加载输入图的不同方法#
我们建议使用GML图格式来加载图。你也可以使用DOT格式,但这需要额外的依赖(pydot或pygraphviz)。
DoWhy 支持将图作为字符串加载,或作为文件加载(扩展名为 'gml' 或 'dot')。
下面是一个展示加载同一图形的不同方式的示例。
[1]:
import os, sys
import random
sys.path.append(os.path.abspath("../../../"))
[2]:
import numpy as np
import pandas as pd
import dowhy
from dowhy import CausalModel
from IPython.display import Image, display
I. 生成虚拟数据#
我们为三个变量生成了一些虚拟数据:X、Y 和 Z。
[3]:
z=[i for i in range(10)]
random.shuffle(z)
df = pd.DataFrame(data = {'Z': z, 'X': range(0,10), 'Y': range(0,100,10)})
df
[3]:
Z | X | Y | |
---|---|---|---|
0 | 3 | 0 | 0 |
1 | 7 | 1 | 10 |
2 | 8 | 2 | 20 |
3 | 4 | 3 | 30 |
4 | 0 | 4 | 40 |
5 | 9 | 5 | 50 |
6 | 1 | 6 | 60 |
7 | 6 | 7 | 70 |
8 | 5 | 8 | 80 |
9 | 2 | 9 | 90 |
II. 加载GML或DOT图形#
GML格式#
[4]:
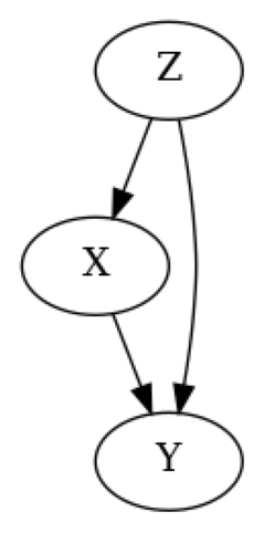
# With GML string
model=CausalModel(
data = df,
treatment='X',
outcome='Y',
graph="""graph[directed 1 node[id "Z" label "Z"]
node[id "X" label "X"]
node[id "Y" label "Y"]
edge[source "Z" target "X"]
edge[source "Z" target "Y"]
edge[source "X" target "Y"]]"""
)
model.view_model()
display(Image(filename="causal_model.png"))


[5]:
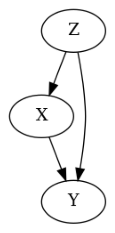
# With GML file
model=CausalModel(
data = df,
treatment='X',
outcome='Y',
graph="../example_graphs/simple_graph_example.gml"
)
model.view_model()
display(Image(filename="causal_model.png"))


DOT格式#
[6]:
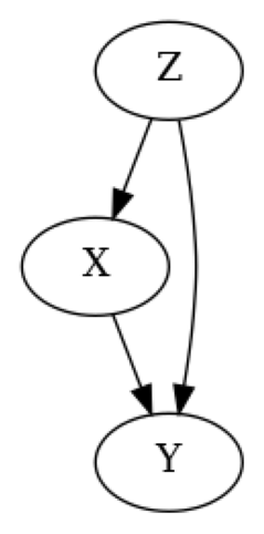
# With DOT string
model=CausalModel(
data = df,
treatment='X',
outcome='Y',
graph="digraph {Z -> X;Z -> Y;X -> Y;}"
)
model.view_model()
from IPython.display import Image, display
display(Image(filename="causal_model.png"))


[7]:
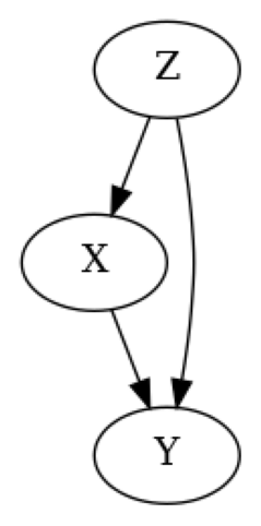
# With DOT file
model=CausalModel(
data = df,
treatment='X',
outcome='Y',
graph="../example_graphs/simple_graph_example.dot"
)
model.view_model()
display(Image(filename="causal_model.png"))

