Note
Go to the end to download the full example code. or to run this example in your browser via Binder
使用k-means聚类文本文档#
这是一个展示如何使用scikit-learn API通过 词袋模型 来按主题聚类文档的示例。
展示了两种算法,即 KMeans 及其更具可扩展性的变体 MiniBatchKMeans 。此外,还使用潜在语义分析来降低维度并发现数据中的潜在模式。
此示例使用了两种不同的文本向量化器:TfidfVectorizer 和 HashingVectorizer 。有关向量化器的更多信息及其处理时间的比较,请参见示例笔记本 特征哈希器和字典向量化器比较 。
对于通过监督学习方法进行的文档分析,请参见示例脚本 使用稀疏特征对文本文档进行分类 。
# 作者:scikit-learn 开发者
# SPDX许可证标识符:BSD-3-Clause
加载文本数据#
我们从 The 20 newsgroups text dataset 加载数据,该数据集包含大约 18,000 篇关于 20 个主题的新闻组帖子。为了说明目的并减少计算成本,我们仅选择了 4 个主题的子集,大约包含 3,400 篇文档。请参阅示例 使用稀疏特征对文本文档进行分类 以了解这些主题的重叠情况。
请注意,默认情况下,文本样本包含一些消息元数据,例如“headers”、“footers”(签名)和对其他帖子引用的“quotes”。我们使用 fetch_20newsgroups 的 remove 参数来去除这些特征,从而使聚类问题更加合理。
import numpy as np
from sklearn.datasets import fetch_20newsgroups
categories = [
"alt.atheism",
"talk.religion.misc",
"comp.graphics",
"sci.space",
]
dataset = fetch_20newsgroups(
remove=("headers", "footers", "quotes"),
subset="all",
categories=categories,
shuffle=True,
random_state=42,
)
labels = dataset.target
unique_labels, category_sizes = np.unique(labels, return_counts=True)
true_k = unique_labels.shape[0]
print(f"{len(dataset.data)} documents - {true_k} categories")
3387 documents - 4 categories
量化聚类结果的质量#
在本节中,我们定义了一个函数,使用多种指标对不同的聚类管道进行评分。
聚类算法本质上是无监督学习方法。然而,由于我们恰好拥有这个特定数据集的类别标签,因此可以使用利用这种“监督”真实信息的评估指标来量化生成簇的质量。此类指标的示例如下:
同质性,量化集群中仅包含单个类别成员的程度;
完整性,量化给定类别的成员有多少被分配到相同的簇中;
V-measure,完整性和同质性的调和平均值;
兰德指数,衡量数据点对根据聚类算法结果和真实类别分配的一致分组频率;
调整兰德指数,一种经过机会调整的兰德指数,使得随机聚类分配的期望ARI为0.0。
如果不知道真实标签,只能使用模型结果进行评估。在这种情况下,轮廓系数非常有用。有关如何执行此操作的示例,请参见 使用轮廓分析选择KMeans聚类的簇数 。
如需更多参考,请参见 clustering_evaluation .
from collections import defaultdict
from time import time
from sklearn import metrics
evaluations = []
evaluations_std = []
def fit_and_evaluate(km, X, name=None, n_runs=5):
name = km.__class__.__name__ if name is None else name
train_times = []
scores = defaultdict(list)
for seed in range(n_runs):
km.set_params(random_state=seed)
t0 = time()
km.fit(X)
train_times.append(time() - t0)
scores["Homogeneity"].append(metrics.homogeneity_score(labels, km.labels_))
scores["Completeness"].append(metrics.completeness_score(labels, km.labels_))
scores["V-measure"].append(metrics.v_measure_score(labels, km.labels_))
scores["Adjusted Rand-Index"].append(
metrics.adjusted_rand_score(labels, km.labels_)
)
scores["Silhouette Coefficient"].append(
metrics.silhouette_score(X, km.labels_, sample_size=2000)
)
train_times = np.asarray(train_times)
print(f"clustering done in {train_times.mean():.2f} ± {train_times.std():.2f} s ")
evaluation = {
"estimator": name,
"train_time": train_times.mean(),
}
evaluation_std = {
"estimator": name,
"train_time": train_times.std(),
}
for score_name, score_values in scores.items():
mean_score, std_score = np.mean(score_values), np.std(score_values)
print(f"{score_name}: {mean_score:.3f} ± {std_score:.3f}")
evaluation[score_name] = mean_score
evaluation_std[score_name] = std_score
evaluations.append(evaluation)
evaluations_std.append(evaluation_std)
K-means 聚类文本特征#
在这个例子中使用了两种特征提取方法:
TfidfVectorizer使用内存中的词汇表(一个 Python 字典)将最常见的单词映射到特征索引,从而计算单词出现频率(稀疏)矩阵。然后使用在整个语料库中按特征收集的逆文档频率(IDF)向量重新加权单词频率。HashingVectorizer将词语出现次数哈希到一个固定的维度空间,可能会发生冲突。然后将词频向量归一化,使每个向量的 l2 范数等于 1(投影到欧几里得单位球面),这对于 k-means 在高维空间中工作似乎很重要。
此外,可以使用降维对提取的特征进行后处理。我们将在下文中探讨这些选择对聚类质量的影响。
使用TfidfVectorizer进行特征提取#
我们首先使用字典向量化器以及由:class:~sklearn.feature_extraction.text.TfidfVectorizer 提供的IDF归一化对估计器进行基准测试。
from sklearn.feature_extraction.text import TfidfVectorizer
vectorizer = TfidfVectorizer(
max_df=0.5,
min_df=5,
stop_words="english",
)
t0 = time()
X_tfidf = vectorizer.fit_transform(dataset.data)
print(f"vectorization done in {time() - t0:.3f} s")
print(f"n_samples: {X_tfidf.shape[0]}, n_features: {X_tfidf.shape[1]}")
vectorization done in 0.223 s
n_samples: 3387, n_features: 7929
在忽略出现在超过50%文档中的词项(由 max_df=0.5 设置)和在至少5个文档中未出现的词项(由 min_df=5 设置)后,得到的唯一词项数 n_features 大约是8,000。我们还可以通过非零条目占总元素的比例来量化 X_tfidf 矩阵的稀疏性。
print(f"{X_tfidf.nnz / np.prod(X_tfidf.shape):.3f}")
0.007
我们发现 X_tfidf 矩阵中约有 0.7% 的条目是非零的。
使用k-means对稀疏数据进行聚类#
由于 KMeans 和 MiniBatchKMeans 都优化非凸目标函数,它们的聚类结果不能保证对于给定的随机初始化是最优的。更进一步地,对于使用词袋方法向量化的稀疏高维数据(如文本),k-means 可能会在极其孤立的数据点上初始化质心。这些数据点可能会始终保持为它们自己的质心。
以下代码说明了在某些情况下,取决于随机初始化,前述现象如何导致高度不平衡的聚类:
from sklearn.cluster import KMeans
for seed in range(5):
kmeans = KMeans(
n_clusters=true_k,
max_iter=100,
n_init=1,
random_state=seed,
).fit(X_tfidf)
cluster_ids, cluster_sizes = np.unique(kmeans.labels_, return_counts=True)
print(f"Number of elements assigned to each cluster: {cluster_sizes}")
print()
print(
"True number of documents in each category according to the class labels: "
f"{category_sizes}"
)
Number of elements assigned to each cluster: [ 481 675 1785 446]
Number of elements assigned to each cluster: [ 575 619 485 1708]
Number of elements assigned to each cluster: [ 1 1 1 3384]
Number of elements assigned to each cluster: [1887 311 332 857]
Number of elements assigned to each cluster: [ 291 673 1771 652]
True number of documents in each category according to the class labels: [799 973 987 628]
为了避免这个问题,一种可能性是增加具有独立随机初始化的运行次数 n_init 。在这种情况下,选择具有最佳惯性(k-means 的目标函数)的聚类。
kmeans = KMeans(
n_clusters=true_k,
max_iter=100,
n_init=5,
)
fit_and_evaluate(kmeans, X_tfidf, name="KMeans\non tf-idf vectors")
clustering done in 0.27 ± 0.08 s
Homogeneity: 0.353 ± 0.010
Completeness: 0.404 ± 0.006
V-measure: 0.377 ± 0.008
Adjusted Rand-Index: 0.235 ± 0.056
Silhouette Coefficient: 0.007 ± 0.001
所有这些聚类评估指标的最大值为1.0(对于完美的聚类结果)。值越高越好。接近0.0的调整兰德指数值对应于随机标记。从上面的分数可以看出,聚类分配确实远高于随机水平,但整体质量肯定可以提高。
请注意,类标签可能无法准确反映文档主题,因此使用标签的指标不一定是评估聚类管道质量的最佳方法。
使用 LSA 进行降维#
n_init=1 仍然可以使用,只要首先减少向量化空间的维度以使 k-means 更加稳定。为此,我们使用 TruncatedSVD ,它适用于词频/TF-IDF 矩阵。由于 SVD 结果未归一化,我们重新进行归一化以改进 KMeans 的结果。使用 SVD 降低 TF-IDF 文档向量的维度在信息检索和文本挖掘文献中通常被称为 潜在语义分析 (LSA)。
from sklearn.decomposition import TruncatedSVD
from sklearn.pipeline import make_pipeline
from sklearn.preprocessing import Normalizer
lsa = make_pipeline(TruncatedSVD(n_components=100), Normalizer(copy=False))
t0 = time()
X_lsa = lsa.fit_transform(X_tfidf)
explained_variance = lsa[0].explained_variance_ratio_.sum()
print(f"LSA done in {time() - t0:.3f} s")
print(f"Explained variance of the SVD step: {explained_variance * 100:.1f}%")
LSA done in 0.249 s
Explained variance of the SVD step: 18.4%
使用单次初始化意味着 KMeans 和 MiniBatchKMeans 的处理时间将会减少。
kmeans = KMeans(
n_clusters=true_k,
max_iter=100,
n_init=1,
)
fit_and_evaluate(kmeans, X_lsa, name="KMeans\nwith LSA on tf-idf vectors")
clustering done in 0.05 ± 0.01 s
Homogeneity: 0.404 ± 0.009
Completeness: 0.440 ± 0.016
V-measure: 0.421 ± 0.010
Adjusted Rand-Index: 0.322 ± 0.022
Silhouette Coefficient: 0.032 ± 0.002
我们可以观察到,对文档的LSA表示进行聚类的速度显著更快(既因为 n_init=1 ,也因为LSA特征空间的维度要小得多)。此外,所有的聚类评估指标都有所改善。我们使用:class:~sklearn.cluster.MiniBatchKMeans 重复实验。
from sklearn.cluster import MiniBatchKMeans
minibatch_kmeans = MiniBatchKMeans(
n_clusters=true_k,
n_init=1,
init_size=1000,
batch_size=1000,
)
fit_and_evaluate(
minibatch_kmeans,
X_lsa,
name="MiniBatchKMeans\nwith LSA on tf-idf vectors",
)
clustering done in 0.08 ± 0.01 s
Homogeneity: 0.268 ± 0.110
Completeness: 0.339 ± 0.051
V-measure: 0.294 ± 0.089
Adjusted Rand-Index: 0.204 ± 0.128
Silhouette Coefficient: 0.023 ± 0.005
每个聚类的主要术语#
由于 TfidfVectorizer 可以被反转,我们可以识别出聚类中心,这为每个聚类中最具影响力的词提供了直观的理解。请参阅示例脚本 使用稀疏特征对文本文档进行分类 ,以比较每个目标类别中最具预测性的词。
original_space_centroids = lsa[0].inverse_transform(kmeans.cluster_centers_)
order_centroids = original_space_centroids.argsort()[ :, ::-1]
terms = vectorizer.get_feature_names_out()
for i in range(true_k):
print(f"Cluster {i}: ", end="")
for ind in order_centroids[i, :10]:
print(f"{terms[ind]} ", end="")
print()
Cluster 0: god people don think just say know like does believe
Cluster 1: space launch orbit like earth shuttle moon nasa just cost
Cluster 2: thanks files file know format program advance help gif hi
Cluster 3: graphics edu image computer software code mail 3d use data
哈希向量化器#
另一种向量化方法是使用 HashingVectorizer 实例,该实例不提供 IDF 加权,因为这是一个无状态模型(fit 方法不起作用)。当需要 IDF 加权时,可以通过将 HashingVectorizer 的输出传递给 TfidfTransformer 实例来添加。在这种情况下,我们还将 LSA 添加到管道中,以减少哈希向量空间的维度和稀疏性。
from sklearn.feature_extraction.text import HashingVectorizer, TfidfTransformer
lsa_vectorizer = make_pipeline(
HashingVectorizer(stop_words="english", n_features=50_000),
TfidfTransformer(),
TruncatedSVD(n_components=100, random_state=0),
Normalizer(copy=False),
)
t0 = time()
X_hashed_lsa = lsa_vectorizer.fit_transform(dataset.data)
print(f"vectorization done in {time() - t0:.3f} s")
vectorization done in 1.032 s
可以观察到,LSA 步骤需要相对较长的时间来拟合,尤其是使用哈希向量时。原因是哈希空间通常很大(在此示例中设置为 n_features=50_000 )。可以尝试降低特征数量,但代价是具有哈希冲突的特征比例会更大,如示例笔记本 特征哈希器和字典向量化器比较 所示。
我们现在在这个哈希-LSA-降维后的数据上拟合并评估 kmeans 和 minibatch_kmeans 实例:
fit_and_evaluate(kmeans, X_hashed_lsa, name="KMeans\nwith LSA on hashed vectors")
clustering done in 0.07 ± 0.03 s
Homogeneity: 0.398 ± 0.009
Completeness: 0.447 ± 0.015
V-measure: 0.421 ± 0.011
Adjusted Rand-Index: 0.324 ± 0.012
Silhouette Coefficient: 0.030 ± 0.002
fit_and_evaluate(
minibatch_kmeans,
X_hashed_lsa,
name="MiniBatchKMeans\nwith LSA on hashed vectors",
)
clustering done in 0.07 ± 0.01 s
Homogeneity: 0.344 ± 0.057
Completeness: 0.366 ± 0.061
V-measure: 0.354 ± 0.059
Adjusted Rand-Index: 0.303 ± 0.054
Silhouette Coefficient: 0.029 ± 0.002
两种方法都能产生良好的结果,类似于在传统的LSA向量(不使用哈希)上运行相同的模型。
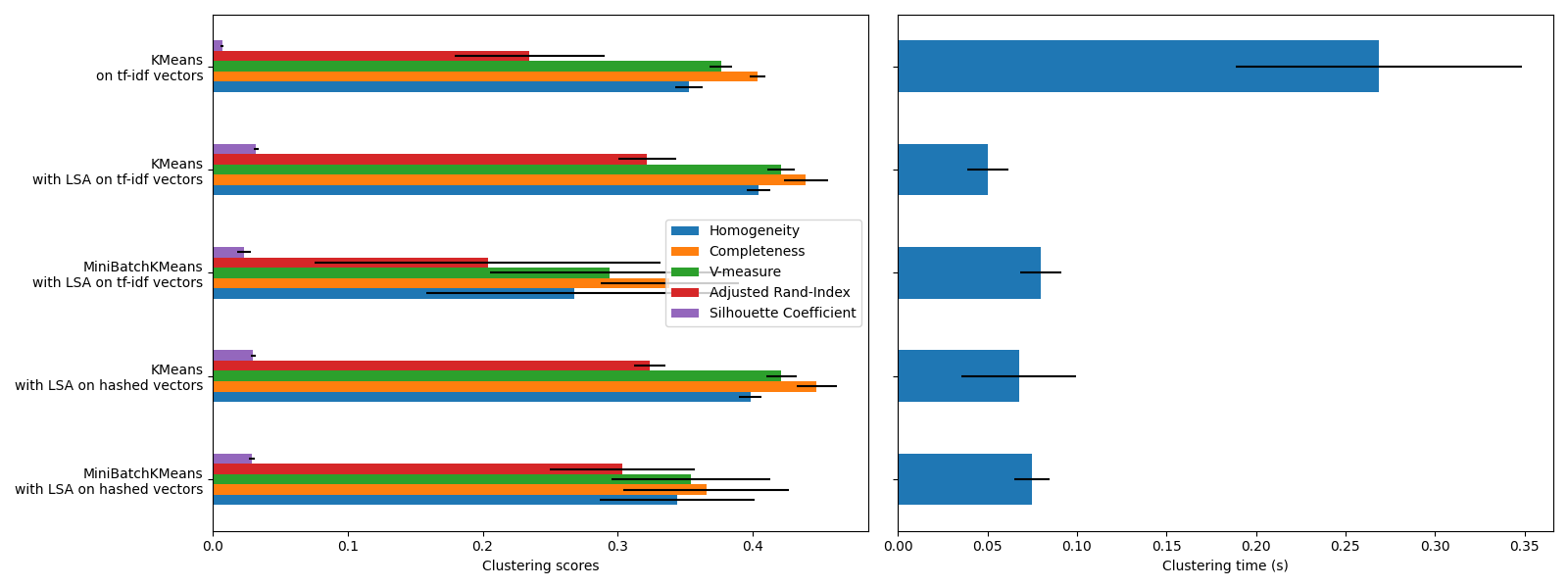
聚类评估摘要#
import matplotlib.pyplot as plt
import pandas as pd
fig, (ax0, ax1) = plt.subplots(ncols=2, figsize=(16, 6), sharey=True)
df = pd.DataFrame(evaluations[::-1]).set_index("estimator")
df_std = pd.DataFrame(evaluations_std[::-1]).set_index("estimator")
df.drop(
["train_time"],
axis="columns",
).plot.barh(ax=ax0, xerr=df_std)
ax0.set_xlabel("Clustering scores")
ax0.set_ylabel("")
df["train_time"].plot.barh(ax=ax1, xerr=df_std["train_time"])
ax1.set_xlabel("Clustering time (s)")
plt.tight_layout()

KMeans 和 MiniBatchKMeans 在处理高维数据集(如文本数据)时会遭遇所谓的“维度诅咒 <https://en.wikipedia.org/wiki/Curse_of_dimensionality> `_ 现象。这就是为什么使用 LSA 后整体得分会提高的原因。使用 LSA 降维后的数据还可以提高稳定性并减少聚类时间,但请记住,LSA 步骤本身需要很长时间,尤其是对于哈希向量。
轮廓系数的定义在0到1之间。在所有情况下,我们得到的值都接近0(即使在使用LSA后有所改善),因为它的定义需要测量距离,这与其他评估指标(如V-measure和调整兰德指数)不同,后者仅基于聚类分配而不是距离。请注意,严格来说,不应在不同维度的空间之间比较轮廓系数,因为它们暗示了不同的距离概念。
同质性、完整性以及 v-measure 指标在随机标记方面不会产生基线:这意味着根据样本数量、聚类数量和真实类别,完全随机的标记不会总是产生相同的值。特别是,随机标记不会产生零分,尤其是在聚类数量较多时。当样本数量超过一千且聚类数量少于 10 时,这个问题可以忽略不计,这也是当前示例的情况。对于较小的样本量或较多的聚类数量,使用调整后的指数(如调整兰德指数,ARI)会更安全。请参阅示例 :ref:` sphx_glr_auto_examples_cluster_plot_adjusted_for_chance_measures.py `了解随机标记效果的演示。
误差条的大小表明,对于这个相对较小的数据集,:class:` ~sklearn.cluster.MiniBatchKMeans 比 :class: ~sklearn.cluster.KMeans`稳定性更差。当样本数量大得多时,使用它会更有趣,但与传统的k-means算法相比,可能会在聚类质量上有小幅下降。
Total running time of the script: (0 minutes 6.728 seconds)
Related examples