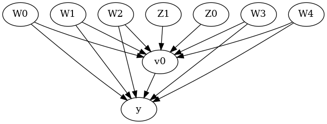
我们现在以DOT图形格式输入一个因果图。

[4]:
# With graph
model=CausalModel(
        data = df,
        treatment=data["treatment_name"],
        outcome=data["outcome_name"],
        graph=data["gml_graph"],
        instruments=data["instrument_names"]
        )
[5]:
model.view_model()
../_images/example_notebooks_dowhy_estimation_methods_9_0.png
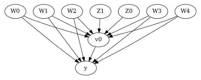
[6]:
from IPython.display import Image, display
display(Image(filename="causal_model.png"))
../_images/example_notebooks_dowhy_estimation_methods_10_0.png

我们得到了一个因果图。现在识别和估计已经完成。

[7]:
identified_estimand = model.identify_effect(proceed_when_unidentifiable=True)
print(identified_estimand)
Estimand type: EstimandType.NONPARAMETRIC_ATE

### Estimand : 1
Estimand name: backdoor
Estimand expression:
  d
─────(E[y|W3,W0,W4,W2,W1])
d[v₀]
Estimand assumption 1, Unconfoundedness: If U→{v0} and U→y then P(y|v0,W3,W0,W4,W2,W1,U) = P(y|v0,W3,W0,W4,W2,W1)

### Estimand : 2
Estimand name: iv
Estimand expression:
 ⎡                              -1⎤
 ⎢    d        ⎛    d          ⎞  ⎥
E⎢─────────(y)⋅⎜─────────([v₀])⎟  ⎥
 ⎣d[Z₀  Z₁]    ⎝d[Z₀  Z₁]      ⎠  ⎦
Estimand assumption 1, As-if-random: If U→→y then ¬(U →→{Z0,Z1})
Estimand assumption 2, Exclusion: If we remove {Z0,Z1}→{v0}, then ¬({Z0,Z1}→y)

### Estimand : 3
Estimand name: frontdoor
No such variable(s) found!

方法1:回归#

使用线性回归。

[8]:
causal_estimate_reg = model.estimate_effect(identified_estimand,
        method_name="backdoor.linear_regression",
        test_significance=True)
print(causal_estimate_reg)
print("Causal Estimate is " + str(causal_estimate_reg.value))
*** Causal Estimate ***

## Identified estimand
Estimand type: EstimandType.NONPARAMETRIC_ATE

### Estimand : 1
Estimand name: backdoor
Estimand expression:
  d
─────(E[y|W3,W0,W4,W2,W1])
d[v₀]
Estimand assumption 1, Unconfoundedness: If U→{v0} and U→y then P(y|v0,W3,W0,W4,W2,W1,U) = P(y|v0,W3,W0,W4,W2,W1)

## Realized estimand
b: y~v0+W3+W0+W4+W2+W1
Target units: ate

## Estimate
Mean value: 9.999731332644417
p-value: [0.]

Causal Estimate is 9.999731332644417

方法2:距离匹配#

定义一个距离度量,然后使用该度量来匹配处理组和对照组之间的最近点。

[9]:
causal_estimate_dmatch = model.estimate_effect(identified_estimand,
                                              method_name="backdoor.distance_matching",
                                              target_units="att",
                                              method_params={'distance_metric':"minkowski", 'p':2})
print(causal_estimate_dmatch)
print("Causal Estimate is " + str(causal_estimate_dmatch.value))
*** Causal Estimate ***

## Identified estimand
Estimand type: EstimandType.NONPARAMETRIC_ATE

### Estimand : 1
Estimand name: backdoor
Estimand expression:
  d
─────(E[y|W3,W0,W4,W2,W1])
d[v₀]
Estimand assumption 1, Unconfoundedness: If U→{v0} and U→y then P(y|v0,W3,W0,W4,W2,W1,U) = P(y|v0,W3,W0,W4,W2,W1)

## Realized estimand
b: y~v0+W3+W0+W4+W2+W1
Target units: att

## Estimate
Mean value: 11.278546846122476

Causal Estimate is 11.278546846122476

方法3:倾向评分分层#

我们将使用倾向得分来对数据中的单位进行分层。

[10]:
causal_estimate_strat = model.estimate_effect(identified_estimand,
                                              method_name="backdoor.propensity_score_stratification",
                                              target_units="att")
print(causal_estimate_strat)
print("Causal Estimate is " + str(causal_estimate_strat.value))
*** Causal Estimate ***

## Identified estimand
Estimand type: EstimandType.NONPARAMETRIC_ATE

### Estimand : 1
Estimand name: backdoor
Estimand expression:
  d
─────(E[y|W3,W0,W4,W2,W1])
d[v₀]
Estimand assumption 1, Unconfoundedness: If U→{v0} and U→y then P(y|v0,W3,W0,W4,W2,W1,U) = P(y|v0,W3,W0,W4,W2,W1)

## Realized estimand
b: y~v0+W3+W0+W4+W2+W1
Target units: att

## Estimate
Mean value: 9.932208243866834

Causal Estimate is 9.932208243866834

方法4:倾向评分匹配#

我们将使用倾向得分来匹配数据中的单位。

[11]:
causal_estimate_match = model.estimate_effect(identified_estimand,
                                              method_name="backdoor.propensity_score_matching",
                                              target_units="atc")
print(causal_estimate_match)
print("Causal Estimate is " + str(causal_estimate_match.value))
*** Causal Estimate ***

## Identified estimand
Estimand type: EstimandType.NONPARAMETRIC_ATE

### Estimand : 1
Estimand name: backdoor
Estimand expression:
  d
─────(E[y|W3,W0,W4,W2,W1])
d[v₀]
Estimand assumption 1, Unconfoundedness: If U→{v0} and U→y then P(y|v0,W3,W0,W4,W2,W1,U) = P(y|v0,W3,W0,W4,W2,W1)

## Realized estimand
b: y~v0+W3+W0+W4+W2+W1
Target units: atc

## Estimate
Mean value: 9.643378784620955

Causal Estimate is 9.643378784620955

方法5:加权#

我们将使用(逆)倾向评分来为数据中的单位分配权重。DoWhy支持几种不同的加权方案:1. 普通逆倾向评分加权(IPS)(weighting_scheme="ips_weight")2. 自归一化IPS加权(也称为Hajek估计器)(weighting_scheme="ips_normalized_weight")3. 稳定化IPS加权(weighting_scheme="ips_stabilized_weight")

[12]:
causal_estimate_ipw = model.estimate_effect(identified_estimand,
                                            method_name="backdoor.propensity_score_weighting",
                                            target_units = "ate",
                                            method_params={"weighting_scheme":"ips_weight"})
print(causal_estimate_ipw)
print("Causal Estimate is " + str(causal_estimate_ipw.value))
*** Causal Estimate ***

## Identified estimand
Estimand type: EstimandType.NONPARAMETRIC_ATE

### Estimand : 1
Estimand name: backdoor
Estimand expression:
  d
─────(E[y|W3,W0,W4,W2,W1])
d[v₀]
Estimand assumption 1, Unconfoundedness: If U→{v0} and U→y then P(y|v0,W3,W0,W4,W2,W1,U) = P(y|v0,W3,W0,W4,W2,W1)

## Realized estimand
b: y~v0+W3+W0+W4+W2+W1
Target units: ate

## Estimate
Mean value: 12.478466888961442

Causal Estimate is 12.478466888961442

方法6:工具变量#

我们将使用Wald估计器来处理提供的工具变量。

[13]:
causal_estimate_iv = model.estimate_effect(identified_estimand,
        method_name="iv.instrumental_variable", method_params = {'iv_instrument_name': 'Z0'})
print(causal_estimate_iv)
print("Causal Estimate is " + str(causal_estimate_iv.value))
*** Causal Estimate ***

## Identified estimand
Estimand type: EstimandType.NONPARAMETRIC_ATE

### Estimand : 1
Estimand name: iv
Estimand expression:
 ⎡                              -1⎤
 ⎢    d        ⎛    d          ⎞  ⎥
E⎢─────────(y)⋅⎜─────────([v₀])⎟  ⎥
 ⎣d[Z₀  Z₁]    ⎝d[Z₀  Z₁]      ⎠  ⎦
Estimand assumption 1, As-if-random: If U→→y then ¬(U →→{Z0,Z1})
Estimand assumption 2, Exclusion: If we remove {Z0,Z1}→{v0}, then ¬({Z0,Z1}→y)

## Realized estimand
Realized estimand: Wald Estimator
Realized estimand type: EstimandType.NONPARAMETRIC_ATE
Estimand expression:
 ⎡ d    ⎤
E⎢───(y)⎥
 ⎣dZ₀   ⎦
──────────
 ⎡ d     ⎤
E⎢───(v₀)⎥
 ⎣dZ₀    ⎦
Estimand assumption 1, As-if-random: If U→→y then ¬(U →→{Z0,Z1})
Estimand assumption 2, Exclusion: If we remove {Z0,Z1}→{v0}, then ¬({Z0,Z1}→y)
Estimand assumption 3, treatment_effect_homogeneity: Each unit's treatment ['v0'] is affected in the same way by common causes of ['v0'] and ['y']
Estimand assumption 4, outcome_effect_homogeneity: Each unit's outcome ['y'] is affected in the same way by common causes of ['v0'] and ['y']

Target units: ate

## Estimate
Mean value: 7.667844609940294

Causal Estimate is 7.667844609940294

方法7:回归不连续性#

我们将在内部将其转换为一个等效的工具变量问题。

[14]:
causal_estimate_regdist = model.estimate_effect(identified_estimand,
        method_name="iv.regression_discontinuity",
        method_params={'rd_variable_name':'Z1',
                       'rd_threshold_value':0.5,
                       'rd_bandwidth': 0.15})
print(causal_estimate_regdist)
print("Causal Estimate is " + str(causal_estimate_regdist.value))
*** Causal Estimate ***

## Identified estimand
Estimand type: EstimandType.NONPARAMETRIC_ATE

### Estimand : 1
Estimand name: iv
Estimand expression:
 ⎡                              -1⎤
 ⎢    d        ⎛    d          ⎞  ⎥
E⎢─────────(y)⋅⎜─────────([v₀])⎟  ⎥
 ⎣d[Z₀  Z₁]    ⎝d[Z₀  Z₁]      ⎠  ⎦
Estimand assumption 1, As-if-random: If U→→y then ¬(U →→{Z0,Z1})
Estimand assumption 2, Exclusion: If we remove {Z0,Z1}→{v0}, then ¬({Z0,Z1}→y)

## Realized estimand
Realized estimand: Wald Estimator
Realized estimand type: EstimandType.NONPARAMETRIC_ATE
Estimand expression:
 ⎡        d            ⎤
E⎢──────────────────(y)⎥
 ⎣dlocal_rd_variable   ⎦
─────────────────────────
 ⎡        d             ⎤
E⎢──────────────────(v₀)⎥
 ⎣dlocal_rd_variable    ⎦
Estimand assumption 1, As-if-random: If U→→y then ¬(U →→{Z0,Z1})
Estimand assumption 2, Exclusion: If we remove {Z0,Z1}→{v0}, then ¬({Z0,Z1}→y)
Estimand assumption 3, treatment_effect_homogeneity: Each unit's treatment ['v0'] is affected in the same way by common causes of ['v0'] and ['y']
Estimand assumption 4, outcome_effect_homogeneity: Each unit's outcome ['y'] is affected in the same way by common causes of ['v0'] and ['y']

Target units: ate

## Estimate
Mean value: 4.226754677196832

Causal Estimate is 4.226754677196832